当前位置:首页>农业>湖南农业大学刘霞&王玲 | Fe3O4@SA纳米酶凝胶微球比色法检测植物性食用油过氧化值

湖南农业大学刘霞&王玲 | Fe3O4@SA纳米酶凝胶微球比色法检测植物性食用油过氧化值

  • 2026-03-16 06:14:05
湖南农业大学刘霞&王玲 | Fe3O4@SA纳米酶凝胶微球比色法检测植物性食用油过氧化值

王玲, 胡逸飞, 刘霞. Fe3O4@SA纳米酶凝胶微球比色法检测植物性食用油过氧化值[J]. 食品安全质量检测学报, 2026, 17(1): 82-91.

作者团队介绍
         

通信作者:刘霞,湖南农业大学食品科学技术学院,教授,博士生导师,湖南省“芙蓉学者奖励计划”首批青年学者, 湖南省第二届“优秀研究生导师”,湖南省食品科学技术学会理事,主要研究方向为食品营养与安全、食品保鲜与食药两用资源的开发。主持和参与国家自科、863、农业部、博士后基金、省市级科研项目20余项。以第一发明人申请国家发明专利10项,授权7项,转让1项。获湖南省自然科学奖,长沙市自然科学优秀学术成果奖,吉林省科学技术进步奖、吉林省科学技术成果及湖南省科学技术成果鉴定各1项,以第一或通讯作者在Biosensors and Bioelectronics、Food Chemistry、食品科学等期刊发表论文60余篇。指导研究生获湖南省优秀硕士论文5篇。

         

第一作者:王玲,湖南农业大学食品科学技术学院,硕士研究生,主要研究方向为基于磁性纳米材料的应用与食品安全检测分析,研究领域涉及油脂安全分析、水凝胶应用与智能光谱检测。

Fe3O4@SA纳米酶凝胶微球比色法检测植物性食用油过氧化值

王  玲, 胡逸飞, 刘  霞
导读

植物性食用油是人类膳食的重要组成部分, 可为人体提供所需的能量和营养物质。然而, 由于其富含不饱和脂肪酸, 易受光照、金属离子、高温及水分等因素的影响, 引发氧化酸败并产生异味及有害物质。过氧化值(peroxide value, POV)作为评价油脂氧化程度的重要指标。根据我国GB 2716—2018《食品安全国家标准 植物油》的规定, 植物性食用油的POV不应超过0.25 g/100 g。目前, 国内外对植物性食用油POV的检测方法主要有碘量法、光谱法、色谱法及电化学分析法等。然而, 传统的碘量法需使用有毒试剂且重复性较差; 光谱法、色谱法、电化学法则存在耗时长、操作复杂及需依赖专业仪器等局限性, 限制了其日常应用。相比之下, 比色法具有可视化、快速、灵敏度高等优势, 其通常结合酶标仪、紫外分光光度计等工具对目标物进行分析。与此同时, 智能手机作为一种便携式检测辅助工具, 近些年在食品、生物、医药及环境等领域得到了广泛应用。基于智能手机的数字图像比色检测技术是利用三原色(red, green, blue, RGB)原理, 通过采集图像颜色信息的空间数值后建立其与目标物含量的定量关系, 以实现对目标物的检测。比色法与智能手机相结合不仅可节约检测时间和经济成本, 还可实现现场的即时检测。但是, 目前将Fe3O4纳米酶与比色法及智能手机相结合用于检测食用油POV的报道较少。

Fe3O4纳米酶是一类兼具有纳米材料特性和酶催化功能的人工模拟酶。与天然酶相比较, 拥有稳定性高、催化活性好、制备简便且成本低廉等优势, 在食品安全检测领域得到广泛应用。然而, Fe3O4纳米酶因表面能较高, 易发生团聚, 影响其性能和应用效果。为此, 通常需通过修饰改性来提高其对底物的亲和力。例如, 将Fe3O4纳米酶负载到三维网状结构的凝胶中, 即可有效防止纳米粒子的团聚, 又能为催化反应提供适宜的微环境

鉴于此, 本研究以海藻酸钠(sodium alginate, SA)为载体, 采用化学共沉淀法和离子交联技术制备了具有类过氧化物酶活性的Fe3O4@SA纳米酶凝胶微球(以下简称: 纳米酶凝胶微球), 并构建了检测植物性食用油POV的比色传感体系(图1)。该体系中的纳米酶凝胶微球可催化植物性食用油中的过氧化物形成羟基自由基, 使得3,3’,5,5’-四甲基联苯胺(3,3’,5,5’-tetramethylbenzidine, TMB)变成蓝色氧化产物3,3’,5,5’-四甲基联苯二亚胺(3,3’,5,5’-tetramethylbenzidine diimine, oxTMB), 产生肉眼可见的颜色变化。利用酶标仪和智能手机采集颜色信息, 结合吸光度值和RGB分析进行数字化处理, 建立基于酶标仪比色法和智能手机数字图像比色法的POV快速检测方法。本研究基于纳米酶凝胶微球构建的比色检测方法具有检测所需时间短、经济成本低、操作简便, 无需借助大型实验仪器设备即可快速实现对植物性食用油 POV 的即时检测, 可为食用油的质量控制提供新技术。

图文解析

注: 椭圆框为油样与纳米酶凝胶微球、显色剂TMB反应过程, 最终形成蓝色氧化产物oxTMB。

图1  纳米酶凝胶微球比色检测植物性食用油POVs的示意图

Fig.1  Schematic diagram of colorimetric detection of POVs in vegetable edible oils by nanozyme gel microspheres

1  优化条件及参数

Table 1  Optimization conditions and parameters

注: a. 纳米酶凝胶微球的外貌; b. 纳米酶凝胶微球的磁性;c. 纳米酶凝胶微球的粒径分布直方图。

图2  纳米酶凝胶微球的形貌特征及磁性

Fig.2  Morphological characteristics and magnetic properties of nanozyme gel microspheres

注: 插图为不同组分反应后溶液颜色变化。

图3  不同组分比色传感体系的吸收光谱图

Fig.3  Absorption spectra of different component colorimetric sensing systems

注: 插图为不同氧化程度油样反应后溶液变化,且a至d号的油样POVs依次增大。

图4  不同氧化程度的油样的反应后体系的吸收光谱图

Fig.4  Absorption spectra of reaction systems of oil samples with different degrees of oxidation

注: 插图为不同比色条件下反应后溶液颜色变化。

图5  不同的比色条件对显色体系的影响

Fig.5  Effects of different colorimetric conditions on the color development system

图6  纳米酶凝胶微球的稳定性

Fig.6  Stability of nanozyme gel microspheres

注: 1~8号为油样POVs逐渐增加的显色体系。

图7  不同POVs的油样显色实验后体系的图像

Fig.7  Images of the system after color development experiments of oil samples with different POVs

 不同POVs的油样显色后体系的RGB参数值

Table 2  RGB parameter values of oil samples with different POVs after color development in the system

 定量检测模型

Table 3  Model of quantitative detection

注: a. 菜籽油; b. 花生油; c. 葵花籽油; d. 玉米油; e. 大豆油, 图9~10同; 插图为不同氧化程度油样显色反应后溶液颜色变化。

图8  不同POVs的植物性食用油比色检测的吸收光谱图

Fig.8  Absorption spectra of colorimetric detection of vegetable edible oils with different POVs

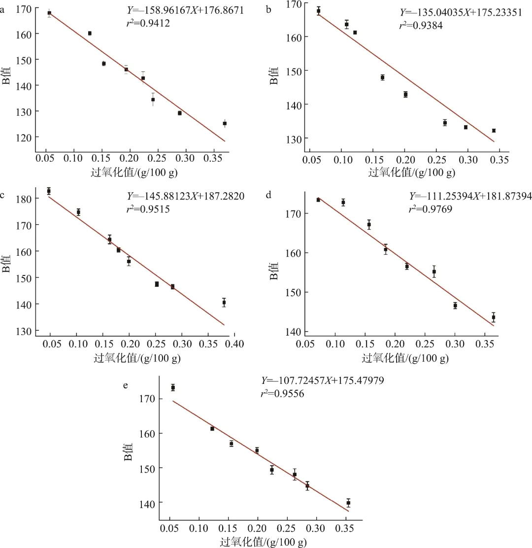
图9  酶标仪比色法检测不同类型植物性食用油POVs的标准曲线

Fig.9  Standard curves for detecting POVs of different types of vegetable edible oils using microplate reader colorimetric method

图10  智能手机数字图像比色法检测不同类型植物性食用油POVs的标准曲线

Fig.10  Standard curves for detecting POVs of different types of vegetable edible oils using smartphone digital image colorimetric method

注: 1~6为菜籽油样品, 7~12为花生油样品, 13~18为大豆油样品, 19~24为玉米油样品, 25~30为葵花籽油样品, 下同。

图11  酶标仪比色法与国家标准方法的检测结果对比

Fig.11  Comparison of detection results between the microplate reader colorimetric method and national standard method

图12  智能手机数字图像比色法与国家标准方法的检测结果对比

Fig.12  Comparison of detection results between smartphone digital image colorimetric method and national standard method
小结

本研究基于纳米酶凝胶微球的类过氧化物酶催化活性, 构建了检测植物性食用油POV的酶标仪比色法和智能手机数字图像比色法。所制备的纳米酶凝胶微球具有标准的形貌和尺寸, 表现出良好的类过氧化物酶活性、超顺磁性以及稳定性。在POV为0~0.40 g/100 g范围内, 植物性食用油POV与吸光度值、RGB的B值呈现良好的线性关系。在对不同类型的油样检测中, 酶标仪比色法和智能手机数字图像比色法测定结果均显示出较高的准确性和实用性。此外, 将智能手机与比色法联用, 通过智能手机的摄像头和应用程序对比色体系进行信息采集, 即可实现即时分析与定量检测, 其克服了传统比色法所需大型仪器的局限性, 具有操作简单、成本低廉、快捷高效的优势, 也为食品安全的保障提供了新途径。

↑  扫描二维码获取论文  ↑

1

欲了解更多详情, 欢迎点击左下角“阅读原文”, 访问 《食品安全质量检测学报》官方网站。

最新文章

随机文章

基本 文件 流程 错误 SQL 调试
  1. 请求信息 : 2026-04-06 05:10:04 HTTP/2.0 GET : https://h.mffb.com.cn/a/486451.html
  2. 运行时间 : 0.095219s [ 吞吐率:10.50req/s ] 内存消耗:4,379.30kb 文件加载:140
  3. 缓存信息 : 0 reads,0 writes
  4. 会话信息 : SESSION_ID=07f15887aebce20bc6e4f45885983e74
  1. /yingpanguazai/ssd/ssd1/www/h.mffb.com.cn/public/index.php ( 0.79 KB )
  2. /yingpanguazai/ssd/ssd1/www/h.mffb.com.cn/vendor/autoload.php ( 0.17 KB )
  3. /yingpanguazai/ssd/ssd1/www/h.mffb.com.cn/vendor/composer/autoload_real.php ( 2.49 KB )
  4. /yingpanguazai/ssd/ssd1/www/h.mffb.com.cn/vendor/composer/platform_check.php ( 0.90 KB )
  5. /yingpanguazai/ssd/ssd1/www/h.mffb.com.cn/vendor/composer/ClassLoader.php ( 14.03 KB )
  6. /yingpanguazai/ssd/ssd1/www/h.mffb.com.cn/vendor/composer/autoload_static.php ( 4.90 KB )
  7. /yingpanguazai/ssd/ssd1/www/h.mffb.com.cn/vendor/topthink/think-helper/src/helper.php ( 8.34 KB )
  8. /yingpanguazai/ssd/ssd1/www/h.mffb.com.cn/vendor/topthink/think-validate/src/helper.php ( 2.19 KB )
  9. /yingpanguazai/ssd/ssd1/www/h.mffb.com.cn/vendor/topthink/think-orm/src/helper.php ( 1.47 KB )
  10. /yingpanguazai/ssd/ssd1/www/h.mffb.com.cn/vendor/topthink/think-orm/stubs/load_stubs.php ( 0.16 KB )
  11. /yingpanguazai/ssd/ssd1/www/h.mffb.com.cn/vendor/topthink/framework/src/think/Exception.php ( 1.69 KB )
  12. /yingpanguazai/ssd/ssd1/www/h.mffb.com.cn/vendor/topthink/think-container/src/Facade.php ( 2.71 KB )
  13. /yingpanguazai/ssd/ssd1/www/h.mffb.com.cn/vendor/symfony/deprecation-contracts/function.php ( 0.99 KB )
  14. /yingpanguazai/ssd/ssd1/www/h.mffb.com.cn/vendor/symfony/polyfill-mbstring/bootstrap.php ( 8.26 KB )
  15. /yingpanguazai/ssd/ssd1/www/h.mffb.com.cn/vendor/symfony/polyfill-mbstring/bootstrap80.php ( 9.78 KB )
  16. /yingpanguazai/ssd/ssd1/www/h.mffb.com.cn/vendor/symfony/var-dumper/Resources/functions/dump.php ( 1.49 KB )
  17. /yingpanguazai/ssd/ssd1/www/h.mffb.com.cn/vendor/topthink/think-dumper/src/helper.php ( 0.18 KB )
  18. /yingpanguazai/ssd/ssd1/www/h.mffb.com.cn/vendor/symfony/var-dumper/VarDumper.php ( 4.30 KB )
  19. /yingpanguazai/ssd/ssd1/www/h.mffb.com.cn/vendor/topthink/framework/src/think/App.php ( 15.30 KB )
  20. /yingpanguazai/ssd/ssd1/www/h.mffb.com.cn/vendor/topthink/think-container/src/Container.php ( 15.76 KB )
  21. /yingpanguazai/ssd/ssd1/www/h.mffb.com.cn/vendor/psr/container/src/ContainerInterface.php ( 1.02 KB )
  22. /yingpanguazai/ssd/ssd1/www/h.mffb.com.cn/app/provider.php ( 0.19 KB )
  23. /yingpanguazai/ssd/ssd1/www/h.mffb.com.cn/vendor/topthink/framework/src/think/Http.php ( 6.04 KB )
  24. /yingpanguazai/ssd/ssd1/www/h.mffb.com.cn/vendor/topthink/think-helper/src/helper/Str.php ( 7.29 KB )
  25. /yingpanguazai/ssd/ssd1/www/h.mffb.com.cn/vendor/topthink/framework/src/think/Env.php ( 4.68 KB )
  26. /yingpanguazai/ssd/ssd1/www/h.mffb.com.cn/app/common.php ( 0.03 KB )
  27. /yingpanguazai/ssd/ssd1/www/h.mffb.com.cn/vendor/topthink/framework/src/helper.php ( 18.78 KB )
  28. /yingpanguazai/ssd/ssd1/www/h.mffb.com.cn/vendor/topthink/framework/src/think/Config.php ( 5.54 KB )
  29. /yingpanguazai/ssd/ssd1/www/h.mffb.com.cn/config/app.php ( 0.95 KB )
  30. /yingpanguazai/ssd/ssd1/www/h.mffb.com.cn/config/cache.php ( 0.78 KB )
  31. /yingpanguazai/ssd/ssd1/www/h.mffb.com.cn/config/console.php ( 0.23 KB )
  32. /yingpanguazai/ssd/ssd1/www/h.mffb.com.cn/config/cookie.php ( 0.56 KB )
  33. /yingpanguazai/ssd/ssd1/www/h.mffb.com.cn/config/database.php ( 2.48 KB )
  34. /yingpanguazai/ssd/ssd1/www/h.mffb.com.cn/vendor/topthink/framework/src/think/facade/Env.php ( 1.67 KB )
  35. /yingpanguazai/ssd/ssd1/www/h.mffb.com.cn/config/filesystem.php ( 0.61 KB )
  36. /yingpanguazai/ssd/ssd1/www/h.mffb.com.cn/config/lang.php ( 0.91 KB )
  37. /yingpanguazai/ssd/ssd1/www/h.mffb.com.cn/config/log.php ( 1.35 KB )
  38. /yingpanguazai/ssd/ssd1/www/h.mffb.com.cn/config/middleware.php ( 0.19 KB )
  39. /yingpanguazai/ssd/ssd1/www/h.mffb.com.cn/config/route.php ( 1.89 KB )
  40. /yingpanguazai/ssd/ssd1/www/h.mffb.com.cn/config/session.php ( 0.57 KB )
  41. /yingpanguazai/ssd/ssd1/www/h.mffb.com.cn/config/trace.php ( 0.34 KB )
  42. /yingpanguazai/ssd/ssd1/www/h.mffb.com.cn/config/view.php ( 0.82 KB )
  43. /yingpanguazai/ssd/ssd1/www/h.mffb.com.cn/app/event.php ( 0.25 KB )
  44. /yingpanguazai/ssd/ssd1/www/h.mffb.com.cn/vendor/topthink/framework/src/think/Event.php ( 7.67 KB )
  45. /yingpanguazai/ssd/ssd1/www/h.mffb.com.cn/app/service.php ( 0.13 KB )
  46. /yingpanguazai/ssd/ssd1/www/h.mffb.com.cn/app/AppService.php ( 0.26 KB )
  47. /yingpanguazai/ssd/ssd1/www/h.mffb.com.cn/vendor/topthink/framework/src/think/Service.php ( 1.64 KB )
  48. /yingpanguazai/ssd/ssd1/www/h.mffb.com.cn/vendor/topthink/framework/src/think/Lang.php ( 7.35 KB )
  49. /yingpanguazai/ssd/ssd1/www/h.mffb.com.cn/vendor/topthink/framework/src/lang/zh-cn.php ( 13.70 KB )
  50. /yingpanguazai/ssd/ssd1/www/h.mffb.com.cn/vendor/topthink/framework/src/think/initializer/Error.php ( 3.31 KB )
  51. /yingpanguazai/ssd/ssd1/www/h.mffb.com.cn/vendor/topthink/framework/src/think/initializer/RegisterService.php ( 1.33 KB )
  52. /yingpanguazai/ssd/ssd1/www/h.mffb.com.cn/vendor/services.php ( 0.14 KB )
  53. /yingpanguazai/ssd/ssd1/www/h.mffb.com.cn/vendor/topthink/framework/src/think/service/PaginatorService.php ( 1.52 KB )
  54. /yingpanguazai/ssd/ssd1/www/h.mffb.com.cn/vendor/topthink/framework/src/think/service/ValidateService.php ( 0.99 KB )
  55. /yingpanguazai/ssd/ssd1/www/h.mffb.com.cn/vendor/topthink/framework/src/think/service/ModelService.php ( 2.04 KB )
  56. /yingpanguazai/ssd/ssd1/www/h.mffb.com.cn/vendor/topthink/think-trace/src/Service.php ( 0.77 KB )
  57. /yingpanguazai/ssd/ssd1/www/h.mffb.com.cn/vendor/topthink/framework/src/think/Middleware.php ( 6.72 KB )
  58. /yingpanguazai/ssd/ssd1/www/h.mffb.com.cn/vendor/topthink/framework/src/think/initializer/BootService.php ( 0.77 KB )
  59. /yingpanguazai/ssd/ssd1/www/h.mffb.com.cn/vendor/topthink/think-orm/src/Paginator.php ( 11.86 KB )
  60. /yingpanguazai/ssd/ssd1/www/h.mffb.com.cn/vendor/topthink/think-validate/src/Validate.php ( 63.20 KB )
  61. /yingpanguazai/ssd/ssd1/www/h.mffb.com.cn/vendor/topthink/think-orm/src/Model.php ( 23.55 KB )
  62. /yingpanguazai/ssd/ssd1/www/h.mffb.com.cn/vendor/topthink/think-orm/src/model/concern/Attribute.php ( 21.05 KB )
  63. /yingpanguazai/ssd/ssd1/www/h.mffb.com.cn/vendor/topthink/think-orm/src/model/concern/AutoWriteData.php ( 4.21 KB )
  64. /yingpanguazai/ssd/ssd1/www/h.mffb.com.cn/vendor/topthink/think-orm/src/model/concern/Conversion.php ( 6.44 KB )
  65. /yingpanguazai/ssd/ssd1/www/h.mffb.com.cn/vendor/topthink/think-orm/src/model/concern/DbConnect.php ( 5.16 KB )
  66. /yingpanguazai/ssd/ssd1/www/h.mffb.com.cn/vendor/topthink/think-orm/src/model/concern/ModelEvent.php ( 2.33 KB )
  67. /yingpanguazai/ssd/ssd1/www/h.mffb.com.cn/vendor/topthink/think-orm/src/model/concern/RelationShip.php ( 28.29 KB )
  68. /yingpanguazai/ssd/ssd1/www/h.mffb.com.cn/vendor/topthink/think-helper/src/contract/Arrayable.php ( 0.09 KB )
  69. /yingpanguazai/ssd/ssd1/www/h.mffb.com.cn/vendor/topthink/think-helper/src/contract/Jsonable.php ( 0.13 KB )
  70. /yingpanguazai/ssd/ssd1/www/h.mffb.com.cn/vendor/topthink/think-orm/src/model/contract/Modelable.php ( 0.09 KB )
  71. /yingpanguazai/ssd/ssd1/www/h.mffb.com.cn/vendor/topthink/framework/src/think/Db.php ( 2.88 KB )
  72. /yingpanguazai/ssd/ssd1/www/h.mffb.com.cn/vendor/topthink/think-orm/src/DbManager.php ( 8.52 KB )
  73. /yingpanguazai/ssd/ssd1/www/h.mffb.com.cn/vendor/topthink/framework/src/think/Log.php ( 6.28 KB )
  74. /yingpanguazai/ssd/ssd1/www/h.mffb.com.cn/vendor/topthink/framework/src/think/Manager.php ( 3.92 KB )
  75. /yingpanguazai/ssd/ssd1/www/h.mffb.com.cn/vendor/psr/log/src/LoggerTrait.php ( 2.69 KB )
  76. /yingpanguazai/ssd/ssd1/www/h.mffb.com.cn/vendor/psr/log/src/LoggerInterface.php ( 2.71 KB )
  77. /yingpanguazai/ssd/ssd1/www/h.mffb.com.cn/vendor/topthink/framework/src/think/Cache.php ( 4.92 KB )
  78. /yingpanguazai/ssd/ssd1/www/h.mffb.com.cn/vendor/psr/simple-cache/src/CacheInterface.php ( 4.71 KB )
  79. /yingpanguazai/ssd/ssd1/www/h.mffb.com.cn/vendor/topthink/think-helper/src/helper/Arr.php ( 16.63 KB )
  80. /yingpanguazai/ssd/ssd1/www/h.mffb.com.cn/vendor/topthink/framework/src/think/cache/driver/File.php ( 7.84 KB )
  81. /yingpanguazai/ssd/ssd1/www/h.mffb.com.cn/vendor/topthink/framework/src/think/cache/Driver.php ( 9.03 KB )
  82. /yingpanguazai/ssd/ssd1/www/h.mffb.com.cn/vendor/topthink/framework/src/think/contract/CacheHandlerInterface.php ( 1.99 KB )
  83. /yingpanguazai/ssd/ssd1/www/h.mffb.com.cn/app/Request.php ( 0.09 KB )
  84. /yingpanguazai/ssd/ssd1/www/h.mffb.com.cn/vendor/topthink/framework/src/think/Request.php ( 55.78 KB )
  85. /yingpanguazai/ssd/ssd1/www/h.mffb.com.cn/app/middleware.php ( 0.25 KB )
  86. /yingpanguazai/ssd/ssd1/www/h.mffb.com.cn/vendor/topthink/framework/src/think/Pipeline.php ( 2.61 KB )
  87. /yingpanguazai/ssd/ssd1/www/h.mffb.com.cn/vendor/topthink/think-trace/src/TraceDebug.php ( 3.40 KB )
  88. /yingpanguazai/ssd/ssd1/www/h.mffb.com.cn/vendor/topthink/framework/src/think/middleware/SessionInit.php ( 1.94 KB )
  89. /yingpanguazai/ssd/ssd1/www/h.mffb.com.cn/vendor/topthink/framework/src/think/Session.php ( 1.80 KB )
  90. /yingpanguazai/ssd/ssd1/www/h.mffb.com.cn/vendor/topthink/framework/src/think/session/driver/File.php ( 6.27 KB )
  91. /yingpanguazai/ssd/ssd1/www/h.mffb.com.cn/vendor/topthink/framework/src/think/contract/SessionHandlerInterface.php ( 0.87 KB )
  92. /yingpanguazai/ssd/ssd1/www/h.mffb.com.cn/vendor/topthink/framework/src/think/session/Store.php ( 7.12 KB )
  93. /yingpanguazai/ssd/ssd1/www/h.mffb.com.cn/vendor/topthink/framework/src/think/Route.php ( 23.73 KB )
  94. /yingpanguazai/ssd/ssd1/www/h.mffb.com.cn/vendor/topthink/framework/src/think/route/RuleName.php ( 5.75 KB )
  95. /yingpanguazai/ssd/ssd1/www/h.mffb.com.cn/vendor/topthink/framework/src/think/route/Domain.php ( 2.53 KB )
  96. /yingpanguazai/ssd/ssd1/www/h.mffb.com.cn/vendor/topthink/framework/src/think/route/RuleGroup.php ( 22.43 KB )
  97. /yingpanguazai/ssd/ssd1/www/h.mffb.com.cn/vendor/topthink/framework/src/think/route/Rule.php ( 26.95 KB )
  98. /yingpanguazai/ssd/ssd1/www/h.mffb.com.cn/vendor/topthink/framework/src/think/route/RuleItem.php ( 9.78 KB )
  99. /yingpanguazai/ssd/ssd1/www/h.mffb.com.cn/route/app.php ( 1.72 KB )
  100. /yingpanguazai/ssd/ssd1/www/h.mffb.com.cn/vendor/topthink/framework/src/think/facade/Route.php ( 4.70 KB )
  101. /yingpanguazai/ssd/ssd1/www/h.mffb.com.cn/vendor/topthink/framework/src/think/route/dispatch/Controller.php ( 4.74 KB )
  102. /yingpanguazai/ssd/ssd1/www/h.mffb.com.cn/vendor/topthink/framework/src/think/route/Dispatch.php ( 10.44 KB )
  103. /yingpanguazai/ssd/ssd1/www/h.mffb.com.cn/app/controller/Index.php ( 4.81 KB )
  104. /yingpanguazai/ssd/ssd1/www/h.mffb.com.cn/app/BaseController.php ( 2.05 KB )
  105. /yingpanguazai/ssd/ssd1/www/h.mffb.com.cn/vendor/topthink/think-orm/src/facade/Db.php ( 0.93 KB )
  106. /yingpanguazai/ssd/ssd1/www/h.mffb.com.cn/vendor/topthink/think-orm/src/db/connector/Mysql.php ( 5.44 KB )
  107. /yingpanguazai/ssd/ssd1/www/h.mffb.com.cn/vendor/topthink/think-orm/src/db/PDOConnection.php ( 52.47 KB )
  108. /yingpanguazai/ssd/ssd1/www/h.mffb.com.cn/vendor/topthink/think-orm/src/db/Connection.php ( 8.39 KB )
  109. /yingpanguazai/ssd/ssd1/www/h.mffb.com.cn/vendor/topthink/think-orm/src/db/ConnectionInterface.php ( 4.57 KB )
  110. /yingpanguazai/ssd/ssd1/www/h.mffb.com.cn/vendor/topthink/think-orm/src/db/builder/Mysql.php ( 16.58 KB )
  111. /yingpanguazai/ssd/ssd1/www/h.mffb.com.cn/vendor/topthink/think-orm/src/db/Builder.php ( 24.06 KB )
  112. /yingpanguazai/ssd/ssd1/www/h.mffb.com.cn/vendor/topthink/think-orm/src/db/BaseBuilder.php ( 27.50 KB )
  113. /yingpanguazai/ssd/ssd1/www/h.mffb.com.cn/vendor/topthink/think-orm/src/db/Query.php ( 15.71 KB )
  114. /yingpanguazai/ssd/ssd1/www/h.mffb.com.cn/vendor/topthink/think-orm/src/db/BaseQuery.php ( 45.13 KB )
  115. /yingpanguazai/ssd/ssd1/www/h.mffb.com.cn/vendor/topthink/think-orm/src/db/concern/TimeFieldQuery.php ( 7.43 KB )
  116. /yingpanguazai/ssd/ssd1/www/h.mffb.com.cn/vendor/topthink/think-orm/src/db/concern/AggregateQuery.php ( 3.26 KB )
  117. /yingpanguazai/ssd/ssd1/www/h.mffb.com.cn/vendor/topthink/think-orm/src/db/concern/ModelRelationQuery.php ( 20.07 KB )
  118. /yingpanguazai/ssd/ssd1/www/h.mffb.com.cn/vendor/topthink/think-orm/src/db/concern/ParamsBind.php ( 3.66 KB )
  119. /yingpanguazai/ssd/ssd1/www/h.mffb.com.cn/vendor/topthink/think-orm/src/db/concern/ResultOperation.php ( 7.01 KB )
  120. /yingpanguazai/ssd/ssd1/www/h.mffb.com.cn/vendor/topthink/think-orm/src/db/concern/WhereQuery.php ( 19.37 KB )
  121. /yingpanguazai/ssd/ssd1/www/h.mffb.com.cn/vendor/topthink/think-orm/src/db/concern/JoinAndViewQuery.php ( 7.11 KB )
  122. /yingpanguazai/ssd/ssd1/www/h.mffb.com.cn/vendor/topthink/think-orm/src/db/concern/TableFieldInfo.php ( 2.63 KB )
  123. /yingpanguazai/ssd/ssd1/www/h.mffb.com.cn/vendor/topthink/think-orm/src/db/concern/Transaction.php ( 2.77 KB )
  124. /yingpanguazai/ssd/ssd1/www/h.mffb.com.cn/vendor/topthink/framework/src/think/log/driver/File.php ( 5.96 KB )
  125. /yingpanguazai/ssd/ssd1/www/h.mffb.com.cn/vendor/topthink/framework/src/think/contract/LogHandlerInterface.php ( 0.86 KB )
  126. /yingpanguazai/ssd/ssd1/www/h.mffb.com.cn/vendor/topthink/framework/src/think/log/Channel.php ( 3.89 KB )
  127. /yingpanguazai/ssd/ssd1/www/h.mffb.com.cn/vendor/topthink/framework/src/think/event/LogRecord.php ( 1.02 KB )
  128. /yingpanguazai/ssd/ssd1/www/h.mffb.com.cn/vendor/topthink/think-helper/src/Collection.php ( 16.47 KB )
  129. /yingpanguazai/ssd/ssd1/www/h.mffb.com.cn/vendor/topthink/framework/src/think/facade/View.php ( 1.70 KB )
  130. /yingpanguazai/ssd/ssd1/www/h.mffb.com.cn/vendor/topthink/framework/src/think/View.php ( 4.39 KB )
  131. /yingpanguazai/ssd/ssd1/www/h.mffb.com.cn/vendor/topthink/framework/src/think/Response.php ( 8.81 KB )
  132. /yingpanguazai/ssd/ssd1/www/h.mffb.com.cn/vendor/topthink/framework/src/think/response/View.php ( 3.29 KB )
  133. /yingpanguazai/ssd/ssd1/www/h.mffb.com.cn/vendor/topthink/framework/src/think/Cookie.php ( 6.06 KB )
  134. /yingpanguazai/ssd/ssd1/www/h.mffb.com.cn/vendor/topthink/think-view/src/Think.php ( 8.38 KB )
  135. /yingpanguazai/ssd/ssd1/www/h.mffb.com.cn/vendor/topthink/framework/src/think/contract/TemplateHandlerInterface.php ( 1.60 KB )
  136. /yingpanguazai/ssd/ssd1/www/h.mffb.com.cn/vendor/topthink/think-template/src/Template.php ( 46.61 KB )
  137. /yingpanguazai/ssd/ssd1/www/h.mffb.com.cn/vendor/topthink/think-template/src/template/driver/File.php ( 2.41 KB )
  138. /yingpanguazai/ssd/ssd1/www/h.mffb.com.cn/vendor/topthink/think-template/src/template/contract/DriverInterface.php ( 0.86 KB )
  139. /yingpanguazai/ssd/ssd1/www/h.mffb.com.cn/runtime/temp/32b793ebdcbdb96aeb8bb24c123b0bef.php ( 11.98 KB )
  140. /yingpanguazai/ssd/ssd1/www/h.mffb.com.cn/vendor/topthink/think-trace/src/Html.php ( 4.42 KB )
  1. CONNECT:[ UseTime:0.000447s ] mysql:host=127.0.0.1;port=3306;dbname=h_mffb;charset=utf8mb4
  2. SHOW FULL COLUMNS FROM `fenlei` [ RunTime:0.000604s ]
  3. SELECT * FROM `fenlei` WHERE `fid` = 0 [ RunTime:0.000294s ]
  4. SELECT * FROM `fenlei` WHERE `fid` = 63 [ RunTime:0.000274s ]
  5. SHOW FULL COLUMNS FROM `set` [ RunTime:0.000520s ]
  6. SELECT * FROM `set` [ RunTime:0.000208s ]
  7. SHOW FULL COLUMNS FROM `article` [ RunTime:0.000574s ]
  8. SELECT * FROM `article` WHERE `id` = 486451 LIMIT 1 [ RunTime:0.006025s ]
  9. UPDATE `article` SET `lasttime` = 1775423404 WHERE `id` = 486451 [ RunTime:0.005991s ]
  10. SELECT * FROM `fenlei` WHERE `id` = 64 LIMIT 1 [ RunTime:0.000247s ]
  11. SELECT * FROM `article` WHERE `id` < 486451 ORDER BY `id` DESC LIMIT 1 [ RunTime:0.000508s ]
  12. SELECT * FROM `article` WHERE `id` > 486451 ORDER BY `id` ASC LIMIT 1 [ RunTime:0.001668s ]
  13. SELECT * FROM `article` WHERE `id` < 486451 ORDER BY `id` DESC LIMIT 10 [ RunTime:0.004231s ]
  14. SELECT * FROM `article` WHERE `id` < 486451 ORDER BY `id` DESC LIMIT 10,10 [ RunTime:0.002102s ]
  15. SELECT * FROM `article` WHERE `id` < 486451 ORDER BY `id` DESC LIMIT 20,10 [ RunTime:0.004620s ]
0.096802s