当前位置:首页>农业>草甘膦与耐草甘膦作物:现代农业除草技术的革命与挑战

草甘膦与耐草甘膦作物:现代农业除草技术的革命与挑战

  • 2026-04-01 05:04:25
草甘膦与耐草甘膦作物:现代农业除草技术的革命与挑战
草甘膦,作为全球使用量最大的除草剂,自20世纪70年代问世以来,深刻改变了全球农业生产的面貌。而与之相伴而生的耐草甘膦转基因作物,更是将除草技术推向了一个全新的高度,形成了“种子+农药”的现代化种植系统。本文将深入解析草甘膦的作用机制、应用现状、争议焦点,以及耐草甘膦作物的发展历程与未来趋势。

一、草甘膦:非选择性除草剂的代表

1. 基本特性与发现历程

草甘膦(Glyphosate,1071-83-6),化学名称为N-(膦酰基甲基)甘氨酸/2-(膦酸甲氨基)乙酸,是一种有机磷类内吸传导型广谱灭生性除草剂(也作为作物干燥剂使用)草甘膦的历史可追溯至1950年,由瑞士化学家亨利·马丁首次合成,但当时未报道其生物活性。1970年,孟山都公司的化学家约翰·弗朗兹在系统筛选类似物以寻找更强除草活性的过程中,于打算放弃该项目前合成的第三个衍生物,正是具有卓越除草效果的草甘膦。同年5月,孟山都首次成功合成该化合物,7月即进行温室试验。1971年D. D. BairdJ. E. Franz等人正式报道了其除草活性。1974年,孟山都公司以商品名“农达®”(Roundup)推出了草甘膦的异丙胺盐、铵盐和钠盐等剂型,使其成功商业化。该品牌现由拜耳公司拥有。约翰·弗朗兹因其杰出贡献,于1987年获得美国国家技术奖章,并于2007年入选美国发明家名人堂。
作为全球生产量、使用量和销售额最大的除草剂,草甘膦已在130多个国家获得登记,常被誉为“几乎理想”的除草剂,其对于保障全球粮食生产的重要性,常被类比为青霉素对人类疾病治疗的贡献。
然而,其安全性存在显著争议。2015年3月,世界卫生组织下属的国际癌症研究机构依据流行病学、动物及体外研究,将草甘膦归类为“对人类很可能致癌”(2A组)的物质,指出其与非霍奇金淋巴瘤之间存在有限的证据关联。
从理化性质看,草甘膦纯品为白色固体,易溶于水。在实际应用中,常被加工成异丙胺盐、铵盐、钾盐或钠盐等剂型,具有广谱的灭生性,能有效防除包括单子叶与双子叶、一年生与多年生、草本与灌木等40多科的植物,对多年生深根恶性杂草,如茅草、香附子等,效果尤为突出。
在分析方法上,2013年,范志先、张晖首创了草甘膦的反相间接光度色谱分析方法,为其检测提供了新的技术支持。

2. 独特的作用机制

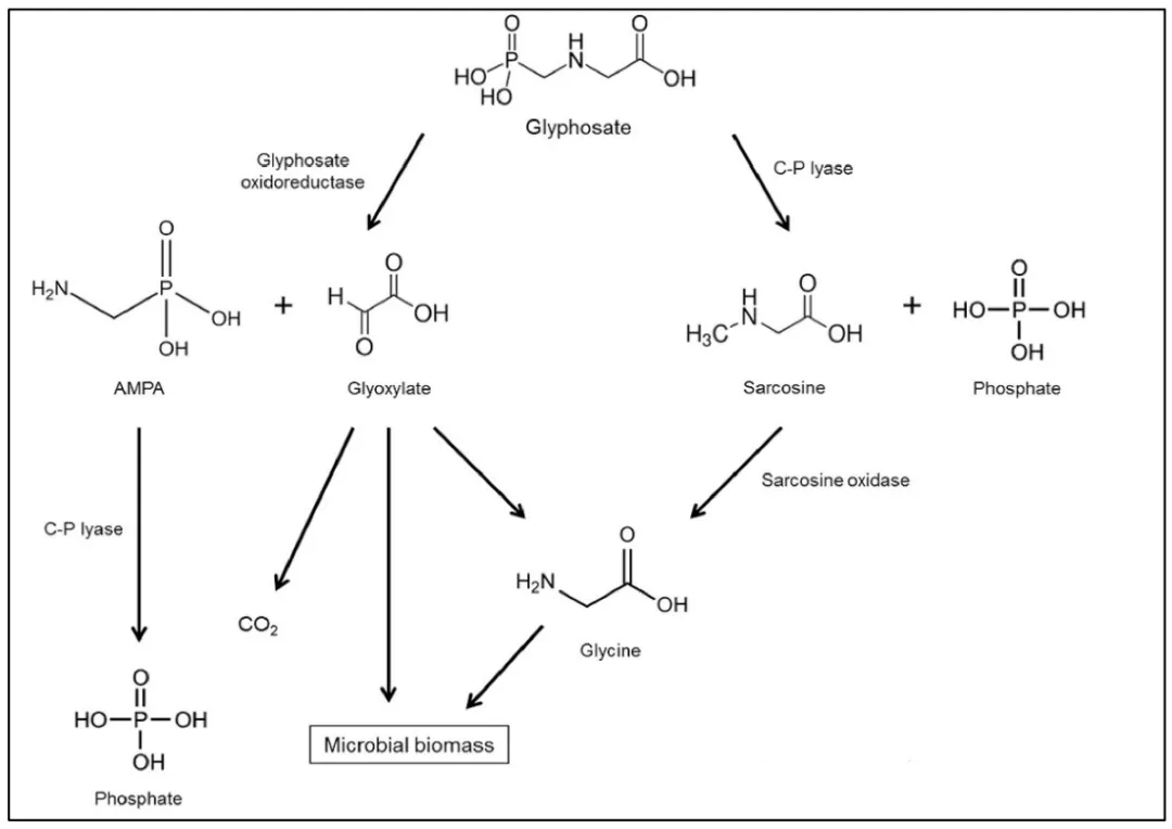
草甘膦的除草机理具有高度特异性,通过抑制植物体内5-烯醇丙酮莽草酸-3-磷酸合成酶(EPSPS)的活性,阻断了莽草酸途径。这一途径是植物、真菌和细菌合成三种必需芳香族氨基酸——苯丙氨酸、酪氨酸和色氨酸的关键生化路径。
当草甘膦与EPSPS酶结合后,酶无法正常催化磷酸烯醇丙酮酸与莽草酸-3-磷酸反应生成5-烯醇丙酮莽草酸-3-磷酸,导致植物蛋白质合成受到严重干扰,最终生长停滞、死亡。由于动物细胞中不存在莽草酸途径,理论上草甘膦对动物无直接毒性

3. 环境行为与使用特点

草甘膦在环境中表现出一些有利特性:进入土壤后,能迅速与铁、铝等金属离子结合而钝化失活,因此无土壤残留危害,对土壤中潜藏的种子和微生物无不良影响。其在水和土壤中的半衰期因条件而异,一般在数天至数月之间。
使用时,草甘膦必须进行茎叶喷雾处理,通过植物绿色部位吸收后,内吸传导至全株,包括地下根茎,达到斩草除根的效果。其杀草速度相对较慢,一年生杂草约一周后表现症状,多年生杂草需两周以上。

二、耐草甘膦作物:转基因技术的成功应用

1. 研发原理与突破

耐草甘膦作物的诞生源于一个关键发现:科学家从土壤农杆菌CP4菌株中分离出一种对草甘膦高度耐受的EPSPS酶1986年,研究人员成功将编码这种酶的cp4-epsps基因导入植物基因组,培育出首例耐草甘膦植物。其核心原理是:转基因作物表达的CP4 EPSPS酶不受草甘膦抑制,能够正常催化芳香族氨基酸的合成,因此在高浓度草甘膦喷洒下仍能正常生长,而田间杂草则被有效杀灭。

2. 商业化进程与全球普及

1996年,耐草甘膦大豆‘GTS 40-3-2’在美国、加拿大等国家率先商业化种植,标志着转基因作物大规模应用的开始。此后,耐草甘膦玉米、棉花、油菜、苜蓿、甜菜等相继上市。
截至2025年,全球转基因作物种植面积已超2亿公顷,较1996年增长了120多倍。其中,美国93%的玉米、95%的大豆和97%的棉花均为转基因品种,且绝大部分含有耐草甘膦性状。

3. 带来的农业变革

耐草甘膦作物与草甘膦除草剂的结合,催生了全新的农业生产模式:
简化田间管理:农民可在作物全生育期喷洒草甘膦,一次性防除多种杂草,大幅减少人工除草成本和田间作业次数。
促进保护性耕作:配合免耕、少耕技术,减少土壤侵蚀,改善土壤结构。
提高经济效益:据评估,1996年以来,全球种植耐除草剂大豆、玉米和棉花分别增收643亿、170亿和22.5亿美元。

三、中国的研发与产业化进展

我国在耐草甘膦作物领域虽起步较晚,但已取得显著成果。2008年启动的“转基因生物新品种培育科技重大专项”推动了具有自主知识产权产品的研发。
目前,我国已获得多个耐草甘膦玉米和大豆转化体的农业转基因生物安全证书,包括‘DBN9936’、‘DBN9858’、‘DBN3601T’等玉米转化体,以及‘中黄6106’等大豆转化体。
2021-2025年,我国在云南、内蒙古等地开展了转基因作物产业化应用试点,结果令人鼓舞:
转基因大豆:喷施1次草甘膦,除草效果达95%-99%,每亩节约成本63元,产量提升6.2%-10.2%。
转基因玉米:同样喷施1次草甘膦,除草效果95%以上,每亩节约成本42-80元,产量增幅5.6%-11.6%。
2023年12月,农业农村部首批审定通过了37个转基因玉米品种和14个转基因大豆品种,标志着我国转基因作物产业化迈出了关键一步。

四、争议与挑战

1. 健康安全争议

草甘膦的安全性一直是全球争论的焦点。2015年,国际癌症研究机构(IARC)将其列为“2A类可能致癌物”。这一结论引发了全球范围内的法律诉讼,拜耳公司已支付超过72.5亿美元和解相关指控。
然而,其他权威机构的评估并不一致。美国环境保护署(EPA)、欧盟食品安全局(EFSA)等多次评估认为,按照标签说明使用草甘膦不大可能对人类构成致癌风险。这种科学评估的分歧导致了各国监管政策的差异。

2. 杂草抗性问题

长期单一使用草甘膦,已导致日益严峻的杂草抗性问题。自20世纪90年代首批转基因作物(如玉米、油菜、大豆和棉花)商业化推广以来,依赖草甘膦的种植模式在全球普及,也为杂草抗性的演化提供了持续的选择压力。早期尚未发现抗性杂草,但形势迅速变化。到2014年,抗草甘膦杂草已成为除草剂抗药性研究的焦点,在18个国家共发现23种抗性杂草,它们常被称为“超级杂草”。据最新数据,截至2025年,全球已确认的抗草甘膦杂草种类已攀升至56种。这些杂草属于国际除草剂抗性行动委员会/美国杂草科学协会分类体系中的HRAC/WSSA第9组,其抗性机制主要为靶标位点突变或代谢增强等。常见的抗性杂草包括牛筋草、马唐、多花黑麦草、硬直黑麦草、小白酒草、香丝草、豚草、地肤、早熟禾、风车草、猩猩草、假高粱、杉叶藻、小飞蓬和帕尔默苋菜等,它们的蔓延不仅直接降低除草效果,还迫使农民增加用药剂量、混用其他除草剂或转向更昂贵的替代方案,从而显著推高了生产成本,并加剧了对环境的压力。

3. 监管与贸易壁垒

各国对草甘膦和转基因作物的监管政策差异显著。欧盟对草甘膦的使用施加了严格限制,而美国、巴西、阿根廷等国则相对宽松。这种监管分化影响了全球农产品贸易,也对企业提出了更高的合规要求。

五、未来发展趋势

1. 技术迭代升级

新一代耐除草剂作物:如拜耳公司研发中的第四代耐除草剂大豆MON 94313,能够同时耐受草铵膦、麦草畏、硝磺草酮和2,4-滴四种除草剂,为农民提供更灵活的选择。
精准施药技术:无人机搭载多光谱相机进行杂草识别,结合AI算法生成“处方图”,实现变量精准施药。
绿色生产工艺:开发连续流微反应技术,提高收率、降低能耗;推广生物基助剂替代传统表面活性剂。

2. 产业格局演变

全球草甘膦产业呈现“中国制造主导、跨国公司控制渠道”的双层格局。中国占据全球原药产能的绝大部分,但品牌和渠道仍由拜耳、先正达等跨国公司主导。随着美国《国防生产法》将草甘膦列为“国防战略物资”,供应链区域化重构可能加速。

3. 可持续发展方向

未来草甘膦和耐草甘膦作物的发展将更加注重:
抗性综合治理:推广作物轮作、多种除草剂轮换使用、结合机械除草等综合策略。
环境友好型产品:开发低残留、高效剂型,减少生态影响。
数字化农业服务:提供“种子+农药+数字化管理”的整体解决方案。

总结

草甘膦与耐草甘膦作物相结合的技术体系,代表了现代农业中化学与生物技术的一次深度融合,在提高农业生产效率、简化田间管理、保障全球粮食安全方面发挥了不可替代的作用。然而,这一体系也长期面临着关于人体健康、环境影响、杂草抗性及社会接受度等多方面的严峻挑战。
草甘膦是一种内吸传导型的非选择性有机磷除草剂,其作用特点在于无土壤残留活性,能通过茎叶吸收并传导至植株全株,包括地下根茎,从而能有效防除包括多年生深根杂草在内的多种植物,达到机械防除难以实现的深度。部分豆科与百合科植物对其天然具有较强耐性,这一特性为后续的转基因技术开发提供了生物学基础。
耐草甘膦作物的商业化种植,使得草甘膦得以在作物生长期安全、高效地使用,极大改变了耕作模式。然而,长期大规模依赖单一作用机制的除草剂,也加速了杂草抗药性的演化。另一方面,2015年世界卫生组织下属的国际癌症研究机构(IARC)将其归类为“2A类致癌物”,这一结论与全球许多主要监管机构的评估存在分歧,由此引发的巨大争议,将草甘膦的健康风险与转基因食品的安全性议题紧密捆绑,使其超越了单纯的农用化学品范畴,成为备受公众关注的科技与社会议题。
这场争议背后交织着巨大的经济利益、复杂的科学论证以及不同的监管哲学,短期内恐难有全球统一的定论。一个不容忽视的核心事实是:如此巨量的人工合成化学品持续投入农业生态系统,无疑会给脆弱的生态环境带来持续压力,并对食物链产生深远且尚未完全明晰的影响。因此,对这一技术体系给予科学、审慎、持续的评估与监管,远比陷入无休止的舆论对峙或消极等待更为重要
展望未来,该技术体系的发展必须在技术创新与审慎监管、农业生产效率与生态安全、短期经济效益与长期可持续发展之间寻求新的平衡。随着科学研究的持续深入、新一代技术的进步(如基因编辑、精准施药)以及监管体系的不断完善,草甘膦与耐草甘膦作物有望在更可持续的农业框架内继续发挥其作用,为应对全球粮食安全挑战提供一种经过优化的解决方案。
对中国而言,在确保生物安全、环境安全和食品安全的前提下,通过扎实的科学评估与严格的规范管理,稳步推进耐草甘膦作物等生物技术的产业化应用,不仅是提升我国农业科技竞争力、应对资源约束的关键路径,也是保障国家粮食安全战略的重要举措。这需要科研机构、种子企业、政府部门与农业生产者协同努力,共同构建一个涵盖研发、评价、种植、流通与监管的全链条、规范化、透明化的管理体系。

最新文章

随机文章

基本 文件 流程 错误 SQL 调试
  1. 请求信息 : 2026-04-18 13:04:11 HTTP/2.0 GET : https://h.mffb.com.cn/a/486880.html
  2. 运行时间 : 0.084190s [ 吞吐率:11.88req/s ] 内存消耗:4,527.84kb 文件加载:140
  3. 缓存信息 : 0 reads,0 writes
  4. 会话信息 : SESSION_ID=338af97b0e63464aca17775c3e76dabf
  1. /yingpanguazai/ssd/ssd1/www/h.mffb.com.cn/public/index.php ( 0.79 KB )
  2. /yingpanguazai/ssd/ssd1/www/h.mffb.com.cn/vendor/autoload.php ( 0.17 KB )
  3. /yingpanguazai/ssd/ssd1/www/h.mffb.com.cn/vendor/composer/autoload_real.php ( 2.49 KB )
  4. /yingpanguazai/ssd/ssd1/www/h.mffb.com.cn/vendor/composer/platform_check.php ( 0.90 KB )
  5. /yingpanguazai/ssd/ssd1/www/h.mffb.com.cn/vendor/composer/ClassLoader.php ( 14.03 KB )
  6. /yingpanguazai/ssd/ssd1/www/h.mffb.com.cn/vendor/composer/autoload_static.php ( 4.90 KB )
  7. /yingpanguazai/ssd/ssd1/www/h.mffb.com.cn/vendor/topthink/think-helper/src/helper.php ( 8.34 KB )
  8. /yingpanguazai/ssd/ssd1/www/h.mffb.com.cn/vendor/topthink/think-validate/src/helper.php ( 2.19 KB )
  9. /yingpanguazai/ssd/ssd1/www/h.mffb.com.cn/vendor/topthink/think-orm/src/helper.php ( 1.47 KB )
  10. /yingpanguazai/ssd/ssd1/www/h.mffb.com.cn/vendor/topthink/think-orm/stubs/load_stubs.php ( 0.16 KB )
  11. /yingpanguazai/ssd/ssd1/www/h.mffb.com.cn/vendor/topthink/framework/src/think/Exception.php ( 1.69 KB )
  12. /yingpanguazai/ssd/ssd1/www/h.mffb.com.cn/vendor/topthink/think-container/src/Facade.php ( 2.71 KB )
  13. /yingpanguazai/ssd/ssd1/www/h.mffb.com.cn/vendor/symfony/deprecation-contracts/function.php ( 0.99 KB )
  14. /yingpanguazai/ssd/ssd1/www/h.mffb.com.cn/vendor/symfony/polyfill-mbstring/bootstrap.php ( 8.26 KB )
  15. /yingpanguazai/ssd/ssd1/www/h.mffb.com.cn/vendor/symfony/polyfill-mbstring/bootstrap80.php ( 9.78 KB )
  16. /yingpanguazai/ssd/ssd1/www/h.mffb.com.cn/vendor/symfony/var-dumper/Resources/functions/dump.php ( 1.49 KB )
  17. /yingpanguazai/ssd/ssd1/www/h.mffb.com.cn/vendor/topthink/think-dumper/src/helper.php ( 0.18 KB )
  18. /yingpanguazai/ssd/ssd1/www/h.mffb.com.cn/vendor/symfony/var-dumper/VarDumper.php ( 4.30 KB )
  19. /yingpanguazai/ssd/ssd1/www/h.mffb.com.cn/vendor/topthink/framework/src/think/App.php ( 15.30 KB )
  20. /yingpanguazai/ssd/ssd1/www/h.mffb.com.cn/vendor/topthink/think-container/src/Container.php ( 15.76 KB )
  21. /yingpanguazai/ssd/ssd1/www/h.mffb.com.cn/vendor/psr/container/src/ContainerInterface.php ( 1.02 KB )
  22. /yingpanguazai/ssd/ssd1/www/h.mffb.com.cn/app/provider.php ( 0.19 KB )
  23. /yingpanguazai/ssd/ssd1/www/h.mffb.com.cn/vendor/topthink/framework/src/think/Http.php ( 6.04 KB )
  24. /yingpanguazai/ssd/ssd1/www/h.mffb.com.cn/vendor/topthink/think-helper/src/helper/Str.php ( 7.29 KB )
  25. /yingpanguazai/ssd/ssd1/www/h.mffb.com.cn/vendor/topthink/framework/src/think/Env.php ( 4.68 KB )
  26. /yingpanguazai/ssd/ssd1/www/h.mffb.com.cn/app/common.php ( 0.03 KB )
  27. /yingpanguazai/ssd/ssd1/www/h.mffb.com.cn/vendor/topthink/framework/src/helper.php ( 18.78 KB )
  28. /yingpanguazai/ssd/ssd1/www/h.mffb.com.cn/vendor/topthink/framework/src/think/Config.php ( 5.54 KB )
  29. /yingpanguazai/ssd/ssd1/www/h.mffb.com.cn/config/app.php ( 0.95 KB )
  30. /yingpanguazai/ssd/ssd1/www/h.mffb.com.cn/config/cache.php ( 0.78 KB )
  31. /yingpanguazai/ssd/ssd1/www/h.mffb.com.cn/config/console.php ( 0.23 KB )
  32. /yingpanguazai/ssd/ssd1/www/h.mffb.com.cn/config/cookie.php ( 0.56 KB )
  33. /yingpanguazai/ssd/ssd1/www/h.mffb.com.cn/config/database.php ( 2.48 KB )
  34. /yingpanguazai/ssd/ssd1/www/h.mffb.com.cn/vendor/topthink/framework/src/think/facade/Env.php ( 1.67 KB )
  35. /yingpanguazai/ssd/ssd1/www/h.mffb.com.cn/config/filesystem.php ( 0.61 KB )
  36. /yingpanguazai/ssd/ssd1/www/h.mffb.com.cn/config/lang.php ( 0.91 KB )
  37. /yingpanguazai/ssd/ssd1/www/h.mffb.com.cn/config/log.php ( 1.35 KB )
  38. /yingpanguazai/ssd/ssd1/www/h.mffb.com.cn/config/middleware.php ( 0.19 KB )
  39. /yingpanguazai/ssd/ssd1/www/h.mffb.com.cn/config/route.php ( 1.89 KB )
  40. /yingpanguazai/ssd/ssd1/www/h.mffb.com.cn/config/session.php ( 0.57 KB )
  41. /yingpanguazai/ssd/ssd1/www/h.mffb.com.cn/config/trace.php ( 0.34 KB )
  42. /yingpanguazai/ssd/ssd1/www/h.mffb.com.cn/config/view.php ( 0.82 KB )
  43. /yingpanguazai/ssd/ssd1/www/h.mffb.com.cn/app/event.php ( 0.25 KB )
  44. /yingpanguazai/ssd/ssd1/www/h.mffb.com.cn/vendor/topthink/framework/src/think/Event.php ( 7.67 KB )
  45. /yingpanguazai/ssd/ssd1/www/h.mffb.com.cn/app/service.php ( 0.13 KB )
  46. /yingpanguazai/ssd/ssd1/www/h.mffb.com.cn/app/AppService.php ( 0.26 KB )
  47. /yingpanguazai/ssd/ssd1/www/h.mffb.com.cn/vendor/topthink/framework/src/think/Service.php ( 1.64 KB )
  48. /yingpanguazai/ssd/ssd1/www/h.mffb.com.cn/vendor/topthink/framework/src/think/Lang.php ( 7.35 KB )
  49. /yingpanguazai/ssd/ssd1/www/h.mffb.com.cn/vendor/topthink/framework/src/lang/zh-cn.php ( 13.70 KB )
  50. /yingpanguazai/ssd/ssd1/www/h.mffb.com.cn/vendor/topthink/framework/src/think/initializer/Error.php ( 3.31 KB )
  51. /yingpanguazai/ssd/ssd1/www/h.mffb.com.cn/vendor/topthink/framework/src/think/initializer/RegisterService.php ( 1.33 KB )
  52. /yingpanguazai/ssd/ssd1/www/h.mffb.com.cn/vendor/services.php ( 0.14 KB )
  53. /yingpanguazai/ssd/ssd1/www/h.mffb.com.cn/vendor/topthink/framework/src/think/service/PaginatorService.php ( 1.52 KB )
  54. /yingpanguazai/ssd/ssd1/www/h.mffb.com.cn/vendor/topthink/framework/src/think/service/ValidateService.php ( 0.99 KB )
  55. /yingpanguazai/ssd/ssd1/www/h.mffb.com.cn/vendor/topthink/framework/src/think/service/ModelService.php ( 2.04 KB )
  56. /yingpanguazai/ssd/ssd1/www/h.mffb.com.cn/vendor/topthink/think-trace/src/Service.php ( 0.77 KB )
  57. /yingpanguazai/ssd/ssd1/www/h.mffb.com.cn/vendor/topthink/framework/src/think/Middleware.php ( 6.72 KB )
  58. /yingpanguazai/ssd/ssd1/www/h.mffb.com.cn/vendor/topthink/framework/src/think/initializer/BootService.php ( 0.77 KB )
  59. /yingpanguazai/ssd/ssd1/www/h.mffb.com.cn/vendor/topthink/think-orm/src/Paginator.php ( 11.86 KB )
  60. /yingpanguazai/ssd/ssd1/www/h.mffb.com.cn/vendor/topthink/think-validate/src/Validate.php ( 63.20 KB )
  61. /yingpanguazai/ssd/ssd1/www/h.mffb.com.cn/vendor/topthink/think-orm/src/Model.php ( 23.55 KB )
  62. /yingpanguazai/ssd/ssd1/www/h.mffb.com.cn/vendor/topthink/think-orm/src/model/concern/Attribute.php ( 21.05 KB )
  63. /yingpanguazai/ssd/ssd1/www/h.mffb.com.cn/vendor/topthink/think-orm/src/model/concern/AutoWriteData.php ( 4.21 KB )
  64. /yingpanguazai/ssd/ssd1/www/h.mffb.com.cn/vendor/topthink/think-orm/src/model/concern/Conversion.php ( 6.44 KB )
  65. /yingpanguazai/ssd/ssd1/www/h.mffb.com.cn/vendor/topthink/think-orm/src/model/concern/DbConnect.php ( 5.16 KB )
  66. /yingpanguazai/ssd/ssd1/www/h.mffb.com.cn/vendor/topthink/think-orm/src/model/concern/ModelEvent.php ( 2.33 KB )
  67. /yingpanguazai/ssd/ssd1/www/h.mffb.com.cn/vendor/topthink/think-orm/src/model/concern/RelationShip.php ( 28.29 KB )
  68. /yingpanguazai/ssd/ssd1/www/h.mffb.com.cn/vendor/topthink/think-helper/src/contract/Arrayable.php ( 0.09 KB )
  69. /yingpanguazai/ssd/ssd1/www/h.mffb.com.cn/vendor/topthink/think-helper/src/contract/Jsonable.php ( 0.13 KB )
  70. /yingpanguazai/ssd/ssd1/www/h.mffb.com.cn/vendor/topthink/think-orm/src/model/contract/Modelable.php ( 0.09 KB )
  71. /yingpanguazai/ssd/ssd1/www/h.mffb.com.cn/vendor/topthink/framework/src/think/Db.php ( 2.88 KB )
  72. /yingpanguazai/ssd/ssd1/www/h.mffb.com.cn/vendor/topthink/think-orm/src/DbManager.php ( 8.52 KB )
  73. /yingpanguazai/ssd/ssd1/www/h.mffb.com.cn/vendor/topthink/framework/src/think/Log.php ( 6.28 KB )
  74. /yingpanguazai/ssd/ssd1/www/h.mffb.com.cn/vendor/topthink/framework/src/think/Manager.php ( 3.92 KB )
  75. /yingpanguazai/ssd/ssd1/www/h.mffb.com.cn/vendor/psr/log/src/LoggerTrait.php ( 2.69 KB )
  76. /yingpanguazai/ssd/ssd1/www/h.mffb.com.cn/vendor/psr/log/src/LoggerInterface.php ( 2.71 KB )
  77. /yingpanguazai/ssd/ssd1/www/h.mffb.com.cn/vendor/topthink/framework/src/think/Cache.php ( 4.92 KB )
  78. /yingpanguazai/ssd/ssd1/www/h.mffb.com.cn/vendor/psr/simple-cache/src/CacheInterface.php ( 4.71 KB )
  79. /yingpanguazai/ssd/ssd1/www/h.mffb.com.cn/vendor/topthink/think-helper/src/helper/Arr.php ( 16.63 KB )
  80. /yingpanguazai/ssd/ssd1/www/h.mffb.com.cn/vendor/topthink/framework/src/think/cache/driver/File.php ( 7.84 KB )
  81. /yingpanguazai/ssd/ssd1/www/h.mffb.com.cn/vendor/topthink/framework/src/think/cache/Driver.php ( 9.03 KB )
  82. /yingpanguazai/ssd/ssd1/www/h.mffb.com.cn/vendor/topthink/framework/src/think/contract/CacheHandlerInterface.php ( 1.99 KB )
  83. /yingpanguazai/ssd/ssd1/www/h.mffb.com.cn/app/Request.php ( 0.09 KB )
  84. /yingpanguazai/ssd/ssd1/www/h.mffb.com.cn/vendor/topthink/framework/src/think/Request.php ( 55.78 KB )
  85. /yingpanguazai/ssd/ssd1/www/h.mffb.com.cn/app/middleware.php ( 0.25 KB )
  86. /yingpanguazai/ssd/ssd1/www/h.mffb.com.cn/vendor/topthink/framework/src/think/Pipeline.php ( 2.61 KB )
  87. /yingpanguazai/ssd/ssd1/www/h.mffb.com.cn/vendor/topthink/think-trace/src/TraceDebug.php ( 3.40 KB )
  88. /yingpanguazai/ssd/ssd1/www/h.mffb.com.cn/vendor/topthink/framework/src/think/middleware/SessionInit.php ( 1.94 KB )
  89. /yingpanguazai/ssd/ssd1/www/h.mffb.com.cn/vendor/topthink/framework/src/think/Session.php ( 1.80 KB )
  90. /yingpanguazai/ssd/ssd1/www/h.mffb.com.cn/vendor/topthink/framework/src/think/session/driver/File.php ( 6.27 KB )
  91. /yingpanguazai/ssd/ssd1/www/h.mffb.com.cn/vendor/topthink/framework/src/think/contract/SessionHandlerInterface.php ( 0.87 KB )
  92. /yingpanguazai/ssd/ssd1/www/h.mffb.com.cn/vendor/topthink/framework/src/think/session/Store.php ( 7.12 KB )
  93. /yingpanguazai/ssd/ssd1/www/h.mffb.com.cn/vendor/topthink/framework/src/think/Route.php ( 23.73 KB )
  94. /yingpanguazai/ssd/ssd1/www/h.mffb.com.cn/vendor/topthink/framework/src/think/route/RuleName.php ( 5.75 KB )
  95. /yingpanguazai/ssd/ssd1/www/h.mffb.com.cn/vendor/topthink/framework/src/think/route/Domain.php ( 2.53 KB )
  96. /yingpanguazai/ssd/ssd1/www/h.mffb.com.cn/vendor/topthink/framework/src/think/route/RuleGroup.php ( 22.43 KB )
  97. /yingpanguazai/ssd/ssd1/www/h.mffb.com.cn/vendor/topthink/framework/src/think/route/Rule.php ( 26.95 KB )
  98. /yingpanguazai/ssd/ssd1/www/h.mffb.com.cn/vendor/topthink/framework/src/think/route/RuleItem.php ( 9.78 KB )
  99. /yingpanguazai/ssd/ssd1/www/h.mffb.com.cn/route/app.php ( 1.72 KB )
  100. /yingpanguazai/ssd/ssd1/www/h.mffb.com.cn/vendor/topthink/framework/src/think/facade/Route.php ( 4.70 KB )
  101. /yingpanguazai/ssd/ssd1/www/h.mffb.com.cn/vendor/topthink/framework/src/think/route/dispatch/Controller.php ( 4.74 KB )
  102. /yingpanguazai/ssd/ssd1/www/h.mffb.com.cn/vendor/topthink/framework/src/think/route/Dispatch.php ( 10.44 KB )
  103. /yingpanguazai/ssd/ssd1/www/h.mffb.com.cn/app/controller/Index.php ( 4.81 KB )
  104. /yingpanguazai/ssd/ssd1/www/h.mffb.com.cn/app/BaseController.php ( 2.05 KB )
  105. /yingpanguazai/ssd/ssd1/www/h.mffb.com.cn/vendor/topthink/think-orm/src/facade/Db.php ( 0.93 KB )
  106. /yingpanguazai/ssd/ssd1/www/h.mffb.com.cn/vendor/topthink/think-orm/src/db/connector/Mysql.php ( 5.44 KB )
  107. /yingpanguazai/ssd/ssd1/www/h.mffb.com.cn/vendor/topthink/think-orm/src/db/PDOConnection.php ( 52.47 KB )
  108. /yingpanguazai/ssd/ssd1/www/h.mffb.com.cn/vendor/topthink/think-orm/src/db/Connection.php ( 8.39 KB )
  109. /yingpanguazai/ssd/ssd1/www/h.mffb.com.cn/vendor/topthink/think-orm/src/db/ConnectionInterface.php ( 4.57 KB )
  110. /yingpanguazai/ssd/ssd1/www/h.mffb.com.cn/vendor/topthink/think-orm/src/db/builder/Mysql.php ( 16.58 KB )
  111. /yingpanguazai/ssd/ssd1/www/h.mffb.com.cn/vendor/topthink/think-orm/src/db/Builder.php ( 24.06 KB )
  112. /yingpanguazai/ssd/ssd1/www/h.mffb.com.cn/vendor/topthink/think-orm/src/db/BaseBuilder.php ( 27.50 KB )
  113. /yingpanguazai/ssd/ssd1/www/h.mffb.com.cn/vendor/topthink/think-orm/src/db/Query.php ( 15.71 KB )
  114. /yingpanguazai/ssd/ssd1/www/h.mffb.com.cn/vendor/topthink/think-orm/src/db/BaseQuery.php ( 45.13 KB )
  115. /yingpanguazai/ssd/ssd1/www/h.mffb.com.cn/vendor/topthink/think-orm/src/db/concern/TimeFieldQuery.php ( 7.43 KB )
  116. /yingpanguazai/ssd/ssd1/www/h.mffb.com.cn/vendor/topthink/think-orm/src/db/concern/AggregateQuery.php ( 3.26 KB )
  117. /yingpanguazai/ssd/ssd1/www/h.mffb.com.cn/vendor/topthink/think-orm/src/db/concern/ModelRelationQuery.php ( 20.07 KB )
  118. /yingpanguazai/ssd/ssd1/www/h.mffb.com.cn/vendor/topthink/think-orm/src/db/concern/ParamsBind.php ( 3.66 KB )
  119. /yingpanguazai/ssd/ssd1/www/h.mffb.com.cn/vendor/topthink/think-orm/src/db/concern/ResultOperation.php ( 7.01 KB )
  120. /yingpanguazai/ssd/ssd1/www/h.mffb.com.cn/vendor/topthink/think-orm/src/db/concern/WhereQuery.php ( 19.37 KB )
  121. /yingpanguazai/ssd/ssd1/www/h.mffb.com.cn/vendor/topthink/think-orm/src/db/concern/JoinAndViewQuery.php ( 7.11 KB )
  122. /yingpanguazai/ssd/ssd1/www/h.mffb.com.cn/vendor/topthink/think-orm/src/db/concern/TableFieldInfo.php ( 2.63 KB )
  123. /yingpanguazai/ssd/ssd1/www/h.mffb.com.cn/vendor/topthink/think-orm/src/db/concern/Transaction.php ( 2.77 KB )
  124. /yingpanguazai/ssd/ssd1/www/h.mffb.com.cn/vendor/topthink/framework/src/think/log/driver/File.php ( 5.96 KB )
  125. /yingpanguazai/ssd/ssd1/www/h.mffb.com.cn/vendor/topthink/framework/src/think/contract/LogHandlerInterface.php ( 0.86 KB )
  126. /yingpanguazai/ssd/ssd1/www/h.mffb.com.cn/vendor/topthink/framework/src/think/log/Channel.php ( 3.89 KB )
  127. /yingpanguazai/ssd/ssd1/www/h.mffb.com.cn/vendor/topthink/framework/src/think/event/LogRecord.php ( 1.02 KB )
  128. /yingpanguazai/ssd/ssd1/www/h.mffb.com.cn/vendor/topthink/think-helper/src/Collection.php ( 16.47 KB )
  129. /yingpanguazai/ssd/ssd1/www/h.mffb.com.cn/vendor/topthink/framework/src/think/facade/View.php ( 1.70 KB )
  130. /yingpanguazai/ssd/ssd1/www/h.mffb.com.cn/vendor/topthink/framework/src/think/View.php ( 4.39 KB )
  131. /yingpanguazai/ssd/ssd1/www/h.mffb.com.cn/vendor/topthink/framework/src/think/Response.php ( 8.81 KB )
  132. /yingpanguazai/ssd/ssd1/www/h.mffb.com.cn/vendor/topthink/framework/src/think/response/View.php ( 3.29 KB )
  133. /yingpanguazai/ssd/ssd1/www/h.mffb.com.cn/vendor/topthink/framework/src/think/Cookie.php ( 6.06 KB )
  134. /yingpanguazai/ssd/ssd1/www/h.mffb.com.cn/vendor/topthink/think-view/src/Think.php ( 8.38 KB )
  135. /yingpanguazai/ssd/ssd1/www/h.mffb.com.cn/vendor/topthink/framework/src/think/contract/TemplateHandlerInterface.php ( 1.60 KB )
  136. /yingpanguazai/ssd/ssd1/www/h.mffb.com.cn/vendor/topthink/think-template/src/Template.php ( 46.61 KB )
  137. /yingpanguazai/ssd/ssd1/www/h.mffb.com.cn/vendor/topthink/think-template/src/template/driver/File.php ( 2.41 KB )
  138. /yingpanguazai/ssd/ssd1/www/h.mffb.com.cn/vendor/topthink/think-template/src/template/contract/DriverInterface.php ( 0.86 KB )
  139. /yingpanguazai/ssd/ssd1/www/h.mffb.com.cn/runtime/temp/32b793ebdcbdb96aeb8bb24c123b0bef.php ( 11.98 KB )
  140. /yingpanguazai/ssd/ssd1/www/h.mffb.com.cn/vendor/topthink/think-trace/src/Html.php ( 4.42 KB )
  1. CONNECT:[ UseTime:0.000450s ] mysql:host=127.0.0.1;port=3306;dbname=h_mffb;charset=utf8mb4
  2. SHOW FULL COLUMNS FROM `fenlei` [ RunTime:0.000596s ]
  3. SELECT * FROM `fenlei` WHERE `fid` = 0 [ RunTime:0.000331s ]
  4. SELECT * FROM `fenlei` WHERE `fid` = 63 [ RunTime:0.000430s ]
  5. SHOW FULL COLUMNS FROM `set` [ RunTime:0.000494s ]
  6. SELECT * FROM `set` [ RunTime:0.000291s ]
  7. SHOW FULL COLUMNS FROM `article` [ RunTime:0.000719s ]
  8. SELECT * FROM `article` WHERE `id` = 486880 LIMIT 1 [ RunTime:0.000538s ]
  9. UPDATE `article` SET `lasttime` = 1776488651 WHERE `id` = 486880 [ RunTime:0.005306s ]
  10. SELECT * FROM `fenlei` WHERE `id` = 64 LIMIT 1 [ RunTime:0.000312s ]
  11. SELECT * FROM `article` WHERE `id` < 486880 ORDER BY `id` DESC LIMIT 1 [ RunTime:0.000709s ]
  12. SELECT * FROM `article` WHERE `id` > 486880 ORDER BY `id` ASC LIMIT 1 [ RunTime:0.000556s ]
  13. SELECT * FROM `article` WHERE `id` < 486880 ORDER BY `id` DESC LIMIT 10 [ RunTime:0.001948s ]
  14. SELECT * FROM `article` WHERE `id` < 486880 ORDER BY `id` DESC LIMIT 10,10 [ RunTime:0.001684s ]
  15. SELECT * FROM `article` WHERE `id` < 486880 ORDER BY `id` DESC LIMIT 20,10 [ RunTime:0.001194s ]
0.085924s