
论文摘要咀嚼特性是评价柑橘果实质地的关键指标,不仅影响消费者的感官偏好,还会作用于果肉纤维的结肠发酵特性。本研究以咀嚼特性优良的红美人(HMR)、中等的温州蜜柑(WM)和较差的南丰蜜橘(NF)为研究对象,通过口腔咀嚼实验、体外胃肠消化模拟及结肠发酵模拟,探究了不同咀嚼特性柑橘的碳水化合物降解动态及肠道菌群组成变化。结果表明,红美人的囊衣细胞排列松散,仅需 7 次咀嚼即可形成可吞咽食团,而南丰蜜橘需 25 次咀嚼,其食团硬度为红美人的 5.8 倍。柑橘食团中的碳水化合物在上消化道中降解有限,主要在结肠中被大量发酵;其中富含果胶的红美人,其发酵速率、短链脂肪酸(SCFA)产量及碳水化合物降解程度均高于温州蜜柑和南丰蜜橘。此外,所有柑橘样本均能促进益生菌富集并抑制致病菌生长。这些发现揭示了咀嚼特性对柑橘发酵模式及益生潜力的影响,为柑橘育种策略提供了科学依据。研究背景整合段落
研究背景人体胃肠道是高度协调的器官系统,摄入的食物在口腔、食道、胃、小肠和结肠中,通过 pH 环境、消化酶及复杂微生物群落的协同作用完成降解与转化。植物性食物不仅能提供必需的宏量营养素和微量营养素,还是膳食纤维的主要来源,而膳食纤维作为维持人体代谢稳态和整体健康的关键物质,其主要成分(果胶、半纤维素、纤维素)源于植物细胞壁,这类纤维难以在胃和小肠中消化,却能在结肠中被肠道菌群发酵,产生乙酸、丙酸、丁酸等有益短链脂肪酸,对肠道健康具有重要意义。近年来,健康的肠道环境被公认为整体健康的重要标志,肠道菌群组成的变化已被证实与多种慢性疾病的发病机制相关。肠道发酵特性主要与植物细胞壁的理化性质相关,不同结构的膳食纤维(如果胶、纤维素、半纤维素)在体外结肠发酵中展现出不同的降解过程,对肠道菌群组成的影响也存在差异;且不同植物来源(谷物、豆类、块茎)的细胞壁组成和微观结构不同,其体外发酵形成的微生物群落结构也存在显著差异。然而,目前研究多聚焦于单一多糖或特定类型的植物细胞壁,对于天然植物基质(尤其是具有不同质地特性的果蔬)在结肠发酵过程中对肠道环境及菌群组成的调控作用,仍缺乏充分认知,亟待进一步探究。柑橘作为芸香科植物,其咀嚼特性是评价果实质地的核心指标,直接影响消费者偏好和工业加工条件,因此选育咀嚼特性优良的柑橘品种已成为现代育种的核心目标之一。此前研究发现,柑橘咀嚼特性差异与细胞壁成分及结构密切相关 —— 咀嚼特性较差的品种通常纤维素含量和结晶度更高、果胶含量更低,且碳酸钠可提取果胶的侧链结构更复杂,但这些细胞壁结构差异是否会影响柑橘碳水化合物的消化过程及人体肠道菌群对其的利用,目前尚不明确。
图文赏析Fig. 1:不同咀嚼特性柑橘品种的咀嚼行为(A)及食团粒径分布(B)。
Fig. 2:红美人(HMR)(A1、A2)、温州蜜柑(WM)(B1、B2)和南丰蜜橘(NF)(C1、C2)的囊衣微观结构;放大倍数分别为 ×500(1)和 ×1500(2)。
Fig. 3:柑橘食团可溶性碳水化合物在模拟消化过程中的高效凝胶渗透色谱(HPGPC)图谱。胃消化过程:(A)红美人、(B)温州蜜柑、(C)南丰蜜橘;小肠消化过程:(D)红美人、(E)温州蜜柑、(F)南丰蜜橘;结肠发酵过程:(G)红美人、(H)温州蜜柑、(I)南丰蜜橘。
Fig. 4:柑橘食团游离单糖在模拟消化过程中的高效液相色谱(HPLC)图谱。胃消化过程:(A)红美人、(B)温州蜜柑、(C)南丰蜜橘;小肠消化过程:(D)红美人、(E)温州蜜柑、(F)南丰蜜橘。峰 1-9 对应单糖标准品:1 - 甘露糖(Man)、2 - 鼠李糖(Rha)、3 - 葡萄糖醛酸(GlcA)、4 - 半乳糖醛酸(GalA)、5 - 葡萄糖(Glc)、6 - 木糖(Xyl)、7 - 半乳糖(Gal)、8 - 阿拉伯糖(Ara)、9 - 岩藻糖(Fuc)。单糖定量结果见表 S2。
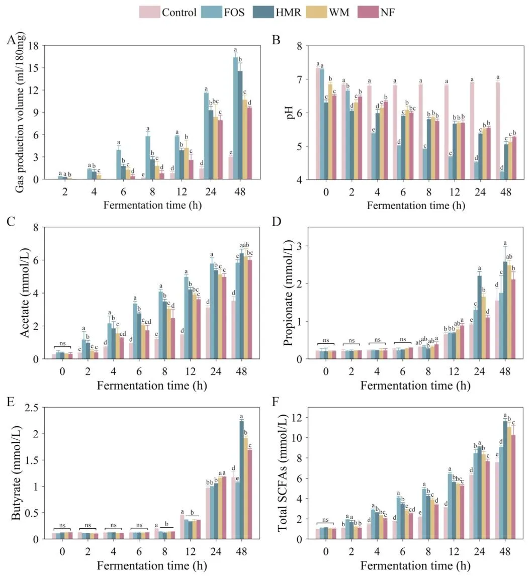
Fig. 5:不同咀嚼特性柑橘食团的体外结肠发酵特性评估。(A)累计产气量;(B)pH 值;(C)乙酸;(D)丙酸;(E)丁酸;(F)总短链脂肪酸(乙酸、丙酸、丁酸、戊酸、异丁酸和异戊酸之和)。不同小写字母表示组间存在显著差异(p<0.05),数据以 “平均值 ± 标准差” 表示(n=3)。
Fig. 6:不同咀嚼特性柑橘食团在体外结肠发酵过程中可溶性和不可溶性碳水化合物的消耗情况。(A)可溶性鼠李糖;(B)可溶性阿拉伯糖;(C)可溶性半乳糖;(D)可溶性糖醛酸;(E)总可溶性碳水化合物;(F)不可溶性鼠李糖;(G)不可溶性阿拉伯糖;(H)不可溶性半乳糖;(I)不可溶性糖醛酸;(J)总不可溶性碳水化合物。
Fig. 7:柑橘碳水化合物在体外结肠发酵过程中结构特性的动态变化。(A、D)可溶性和不可溶性果胶中鼠李糖半乳糖醛酸聚糖 I(RG-I)结构域对主链的贡献(鼠李糖 / 糖醛酸比值);(B、E)可溶性和不可溶性果胶中 RG-I 的分支程度((阿拉伯糖 + 半乳糖)/ 鼠李糖比值);(C、F)可溶性和不可溶性果胶的线性度(糖醛酸 /(岩藻糖 + 半乳糖 + 阿拉伯糖 + 鼠李糖 + 木糖)比值)。
Fig. 8:基于布雷 - 柯蒂斯距离的主坐标分析(PCoA)图,展示不同发酵组间微生物群落的差异。IGF - 粪便菌液;空白组 - 无碳源培养基阴性对照;FOS - 低聚果糖阳性对照;HMR、WM、NF 分别代表咀嚼特性优良、中等和较差的柑橘品种。
Fig. 9:不同咀嚼特性柑橘食团体外发酵过程中微生物群落组成比较。(A)不同发酵样本在门水平的分类学图谱;(B)属水平的分类学图谱(展示丰度前 20 的属);(C)发酵 48 h 后通过线性判别分析效应大小(LEfSe)分析筛选出的差异类群(线性判别分析得分 > 3.0)。
研究结论不同咀嚼特性柑橘果肉在口腔咀嚼、体外胃肠消化及结肠发酵过程中的碳水化合物降解动态,以及其对肠道健康的后续影响存在显著差异。红美人(HMR)的囊衣细胞层数少且排列松散,仅需少量咀嚼即可形成可吞咽食团。在整个胃肠消化过程中,柑橘食团中的多糖降解程度极低,主要在结肠中被肠道菌群分解利用。值得注意的是,富含果胶的红美人(HMR)为肠道菌群提供了更易发酵的底物,与咀嚼特性较差的南丰蜜橘(NF)相比,展现出更高的发酵速率、更多的短链脂肪酸(SCFA)产量以及更显著的碳水化合物降解程度。线性判别分析效应大小(LEfSe)分析进一步表明,不同咀嚼特性的柑橘果肉会选择性地塑造肠道微生物群落结构。因此,这些研究结果表明,柑橘的咀嚼特性会影响其发酵模式,并可能对其潜在的健康益处产生重要作用。
尽管本研究取得了上述发现,但仍需承认,本研究采用的是体外模拟胃肠消化和结肠发酵模型,无法完全复制体内消化过程的复杂性,包括宿主生理状态及菌群与宿主间的相互作用。未来的体内研究(如动物模型实验)可能有助于在更接近生理条件的环境下验证这些体外观察结果的相关性。
潘思轶:华中农业大学食品科学技术学院教授、博士生导师。研究方向 :柑橘加工技术。重点内容 :针对我国柑橘加工产业现状,结合加工产业存在的技术问题,开展柑橘精深加工及柑橘副产物综合利用开发技术研究。旨在通过开发柑橘精深加工新技术,重点研究柑橘加工副产物的综合利用技术。
本研究得到以下项目资助:
国家现代农业产业技术体系专项(项目编号:CARS-26-07B);
中央高校基本科研业务费专项(项目编号:2662020SPPY011);
云南省重大专项及重点研发计划项目(项目编号:202102AE090054);
湖北省技术创新专项重大项目(项目编号:2022BBA0030)。
https://doi.org/10.1016/j.lwt.2026.119146
欢迎添加小编微信

标注 “原创” 仅表明为原创编译,本平台不主张对原文享有版权。
本平台转载内容仅出于学术交流与信息传播之目的,并不代表本平台观点,亦不意味着证实内容的真实性。转载文章的版权归原作者所有,若原作者不希望作品被转载或存在侵权行为,请联系本平台删除。由于编译水平有限,推文或简历中若有不妥之处,我们深表歉意,请联系本平台进行修改或删除。