当前位置:首页>农业>【视频解读】云南农业大学王雪峰教授等:不同pH值条件下制备的核桃自组装肽对姜黄素稳定性与生物可及性的影响

【视频解读】云南农业大学王雪峰教授等:不同pH值条件下制备的核桃自组装肽对姜黄素稳定性与生物可及性的影响

  • 2026-03-29 22:40:06
【视频解读】云南农业大学王雪峰教授等:不同pH值条件下制备的核桃自组装肽对姜黄素稳定性与生物可及性的影响
第一作者杜文星同学的讲解视频
扫左侧二维码可观看
该文章的视频解读

姜黄素(curcumin,Cur)具有抑菌、抗炎、抗氧化和抗癌等生物活性,但因其生物可及性低和水溶性差等缺点,限制了姜黄素在食品领域的应用,但通过生物分子封装技术能够有效提升姜黄素的生物利用率。云南农业大学的杜文星、庄倩、王增丽、史丽、王雪峰通过利用Cur的溶解特性和核桃肽的自组装特性,调节溶液的pH值(10、11、12)使核桃肽发生自组装的同时包埋Cur,形成稳定的核桃自组装肽-姜黄素(WBPs-Cur)纳米复合物。结果显示,在设定的pH值条件下WBPs对Cur的包埋率均在80%以上,包埋后Cur粒径增大,电位绝对值大于30 mV,且包埋后Cur有较好的稳定性,并判定Cur是通过氢键和疏水作用被包埋在WBPs中。WBPs-Cur纳米复合物(2 mg/mL)的DPPH、ABTS+、羟自由基清除率分别为(79.95±0.36)%、(77.81±2.14)%、(78.00±4.39)%,表明WBPs封装Cur使其抗氧化能力增强。同时,WBPs-Cur纳米复合物具有较好的储存稳定性和热稳定性;模拟胃肠道消化过程中,包埋的Cur与游离的Cur相比其生物可及性提高近1倍,达到了71.3%~74.6%。因此,WBPs可作为疏水性Cur的输送载体并有效改善Cur的稳定性及生物可及性。

核桃(Juglansregia L.),亦称胡桃或羌桃,隶属于胡桃科胡桃属,是全球公认的四大干果之一[1]。核桃营养丰富,其中优质蛋白质含量高达20%~25%[2]。核桃粕作为核桃油加工的主要副产品,其蛋白质含量同样可观,是一种极具潜力的食品加工原料。当前,核桃粕处理方式往往不尽如人意,或被直接丢弃,或被用作动物饲料,造成蛋白质资源的浪费。因此,如何高效利用核桃蛋白,逐渐受到研究者的广泛关注。

姜黄素(curcumin,Cur),作为一种多酚类物质,具有广泛的生理活性,包括抑菌性、抗炎、抗肿瘤和抗氧化等[3]。然而,由于溶解度低、稳定性差、生物可及性低等缺点,Cur在食品原料和功能性食品中的应用受到了一定限制[4]。当前研究集中于采用先进的封装技术来克服这些缺点。食品级纳米载体,如乳液[5]、脂质体[6]、微胶囊[7]和纳米颗粒[8]等,能够显著改善Cur的水分散性和稳定性。近年来,基于蛋白质/多肽的纳米载体(酪蛋白、大豆肽等)因其生物相容性和可降解性受到广泛关注[9]。然而这些载体实际应用中仍面临诸多挑战,如动物蛋白(乳蛋白等)可能会引发过敏反应,而多数植物肽需依赖化学交联或超声处理才能形成纳米颗粒,工艺复杂且可能破坏活性成分[10]。研究发现,核桃肽分子结构中富含的疏水氨基酸残基(亮氨酸、苯丙氨酸等)能够与疏水性功能成分(Cur等)形成特异性结合,且通过调节pH值可精准调控多肽的带电状态及分子间作用力,实现纳米结构的可控制备,同时可以实现活性成分的包封。自组装肽作为一类可在溶液中通过氢键、疏水等弱相互作用自发形成有序纳米结构(纤维、膜、胶束等)的短肽,其形态与光学特性对pH值等环境因子高度敏感,在递送体系中展现出潜力。现有研究大多集中于模型肽或少数特定来源肽,针对食品加工副产物,如核桃粕中提取的核桃肽及其在Cur递送中的应用尚未系统探索。

本研究拟选取核桃自组装肽(walnut self-assembled peptide, WBPs)为载体,利用pH诱导法包封Cur,制备新型的核桃自组装肽-姜黄素(WBPs-Cur)纳米复合物;借助内源性荧光光谱技术和红外光谱学手段,深入探究Cur与WBPs间的结合机理。通过评估不同pH值处理的WBPs-Cur纳米复合物的抗氧化活性,考察纳米复合物中Cur的稳定性,以及在模拟消化环境中Cur的行为特征。研究旨在建立一种化学交联剂使用少、能耗低的Cur包埋技术,希望为Cur在食品、营养补充剂及药物递送系统中的实际应用提供科学依据。

01

材料与方法

1.1 材料与试剂

Cur,上海国药试剂有限公司;核桃粕,云南摩尔农庄生物科技有限公司;盐酸(优质纯),重庆川东化工厂;氢氧化钠、过硫酸钾、硫酸亚铁、无水乙醇,均为分析纯,天津风船化学试剂科技有限公司;牛胆汁(分析纯),美国Sigma公司;胰蛋白酶(生物技术级),上海麦克林生化科技有限公司;复合蛋白酶(生物技术级),北京索莱宝公司;ABTS、过硫酸钾、硫酸亚铁,均为分析纯,上海阿拉丁生化科技有限公司;过氧化氢(分析纯),天津市北方天医化学有限公司;水杨酸(分析纯),美国Thermo公司。

1.2 仪器与设备

BCD-649WDGK型冰箱,青岛海尔股份有限公司;WT30002型电子天平,杭州万特衡器有限公司;PST-JY-80型超纯水机,深圳莱克有限公司;CR-100S型超声仪,深圳市春霖超声波科技有限公司;FA1004型电子天平,上海舜宇恒平科学仪器有限公司;Mixer-3000s型漩涡混匀仪,杭州茂丰仪器有限公司;NEST型96孔板UV紫外板,北京索莱宝科技有限公司;EPOCH2型酶标仪,美国伯腾仪器有限公司;78-2型磁力搅拌器,常州国华电器有限公司;马尔文Zetasizer Pro型Zeta电位分析仪,美国布鲁海文仪器公司;F-7000型荧光光谱,日本Hitachi公司;Nicolet Is10型傅里叶红外光谱,赛默飞世尔科技有限公司。

1.3 实验方法

1.3.1 核桃蛋白的提取

前期研究表明,核桃粕蛋白质含量约为84%,核桃蛋白水解度为22%左右,核桃蛋白肽分子质量为0~400、400~800、800~1 200、1 200~2 400 Da的分别有551、473、95、65条,复合蛋白酶酶解物的分子质量集中在1 000 Da以下。

参照Meng等[11]的方法,称取适量的核桃粕粉末,与去离子水按1∶15(g/mL)的配比混合。用1.0 mol/L NaOH将混合物的pH值调至9.0,在室温下磁力搅拌1 h后,用滤网过滤,并在4 ℃、4 000 r/min离心25 min。使用1.0 mol/L HCl将上清液的pH值调至4.5,在室温下静置2 h,4 ℃、4 000 r/min离心15 min。收集沉淀物,即核桃蛋白酶解产物。调节核桃蛋白酶解产物的pH值为7.0,冷冻干燥得到核桃分离蛋白。

1.3.2 核桃蛋白的酶解

将1∶10(g/mL)的核桃分离蛋白分散在去离子水中,用1.0 mol/L的NaOH溶液将pH值调至8。再添加质量分数2%的复合蛋白酶(碱性蛋白酶、风味蛋白酶)在55 ℃水浴锅中搅拌4 h至完全水解,期间pH值保持在8。酶解结束后,用沸水水浴15 min灭酶,然后将pH值调至7。4 ℃、4 000 r/min离心20 min,所得样品记为WBP,冷冻干燥并置于-20 ℃保存备用。

1.3.3 WBPs-Cur纳米复合物的制备

参考Du等[12]的方法并稍加修改。用蒸馏水配制10 mg/mL WBPs,25 ℃分散过夜,使其充分水合。然后逐步加入2 mol/L NaOH,将WBPs分散液的pH值由7分别调整为10、11、12。将不同pH值的样品在室温下磁力搅拌2 h(600 r/min)后,加入0.5 mg/mL Cur继续搅拌2 h,将分散液中和至pH值为7,然后在4 ℃、4 000 r/min 离心20 min以去除不溶物。得到的上清液为WBPs-Cur,在4 ℃下储存或冻干后用于后续检测。

1.3.4 Cur标准曲线的测定

称量25 mg的Cur溶于无水乙醇。随后转移至250 mL的容量瓶内,并用无水乙醇定容,得到了质量浓度为100 mg/mL的基础储备液。从基础储备液中分别提取2、3、4、5、6 mL,注入至100 mL的容量瓶中,无水乙醇定容,配置质量浓度为2、3、4、5、6 μg/mL的标准溶液。在光谱分析时,选定无水正己醇充任空白校正值,于波长426 nm下测定各溶液的吸光度。以吸光度(A)为垂直轴变量,溶液质量浓度(ρ,μg/mL)为水平轴变量,以此确保数据分析的科学性和准确性。测得Cur的标准曲线方程为y=50.833x+0.014 6(R2=0.999 5)。

1.3.5 Cur包埋率的测定

吸取一定体积的WBPs-Cur溶液于离心管中,加入5倍体积的无水乙醇,以更好地萃取Cur。涡旋器充分混匀后离心(4 000 r/min、20 min),小心收取上层清液,并适当稀释于无水乙醇中,随即在420 nm波长下测定吸光度。选用无水乙醇作为吸光度测定的空白对照。对照组以去离子水替代无水乙醇作为吸光度测试的空白参照物,以确保数据的准确性与可比性。包埋率计算见式(1)。

(1)

式(1)中,m为上清液中Cur质量,g;m0为Cur初始质量,g。

1.3.6 WBPs-Cur纳米复合物的结构表征

1.3.6.1 粒径、PDI和Zeta电位测定

采用Fan等[13]的方法分析WBPs-Cur纳米复合物的粒径、PDI和Zeta电位。测量温度为25 ℃、散射角为90°、平衡时间为120 s的条件下测定,每个样品至少测量3次,结果取平均值。

1.3.6.2 荧光光谱的测定

利用内源荧光光谱法研究pH诱导对蛋白质三级结构的影响。蛋白质用蒸馏水稀释5倍后,使用荧光分光光度计进行检测。仪器设定为Wavelength scan模式、激发波长300 nm、发射波长扫描范围300~500 nm、狭缝宽度5 nm。

1.3.6.3 红外光谱的测定

按照1∶100的质量比,将冻干的WBPs-Cur粉末样品与溴化钾混合,制成片剂进行测量,扫描波数为400~4 000 cm-1

1.3.7 WBPs-Cur纳米复合物的抗氧化活性测定

1.3.7.1 DPPH自由基清除能力的测定

参考Dong等[14]的方法,将0.1 mmol/L DPPH自由基溶液与不同pH值的WBPs-Cur纳米复合物溶液以体积比1∶1混合,25 ℃充分振荡避光孵育30 min。于517 nm波长处测定吸光度,WBPs-Cur纳米复合物的DPPH自由基清除率计算见式(2)。

(2)

式(2)中,Ai为混合液的吸光度;A0为用蒸馏水替代样液测得的吸光度;Aj为用无水乙醇替代DPPH溶液测得的吸光度。

1.3.7.2 ABTS+自由基清除能力的测定

参考Dong等[14]的方法,配制含有7 mmol/L ABTS和2.45 mmol/L K2S2O8的ABTS试剂,在室温下反应12~16 h,在734 nm处用水稀释至吸光度为0.700±0.005。将0.1 mL不同pH值的WBPs-Cur纳米复合物溶液和3.9 mL ABTS+自由基工作溶液混合后,充分振荡。在25 ℃避光反应6 min后,于734 nm处测定吸光度,WBPs-Cur纳米复合物的ABTS+自由基清除率计算见式(3)。

(3)

式(3)中,Ai为混合液的吸光度;A0为无水乙醇做空白对照测得的吸光度。

1.3.7.3 羟自由基清除能力的测定

参考Dong等[14]的方法,在10 mL试管中加入2 mL不同pH值的WBPs-Cur纳米复合物溶液,再向试管中加入2 mL H2O2溶液(6 mmol/L)和2 mL FeSO4(6 mmol/L),并充分摇匀,将混合物在避光处反应30 min。最后,向试管中加入2 mL新制的水杨酸溶液(6 mmol/L),充分混匀,25 ℃下反应10 min,于510 nm处测定吸光度,WBPs-Cur纳米复合物的羟自由基清除率计算见式(4)。

(4)

式(4)中,Ai为混合液的吸光度;A0为用蒸馏水代替样液测得的吸光度;Aj为用蒸馏水代替水杨酸溶液测得的吸光度。

1.3.8 WBPs-Cur纳米复合物稳定性测定

1.3.8.1 储存稳定性测定

通过测量4、25 ℃避光储存期间的Cur的保留量来评估制备的纳米复合物的稳定性。Cur的保留率计算见式(5)。

(5)

式(5)中,N为处理后WBPs-Cur纳米复合物样液中Cur的包埋率;N0为处理前WBPs-Cur纳米复合物样液中Cur的包埋率。

1.3.8.2 热稳定性测定

将WBPs-Cur纳米复合物分散体置于透明玻璃瓶中,并在65、75、85、95 ℃水浴中加热30 min后,使用冰水将加热的样品立即冷却至25 ℃。按1.3.8.1节方法测定Cur的保留量。

1.3.8.3 胃肠消化稳定性测定

根据Liovi'[15]的方法进行体外模拟消化。将10 mL新鲜制备的WBPs-Cur纳米复合物样液与40 mL HCl溶液(0.1 mol/L、pH值为1.5)混合,并用4 mol/L HCl溶液将pH值调至1.5,然后将样品置于37 ℃恒温水浴中孵育10 min。随后加入10 mg胃蛋白酶,保温60 min。在完成胃蛋白酶消化后,用4 mol/L NaOH溶液将pH值调为7.0,随后向体系中加入250 mg胆汁提取物,确保充分混匀后,对混合体系进行10 min的温育处理,然后再添加10 mg胰蛋白酶,并延续孵育过程达180 min,最后将消化液离心(10 000 r/min)20 min后测定上清液中的Cur质量浓度。生物可及性计算见式(6)。

(6)

式(6)中,ρ表示上清液中Cur质量浓度,mg/mL;ρ0表示溶液中总的Cur质量浓度,mg/mL。

1.4 数据处理

所有定量分析至少重复进行3次。使用SPSS 13.0专业统计软件进行数据处理及统计分析。图形绘制利用Origin 2024、GrapHpad Prism 10、PeakFit 4.12绘图软件,以便直观、精确地展现实验数据及其趋势。ns为没有显著性,*为P<0.05,**为P<0.01,***为P<0.001,****为P<0.000 1。

02

结果与分析

2.1 不同pH值条件下制备的WBPs的Cur包埋率分析

利用pH值诱导的自组装技术,有效实现了WBPs-Cur纳米复合材料的绿色合成。将WBPs溶液的pH值调至10、11、12,使WBPs解离并使Cur充分质子化,进而提高Cur的溶解度,然后再将pH值调至7,使核桃肽自组装的同时,封装Cur。不同pH值制备的WBPs对Cur的包埋率见图1。由图1可知,Cur在不同pH值(10、11、12)的WBPs载体中,包埋率随pH值的增大而显著降低(P<0.05),包埋率分别为(86.29±0.42)%、(84.59±0.23)%、(83.67±0.21)%。这可能是因为pH值会影响WBPs的解离和重组行为,从而影响其对Cur的包埋效果。Cur为疏水性多酚,可通过疏水作用与WBPs发生反应,疏水性Cur优先分布于WBPs的疏水区域内。不同pH值诱导的WBPs-Cur纳米复合物具有不同的微观结构,导致其不同pH值的包埋率有所差异。研究结果表明,采用pH诱导的WBPs包埋技术可以成功包埋Cur。

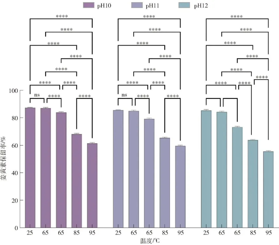
*为P<0.05, ***为P<0.001,****为P<0.000 1。

图1 不同pH值条件下制备的WBPs对Cur包埋率的影响

Fig.1 Embedding efficiency of Cur by WBPs prepared under different pH

2.2 WBPs-Cur纳米复合物结构表征分析

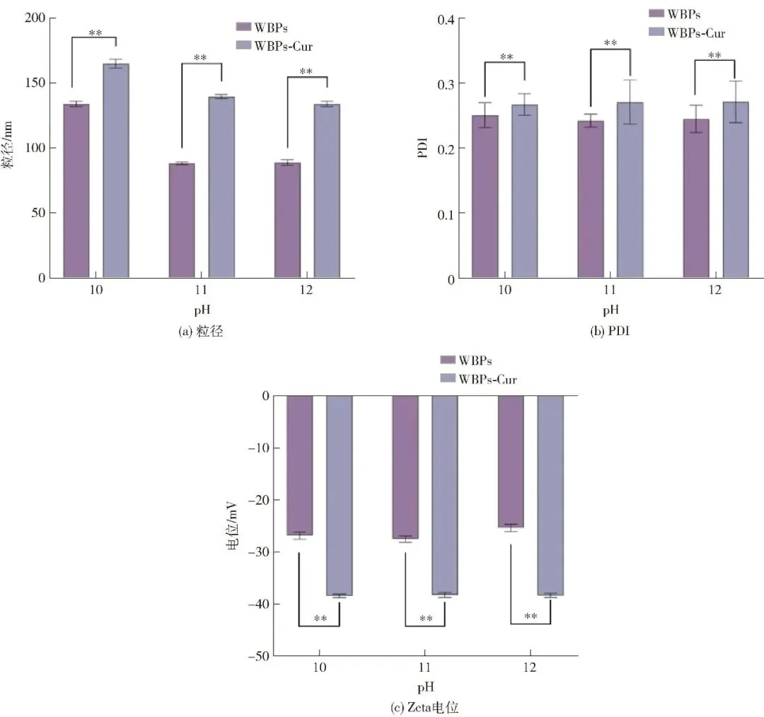
2.2.1 不同pH值诱导的WBPs、WBPs-Cur纳米复合物的粒径、多分散指数分布和Zeta电位分析

pH诱导的样品粒径、PDI分布和Zeta电位如图2。由图2可知,随着pH值的增加WBPs粒径逐渐减小,这可能是由于pH值的增加使解离程度增加,大肽聚集体分解和解离为小肽。包埋后的平均粒径均增大,可能是因为在碱性环境下,Cur以非结晶态的形式存在,通过疏水作用与解离的蛋白或亚基结合。而随着pH值的增加,WBPs-Cur纳米复合物粒径逐渐减小,可能是pH值增大破坏了蛋白质的相互作用,从而减小了纳米复合物的粒径[16]。PDI用于描述聚合物分子质量分布的宽窄,PDI越小,表示聚合物分子质量的分布越窄,即分子质量越均匀。包埋Cur的PDI在0.2~0.3,说明溶液分散性较好。水相中胶体稳定性的判定界限值设定为±30 mV,当Zeta电位的绝对值大于30 mV时,胶体体系处于稳定状态。由图2可知,不同pH值的WBPs-Cur纳米复合物的绝对Zeta电位明显大于WBPs的,这可能是因为埋藏在内部的带电氨基酸的—COOH 和—NH2基团更多地暴露在蛋白质表面[17]。此外,在设定的pH值环境下,WBPs-Cur纳米复合物Zeta电位的绝对值都大于30 mV,进一步说明了WBPs-Cur纳米复合物稳定性较好。

**为P<0.01。

图2 不同pH值条件下WBPs-Cur、WBPs的粒径、PDI与Zeta电位分布

Fig.2 Particle size, PDI and Zeta potential distribution of WBPs-Cur and WBPs under different pH

2.2.2 荧光光谱分析

在设定的3种不同pH值(10、11、12)环境下,研究了不同pH值对包埋前后Cur的影响(图3)。蛋白质内在的荧光现象主要归因于某些疏水性氨基酸残基,特别是色氨酸和酪氨酸残基,它们是分析蛋白质结构特征时最为常用的荧光探针[18]。当蛋白质所处微观环境的极性状态发生改变时,固有的荧光光谱特性会相应地受到该环境极性变化的直接影响,这种影响既可能表现为最大荧光发射波长的位移,也可能导致蛋白质荧光的减弱乃至猝灭。

图3 不同pH值时包埋前后Cur的荧光光谱

Fig.3 Fluorescence spectra of Cur before and after encapsulation at different pH

由图3可知,包埋前后样品内源荧光光谱呈单峰正态分布,最大荧光强度都位于330~350 nm,说明色氨酸所处的微环境具有较高的疏水性[18]。包埋前后样品的内源荧光光谱呈现相同的变化趋势,且包埋后样品的最大荧光强度低于包埋前,最大荧光发射波长出现蓝移。这是典型的荧光猝灭现象,代表着色氨酸所在微环境的相对疏水性增加[19],间接说明Cur与蛋白质之间通过疏水相互作用结合。在未包埋Cur的情况下,最大荧光强度随pH值增大而增加,这可能是由于在β-转角的作用下,WBPs表面存在亲水基团,导致多肽侧链发生反向折叠,形成壳结构,引导WBPs形成外部亲水、内部疏水的核壳结构[20]。包埋Cur后,随着pH值增大表现出红移和荧光猝灭现象,这可能是由于在高pH值下,WBPs中原有的紧密结构丧失,导致色氨酸残基暴露于极性更强的环境中,色氨酸的微环境更加亲水[21]

2.2.3 红外光谱分析

本研究测定了不同pH值诱导的WBP-Cur纳米复合物的红外光谱,以进一步探究其分子间的相互作用,结果见图4。由图4可知,所有样品在3 500~3 200 cm-1有较宽的吸收峰,是O—H和N—H的伸缩振动,表明存在分子间和分子内氢键。且随着pH值的改变,WBPs-纳米复合物酰胺Ⅰ(1 600~1 700 cm-1)和酰胺Ⅱ(1 500~1 600 cm-1)峰在红外光谱中发生波动,表明存在静电相互作用。

图4 不同pH值时WBPs-Cur红外光谱及其拟合分析

Fig.4 Infrared spectra of WBPs-Cur and their fitting analysis at different pH

使用PeakFit 4.12软件对酰胺Ⅰ带(1 700~1 600 cm-1)进行基线校正、二阶导数和平滑,并结合曲线拟合计算WBPs-Cur中蛋白质的二级结构。WBPs-Cur蛋白红外光谱二级结构分析如表1。蛋白质以β-转角和β-折叠结构为主;β-转角和 β-折叠中含有较多的氢键,能形成较为有序、规则的结构。随着溶液pH值的不断增加,α-螺旋结构增加;α-螺旋结构通过主链间规则的氢键维持,其含量增加表明复合物内部结构更加稳定,尤其在pH值变化时,复合物抗变性能更强。制备过程中,pH诱导处理破坏了蛋白质分子之间的氢键,导致α-螺旋、β-转角和β-折叠结构显著变化,这说明不同pH处理WBPs-Cur的过程中,蛋白质的二级结构发生了变化,也表明Cur还可通过氢键和静电相互作用被包裹于递送体系内部。

表1 WBPs-Cur蛋白二级结构分析

Tab.1 Secondary structure analysis of WBPs-Cur protein

2.3 WBPs-Cur纳米复合物的抗氧化活性分析

不同pH值时WBPs-Cur纳米复合物的抗氧化活性见图5。由图5可知,在溶液pH值为10、11、12时,WBPs-Cur纳米复合物(2 mg/mL)的DPPH自由基清除能力分别为(79.95±0.36)%、(79.68±2.18)%和(78.31±2.58)%。相同条件下,DPPH自由基清除能力随pH值的增加而降低,但变化不大。当pH值增大时游离Cur增加,由于缺乏屏障保护,导致保留率低,因此清除DPPH自由基的能力大大降低。相应地,Cur包埋后清除DPPH自由基的能力增强[22]。DPPH自由基清除能力与不同pH值下Cur包埋率成正比。Cur分子中的酚羟基和亚甲基提供的H+使ABTS+自由基清除率较高[22]。通过测定添加抗氧化剂后ABTS+自由基溶液在734 nm处吸光度的变化,可以有效评估复合物与ABTS+自由基之间相互作用的强度[23]。由图5可知,溶液pH值为10时,ABTS+自由基清除率为(77.81±2.14)%。随着pH值的增加,ABTS+自由基清除率逐渐降低,这可能是因为Cur虽然被包埋,但当ABTS+自由基存在时,Cur仍能发挥自由基清除作用[22]。图5显示了WBPs-Cur在设定的pH值范围内,复合物的羟自由基清除率随着pH值的增加而减小,这可能与羟自由基清除率受酸性氨基酸侧链中羟基和氨基的影响有关[24]。当溶液pH值为10时,羟自由基清除率为(78.00±4.39)%。核桃肽中氨基酸组成主要为谷氨酸,且谷氨酸为酸性氨基酸,当pH值逐渐增大时,谷氨酸中的羟基和氨基解离,使得羟自由基清除率降低。

ns为没有显著性,*为P<0.05,**为P<0.01。

图5 不同pH值时WBPs-Cur的抗氧化能力

Fig.5 Antioxidant activity of WBPs-Cur at different pH

2.4 WBPs-Cur纳米复合物稳定性分析

2.4.1 热稳定性分析

Cur分子表现出高度的化学不稳定性,高温会促进其降解[5] 。仅30 min的温水储存即可导致Cur结构显著降解,损耗比例可高达90%[25],但通过包埋技术可以有效提高Cur的稳定性。任杰等[26]测定了游离Cur在不同温度下加热30 min后的保留率,结果表明,游离Cur在温度为75、85 ℃时的保留率均低于60%, 95 ℃时的保留率低于50%。WBPs-Cur纳米复合物在65、75、85、95 ℃的热稳定性如图6。由图6可知,不同温度加热30 min后,Cur保留率随温度升高而降低,温度升高加速了Cur的降解, 65 ℃时Cur保留率较高。65、75、85 ℃时,Cur保留率均在60%以上; 95 ℃时,Cur保留率在55%以上。这可能归因于,Cur在疏水环境中的降解速度低于亲水环境[5],而Cur被包埋于WBPs后,处于更疏水的环境中,且WBPs的活性基团可通过疏水相互作用在制备的纳米复合物中发挥一定的保护作用,因此,包埋于WBPs中的Cur具有较高的热稳定性。在不同温度条件下,随着pH值的增加,Cur保留率呈降低趋势。由图1可知,pH值的增加会导致 WBPs 对Cur的包埋率下降;当pH值增大时,游离Cur由于缺乏屏障保护,导致其保留率降低。在热处理条件下,WBPs可以有效地保护其所包裹的Cur,提高WBPs-Cur纳米复合物的热稳定性。

ns为没有显著性,****为P<0.000 1。

图6 不同pH条件下WBPs-Cur的热稳定性

Fig.6 Thermal stability of WBPs-Cur under different pH

2.4.2 储藏稳定性分析

WBPs-Cur纳米复合物的储藏稳定性至关重要,直接影响其功能活性、生物利用度及实际应用价值。WBPs-Cur纳米复合物的储藏稳定性见图7。刘晗[27]将游离Cur在溶液pH值为9,室温条件下处理6 h后,Cur被大量降解,只有15%的保留率。研究表明,随着温度的升高Cur的稳定性降低;且碱性条件下,pH值越大Cur的稳定性越低。由图7可知,4、25 ℃环境下分别储存15 d时,Cur的保留率逐渐降低,但降低的幅度较小;储存15 d后Cur保留率依旧较高,均在70%以上。Cur保留率逐渐降低,可能是由于储存期间的酶解作用和氧化损伤破坏了WBPs外壳,使Cur泄漏;而Cur保留率依旧较游离态高,可能是因为包埋后的Cur在水溶液中对化学降解具有一定的抗性[21]。25 ℃时Cur的保留率随时间延长而下降的幅度比4 ℃时大;这可能主要是因为储存温度的升高加速了酶解作用和氧化损伤。此外,随着pH值的增大,4、25 ℃时Cur保留率均呈降低趋势;这可能是因为随着pH值的增大, WBPs的解离和重组行为受到影响,Cur包埋率降低,进而导致Cur保留率呈降低趋势。

图7 不同pH条件下WBPs-Cur的储藏稳定性

Fig.7 Storage stability of WBPs-Cur under different pH

2.4.3 胃肠道消化稳定性分析

Cur在人体胃肠道的苛刻环境中易被分解,且在透过肠壁及肝脏前便开始被代谢,从而影响了Cur的生物可及性[28]。Cur在消化液中的溶解性与其生物可及性呈正相关,Cur在消化液中的含量越高说明其生物可及性越高[29]。图8呈现了在模拟消化环境条件下,游离Cur与WBPs-Cur中Cur保留比例随时间的动态变化。具体而言,在模拟胃部消化阶段,无论是游离形式的Cur还是WBPs-Cur,其在消化介质中的生物可及性均表现较低,为 6%~8%。在模拟肠道消化阶段,即从胃蛋白酶转移到胰蛋白酶作用下,游离Cur和WBPs-Cur中Cur的生物可及性增加,分别为30.2%~32.9%和 71.3%~74.6%,自组装成WBPs-Cur纳米复合物后,Cur的生物可及性几乎是游离Cur的2倍,这表明 WBPs-Cur可大大提高Cur的生物可及性。值得注意的是,在整个模拟消化过程中,WBPs-Cur没有利用的Cur大约为10%。这很可能是因为WBPs在酸性条件下变性,而变性蛋白具有较高的抗消化性,在一定程度上限制了模拟环境下酶对复合载体的酶解作用从而限制了Cur的释放。此外,也可能是因为断裂二硫键在设定的pH值下处理WBPs会暴露更多的疏水基团,使其与Cur之间存在更强的分子间相互作用,限制Cur的释放[30]。在小肠消化阶段的前10 min,所有样品的Cur释放速率均快速上升,这可能是因为肠液pH值升高,导致肽链羧基去质子化,静电斥力增大,载体结构松散;也有可能是肠液中的胆盐与肽竞争结合Cur,从而进一步促进Cur释放。将Cur包封在WBPs中可以显著提高其生物可及性和在消化液中的稳定性。

图8 体外消化过程中游离Cur和WBPs-Cur的Cur生物可及性变化

Fig.8 Changes in Cur bioaccessibility during invitro digestion of free Cur and WBPs-Cur

03

结 论

本研究系统探讨了核桃肽在构建高效递送载体中的应用潜力。研究选用核桃粕粉末为原料,借助复合酶酶促水解技术,成功制备了核桃肽。通过pH诱导自组装技术,旨在构建一个高效、稳定的WBPs-Cur纳米复合物。这种自组装过程仅需温和的pH调节(pH值为10~12),无须化学交联或复杂工艺,显著降低了制备成本与能耗。此外,核桃肽来源于低成本的农业副产品核桃粕,进一步提升了其产业化应用的经济可行性。研究结果表明,Cur通过疏水作用、氢键和静电相互作用包埋在WBPs中,溶液pH值为10、11、12时,Cur的包埋率均在80%以上,且包埋后的Cur粒径均增大,溶液分散性较好。不同pH值(10、11、12)条件下制备的WBPs-Cur纳米复合物的抗氧化活性均较好,有较高的储藏稳定性和热稳定性,且WBPs-Cur纳米复合物中Cur的生物可及性约是游离Cur的2倍。因此,通过pH诱导WBPs高效包埋Cur,开发Cur纳米复合物在功能性食品和营养补充剂领域具有一定的应用潜力,其优异的胃肠稳定性为Cur的精准递送提供了创新解决方案。

参考文献:略

引用格式:杜文星,庄倩,王增丽,等. 不同pH值条件下制备的核桃自组装肽对姜黄素稳定性与生物可及性的影响[J]. 食品科学技术学报,2025,43(6):164-174. DU Wenxing, ZHUANG Qian, WANG Zengli, et al. Effects of walnut self-assembled peptides prepared under different pH on stability and bioaccessibility of curcumin[J]. Journal of Food Science and Technology, 2025,43(6):164-174.

基金项目:云南省“兴滇英才计划”青年人才专项基金(RLQ820220008);国家自然科学基金地区项目(32360562);云南省农业联合专项重点项目(202101BD070001-013);云南省科学技术学会第三届青年科技人才托举工程项目(2022-2024)。Foundation: Yunnan Province “Xingdian Talent Plan” Youth Talent Special Fund(RLQ820220008); National Natural Science Foundation of China (32360562); Joint Agricultural Project of Yunnan Province (202101BD070001-013); Third Young Elite Scientists Sponsorship Program by Yunnan Science and Technology Association(2022-2024).

制作:赵宇飞

编辑:李宁

审核:叶红波 张逸群

最新文章

随机文章

基本 文件 流程 错误 SQL 调试
  1. 请求信息 : 2026-04-11 02:04:51 HTTP/2.0 GET : https://h.mffb.com.cn/a/481059.html
  2. 运行时间 : 0.126412s [ 吞吐率:7.91req/s ] 内存消耗:4,542.91kb 文件加载:140
  3. 缓存信息 : 0 reads,0 writes
  4. 会话信息 : SESSION_ID=baa7566d60c971ce250bb09333a88af2
  1. /yingpanguazai/ssd/ssd1/www/h.mffb.com.cn/public/index.php ( 0.79 KB )
  2. /yingpanguazai/ssd/ssd1/www/h.mffb.com.cn/vendor/autoload.php ( 0.17 KB )
  3. /yingpanguazai/ssd/ssd1/www/h.mffb.com.cn/vendor/composer/autoload_real.php ( 2.49 KB )
  4. /yingpanguazai/ssd/ssd1/www/h.mffb.com.cn/vendor/composer/platform_check.php ( 0.90 KB )
  5. /yingpanguazai/ssd/ssd1/www/h.mffb.com.cn/vendor/composer/ClassLoader.php ( 14.03 KB )
  6. /yingpanguazai/ssd/ssd1/www/h.mffb.com.cn/vendor/composer/autoload_static.php ( 4.90 KB )
  7. /yingpanguazai/ssd/ssd1/www/h.mffb.com.cn/vendor/topthink/think-helper/src/helper.php ( 8.34 KB )
  8. /yingpanguazai/ssd/ssd1/www/h.mffb.com.cn/vendor/topthink/think-validate/src/helper.php ( 2.19 KB )
  9. /yingpanguazai/ssd/ssd1/www/h.mffb.com.cn/vendor/topthink/think-orm/src/helper.php ( 1.47 KB )
  10. /yingpanguazai/ssd/ssd1/www/h.mffb.com.cn/vendor/topthink/think-orm/stubs/load_stubs.php ( 0.16 KB )
  11. /yingpanguazai/ssd/ssd1/www/h.mffb.com.cn/vendor/topthink/framework/src/think/Exception.php ( 1.69 KB )
  12. /yingpanguazai/ssd/ssd1/www/h.mffb.com.cn/vendor/topthink/think-container/src/Facade.php ( 2.71 KB )
  13. /yingpanguazai/ssd/ssd1/www/h.mffb.com.cn/vendor/symfony/deprecation-contracts/function.php ( 0.99 KB )
  14. /yingpanguazai/ssd/ssd1/www/h.mffb.com.cn/vendor/symfony/polyfill-mbstring/bootstrap.php ( 8.26 KB )
  15. /yingpanguazai/ssd/ssd1/www/h.mffb.com.cn/vendor/symfony/polyfill-mbstring/bootstrap80.php ( 9.78 KB )
  16. /yingpanguazai/ssd/ssd1/www/h.mffb.com.cn/vendor/symfony/var-dumper/Resources/functions/dump.php ( 1.49 KB )
  17. /yingpanguazai/ssd/ssd1/www/h.mffb.com.cn/vendor/topthink/think-dumper/src/helper.php ( 0.18 KB )
  18. /yingpanguazai/ssd/ssd1/www/h.mffb.com.cn/vendor/symfony/var-dumper/VarDumper.php ( 4.30 KB )
  19. /yingpanguazai/ssd/ssd1/www/h.mffb.com.cn/vendor/topthink/framework/src/think/App.php ( 15.30 KB )
  20. /yingpanguazai/ssd/ssd1/www/h.mffb.com.cn/vendor/topthink/think-container/src/Container.php ( 15.76 KB )
  21. /yingpanguazai/ssd/ssd1/www/h.mffb.com.cn/vendor/psr/container/src/ContainerInterface.php ( 1.02 KB )
  22. /yingpanguazai/ssd/ssd1/www/h.mffb.com.cn/app/provider.php ( 0.19 KB )
  23. /yingpanguazai/ssd/ssd1/www/h.mffb.com.cn/vendor/topthink/framework/src/think/Http.php ( 6.04 KB )
  24. /yingpanguazai/ssd/ssd1/www/h.mffb.com.cn/vendor/topthink/think-helper/src/helper/Str.php ( 7.29 KB )
  25. /yingpanguazai/ssd/ssd1/www/h.mffb.com.cn/vendor/topthink/framework/src/think/Env.php ( 4.68 KB )
  26. /yingpanguazai/ssd/ssd1/www/h.mffb.com.cn/app/common.php ( 0.03 KB )
  27. /yingpanguazai/ssd/ssd1/www/h.mffb.com.cn/vendor/topthink/framework/src/helper.php ( 18.78 KB )
  28. /yingpanguazai/ssd/ssd1/www/h.mffb.com.cn/vendor/topthink/framework/src/think/Config.php ( 5.54 KB )
  29. /yingpanguazai/ssd/ssd1/www/h.mffb.com.cn/config/app.php ( 0.95 KB )
  30. /yingpanguazai/ssd/ssd1/www/h.mffb.com.cn/config/cache.php ( 0.78 KB )
  31. /yingpanguazai/ssd/ssd1/www/h.mffb.com.cn/config/console.php ( 0.23 KB )
  32. /yingpanguazai/ssd/ssd1/www/h.mffb.com.cn/config/cookie.php ( 0.56 KB )
  33. /yingpanguazai/ssd/ssd1/www/h.mffb.com.cn/config/database.php ( 2.48 KB )
  34. /yingpanguazai/ssd/ssd1/www/h.mffb.com.cn/vendor/topthink/framework/src/think/facade/Env.php ( 1.67 KB )
  35. /yingpanguazai/ssd/ssd1/www/h.mffb.com.cn/config/filesystem.php ( 0.61 KB )
  36. /yingpanguazai/ssd/ssd1/www/h.mffb.com.cn/config/lang.php ( 0.91 KB )
  37. /yingpanguazai/ssd/ssd1/www/h.mffb.com.cn/config/log.php ( 1.35 KB )
  38. /yingpanguazai/ssd/ssd1/www/h.mffb.com.cn/config/middleware.php ( 0.19 KB )
  39. /yingpanguazai/ssd/ssd1/www/h.mffb.com.cn/config/route.php ( 1.89 KB )
  40. /yingpanguazai/ssd/ssd1/www/h.mffb.com.cn/config/session.php ( 0.57 KB )
  41. /yingpanguazai/ssd/ssd1/www/h.mffb.com.cn/config/trace.php ( 0.34 KB )
  42. /yingpanguazai/ssd/ssd1/www/h.mffb.com.cn/config/view.php ( 0.82 KB )
  43. /yingpanguazai/ssd/ssd1/www/h.mffb.com.cn/app/event.php ( 0.25 KB )
  44. /yingpanguazai/ssd/ssd1/www/h.mffb.com.cn/vendor/topthink/framework/src/think/Event.php ( 7.67 KB )
  45. /yingpanguazai/ssd/ssd1/www/h.mffb.com.cn/app/service.php ( 0.13 KB )
  46. /yingpanguazai/ssd/ssd1/www/h.mffb.com.cn/app/AppService.php ( 0.26 KB )
  47. /yingpanguazai/ssd/ssd1/www/h.mffb.com.cn/vendor/topthink/framework/src/think/Service.php ( 1.64 KB )
  48. /yingpanguazai/ssd/ssd1/www/h.mffb.com.cn/vendor/topthink/framework/src/think/Lang.php ( 7.35 KB )
  49. /yingpanguazai/ssd/ssd1/www/h.mffb.com.cn/vendor/topthink/framework/src/lang/zh-cn.php ( 13.70 KB )
  50. /yingpanguazai/ssd/ssd1/www/h.mffb.com.cn/vendor/topthink/framework/src/think/initializer/Error.php ( 3.31 KB )
  51. /yingpanguazai/ssd/ssd1/www/h.mffb.com.cn/vendor/topthink/framework/src/think/initializer/RegisterService.php ( 1.33 KB )
  52. /yingpanguazai/ssd/ssd1/www/h.mffb.com.cn/vendor/services.php ( 0.14 KB )
  53. /yingpanguazai/ssd/ssd1/www/h.mffb.com.cn/vendor/topthink/framework/src/think/service/PaginatorService.php ( 1.52 KB )
  54. /yingpanguazai/ssd/ssd1/www/h.mffb.com.cn/vendor/topthink/framework/src/think/service/ValidateService.php ( 0.99 KB )
  55. /yingpanguazai/ssd/ssd1/www/h.mffb.com.cn/vendor/topthink/framework/src/think/service/ModelService.php ( 2.04 KB )
  56. /yingpanguazai/ssd/ssd1/www/h.mffb.com.cn/vendor/topthink/think-trace/src/Service.php ( 0.77 KB )
  57. /yingpanguazai/ssd/ssd1/www/h.mffb.com.cn/vendor/topthink/framework/src/think/Middleware.php ( 6.72 KB )
  58. /yingpanguazai/ssd/ssd1/www/h.mffb.com.cn/vendor/topthink/framework/src/think/initializer/BootService.php ( 0.77 KB )
  59. /yingpanguazai/ssd/ssd1/www/h.mffb.com.cn/vendor/topthink/think-orm/src/Paginator.php ( 11.86 KB )
  60. /yingpanguazai/ssd/ssd1/www/h.mffb.com.cn/vendor/topthink/think-validate/src/Validate.php ( 63.20 KB )
  61. /yingpanguazai/ssd/ssd1/www/h.mffb.com.cn/vendor/topthink/think-orm/src/Model.php ( 23.55 KB )
  62. /yingpanguazai/ssd/ssd1/www/h.mffb.com.cn/vendor/topthink/think-orm/src/model/concern/Attribute.php ( 21.05 KB )
  63. /yingpanguazai/ssd/ssd1/www/h.mffb.com.cn/vendor/topthink/think-orm/src/model/concern/AutoWriteData.php ( 4.21 KB )
  64. /yingpanguazai/ssd/ssd1/www/h.mffb.com.cn/vendor/topthink/think-orm/src/model/concern/Conversion.php ( 6.44 KB )
  65. /yingpanguazai/ssd/ssd1/www/h.mffb.com.cn/vendor/topthink/think-orm/src/model/concern/DbConnect.php ( 5.16 KB )
  66. /yingpanguazai/ssd/ssd1/www/h.mffb.com.cn/vendor/topthink/think-orm/src/model/concern/ModelEvent.php ( 2.33 KB )
  67. /yingpanguazai/ssd/ssd1/www/h.mffb.com.cn/vendor/topthink/think-orm/src/model/concern/RelationShip.php ( 28.29 KB )
  68. /yingpanguazai/ssd/ssd1/www/h.mffb.com.cn/vendor/topthink/think-helper/src/contract/Arrayable.php ( 0.09 KB )
  69. /yingpanguazai/ssd/ssd1/www/h.mffb.com.cn/vendor/topthink/think-helper/src/contract/Jsonable.php ( 0.13 KB )
  70. /yingpanguazai/ssd/ssd1/www/h.mffb.com.cn/vendor/topthink/think-orm/src/model/contract/Modelable.php ( 0.09 KB )
  71. /yingpanguazai/ssd/ssd1/www/h.mffb.com.cn/vendor/topthink/framework/src/think/Db.php ( 2.88 KB )
  72. /yingpanguazai/ssd/ssd1/www/h.mffb.com.cn/vendor/topthink/think-orm/src/DbManager.php ( 8.52 KB )
  73. /yingpanguazai/ssd/ssd1/www/h.mffb.com.cn/vendor/topthink/framework/src/think/Log.php ( 6.28 KB )
  74. /yingpanguazai/ssd/ssd1/www/h.mffb.com.cn/vendor/topthink/framework/src/think/Manager.php ( 3.92 KB )
  75. /yingpanguazai/ssd/ssd1/www/h.mffb.com.cn/vendor/psr/log/src/LoggerTrait.php ( 2.69 KB )
  76. /yingpanguazai/ssd/ssd1/www/h.mffb.com.cn/vendor/psr/log/src/LoggerInterface.php ( 2.71 KB )
  77. /yingpanguazai/ssd/ssd1/www/h.mffb.com.cn/vendor/topthink/framework/src/think/Cache.php ( 4.92 KB )
  78. /yingpanguazai/ssd/ssd1/www/h.mffb.com.cn/vendor/psr/simple-cache/src/CacheInterface.php ( 4.71 KB )
  79. /yingpanguazai/ssd/ssd1/www/h.mffb.com.cn/vendor/topthink/think-helper/src/helper/Arr.php ( 16.63 KB )
  80. /yingpanguazai/ssd/ssd1/www/h.mffb.com.cn/vendor/topthink/framework/src/think/cache/driver/File.php ( 7.84 KB )
  81. /yingpanguazai/ssd/ssd1/www/h.mffb.com.cn/vendor/topthink/framework/src/think/cache/Driver.php ( 9.03 KB )
  82. /yingpanguazai/ssd/ssd1/www/h.mffb.com.cn/vendor/topthink/framework/src/think/contract/CacheHandlerInterface.php ( 1.99 KB )
  83. /yingpanguazai/ssd/ssd1/www/h.mffb.com.cn/app/Request.php ( 0.09 KB )
  84. /yingpanguazai/ssd/ssd1/www/h.mffb.com.cn/vendor/topthink/framework/src/think/Request.php ( 55.78 KB )
  85. /yingpanguazai/ssd/ssd1/www/h.mffb.com.cn/app/middleware.php ( 0.25 KB )
  86. /yingpanguazai/ssd/ssd1/www/h.mffb.com.cn/vendor/topthink/framework/src/think/Pipeline.php ( 2.61 KB )
  87. /yingpanguazai/ssd/ssd1/www/h.mffb.com.cn/vendor/topthink/think-trace/src/TraceDebug.php ( 3.40 KB )
  88. /yingpanguazai/ssd/ssd1/www/h.mffb.com.cn/vendor/topthink/framework/src/think/middleware/SessionInit.php ( 1.94 KB )
  89. /yingpanguazai/ssd/ssd1/www/h.mffb.com.cn/vendor/topthink/framework/src/think/Session.php ( 1.80 KB )
  90. /yingpanguazai/ssd/ssd1/www/h.mffb.com.cn/vendor/topthink/framework/src/think/session/driver/File.php ( 6.27 KB )
  91. /yingpanguazai/ssd/ssd1/www/h.mffb.com.cn/vendor/topthink/framework/src/think/contract/SessionHandlerInterface.php ( 0.87 KB )
  92. /yingpanguazai/ssd/ssd1/www/h.mffb.com.cn/vendor/topthink/framework/src/think/session/Store.php ( 7.12 KB )
  93. /yingpanguazai/ssd/ssd1/www/h.mffb.com.cn/vendor/topthink/framework/src/think/Route.php ( 23.73 KB )
  94. /yingpanguazai/ssd/ssd1/www/h.mffb.com.cn/vendor/topthink/framework/src/think/route/RuleName.php ( 5.75 KB )
  95. /yingpanguazai/ssd/ssd1/www/h.mffb.com.cn/vendor/topthink/framework/src/think/route/Domain.php ( 2.53 KB )
  96. /yingpanguazai/ssd/ssd1/www/h.mffb.com.cn/vendor/topthink/framework/src/think/route/RuleGroup.php ( 22.43 KB )
  97. /yingpanguazai/ssd/ssd1/www/h.mffb.com.cn/vendor/topthink/framework/src/think/route/Rule.php ( 26.95 KB )
  98. /yingpanguazai/ssd/ssd1/www/h.mffb.com.cn/vendor/topthink/framework/src/think/route/RuleItem.php ( 9.78 KB )
  99. /yingpanguazai/ssd/ssd1/www/h.mffb.com.cn/route/app.php ( 1.72 KB )
  100. /yingpanguazai/ssd/ssd1/www/h.mffb.com.cn/vendor/topthink/framework/src/think/facade/Route.php ( 4.70 KB )
  101. /yingpanguazai/ssd/ssd1/www/h.mffb.com.cn/vendor/topthink/framework/src/think/route/dispatch/Controller.php ( 4.74 KB )
  102. /yingpanguazai/ssd/ssd1/www/h.mffb.com.cn/vendor/topthink/framework/src/think/route/Dispatch.php ( 10.44 KB )
  103. /yingpanguazai/ssd/ssd1/www/h.mffb.com.cn/app/controller/Index.php ( 4.81 KB )
  104. /yingpanguazai/ssd/ssd1/www/h.mffb.com.cn/app/BaseController.php ( 2.05 KB )
  105. /yingpanguazai/ssd/ssd1/www/h.mffb.com.cn/vendor/topthink/think-orm/src/facade/Db.php ( 0.93 KB )
  106. /yingpanguazai/ssd/ssd1/www/h.mffb.com.cn/vendor/topthink/think-orm/src/db/connector/Mysql.php ( 5.44 KB )
  107. /yingpanguazai/ssd/ssd1/www/h.mffb.com.cn/vendor/topthink/think-orm/src/db/PDOConnection.php ( 52.47 KB )
  108. /yingpanguazai/ssd/ssd1/www/h.mffb.com.cn/vendor/topthink/think-orm/src/db/Connection.php ( 8.39 KB )
  109. /yingpanguazai/ssd/ssd1/www/h.mffb.com.cn/vendor/topthink/think-orm/src/db/ConnectionInterface.php ( 4.57 KB )
  110. /yingpanguazai/ssd/ssd1/www/h.mffb.com.cn/vendor/topthink/think-orm/src/db/builder/Mysql.php ( 16.58 KB )
  111. /yingpanguazai/ssd/ssd1/www/h.mffb.com.cn/vendor/topthink/think-orm/src/db/Builder.php ( 24.06 KB )
  112. /yingpanguazai/ssd/ssd1/www/h.mffb.com.cn/vendor/topthink/think-orm/src/db/BaseBuilder.php ( 27.50 KB )
  113. /yingpanguazai/ssd/ssd1/www/h.mffb.com.cn/vendor/topthink/think-orm/src/db/Query.php ( 15.71 KB )
  114. /yingpanguazai/ssd/ssd1/www/h.mffb.com.cn/vendor/topthink/think-orm/src/db/BaseQuery.php ( 45.13 KB )
  115. /yingpanguazai/ssd/ssd1/www/h.mffb.com.cn/vendor/topthink/think-orm/src/db/concern/TimeFieldQuery.php ( 7.43 KB )
  116. /yingpanguazai/ssd/ssd1/www/h.mffb.com.cn/vendor/topthink/think-orm/src/db/concern/AggregateQuery.php ( 3.26 KB )
  117. /yingpanguazai/ssd/ssd1/www/h.mffb.com.cn/vendor/topthink/think-orm/src/db/concern/ModelRelationQuery.php ( 20.07 KB )
  118. /yingpanguazai/ssd/ssd1/www/h.mffb.com.cn/vendor/topthink/think-orm/src/db/concern/ParamsBind.php ( 3.66 KB )
  119. /yingpanguazai/ssd/ssd1/www/h.mffb.com.cn/vendor/topthink/think-orm/src/db/concern/ResultOperation.php ( 7.01 KB )
  120. /yingpanguazai/ssd/ssd1/www/h.mffb.com.cn/vendor/topthink/think-orm/src/db/concern/WhereQuery.php ( 19.37 KB )
  121. /yingpanguazai/ssd/ssd1/www/h.mffb.com.cn/vendor/topthink/think-orm/src/db/concern/JoinAndViewQuery.php ( 7.11 KB )
  122. /yingpanguazai/ssd/ssd1/www/h.mffb.com.cn/vendor/topthink/think-orm/src/db/concern/TableFieldInfo.php ( 2.63 KB )
  123. /yingpanguazai/ssd/ssd1/www/h.mffb.com.cn/vendor/topthink/think-orm/src/db/concern/Transaction.php ( 2.77 KB )
  124. /yingpanguazai/ssd/ssd1/www/h.mffb.com.cn/vendor/topthink/framework/src/think/log/driver/File.php ( 5.96 KB )
  125. /yingpanguazai/ssd/ssd1/www/h.mffb.com.cn/vendor/topthink/framework/src/think/contract/LogHandlerInterface.php ( 0.86 KB )
  126. /yingpanguazai/ssd/ssd1/www/h.mffb.com.cn/vendor/topthink/framework/src/think/log/Channel.php ( 3.89 KB )
  127. /yingpanguazai/ssd/ssd1/www/h.mffb.com.cn/vendor/topthink/framework/src/think/event/LogRecord.php ( 1.02 KB )
  128. /yingpanguazai/ssd/ssd1/www/h.mffb.com.cn/vendor/topthink/think-helper/src/Collection.php ( 16.47 KB )
  129. /yingpanguazai/ssd/ssd1/www/h.mffb.com.cn/vendor/topthink/framework/src/think/facade/View.php ( 1.70 KB )
  130. /yingpanguazai/ssd/ssd1/www/h.mffb.com.cn/vendor/topthink/framework/src/think/View.php ( 4.39 KB )
  131. /yingpanguazai/ssd/ssd1/www/h.mffb.com.cn/vendor/topthink/framework/src/think/Response.php ( 8.81 KB )
  132. /yingpanguazai/ssd/ssd1/www/h.mffb.com.cn/vendor/topthink/framework/src/think/response/View.php ( 3.29 KB )
  133. /yingpanguazai/ssd/ssd1/www/h.mffb.com.cn/vendor/topthink/framework/src/think/Cookie.php ( 6.06 KB )
  134. /yingpanguazai/ssd/ssd1/www/h.mffb.com.cn/vendor/topthink/think-view/src/Think.php ( 8.38 KB )
  135. /yingpanguazai/ssd/ssd1/www/h.mffb.com.cn/vendor/topthink/framework/src/think/contract/TemplateHandlerInterface.php ( 1.60 KB )
  136. /yingpanguazai/ssd/ssd1/www/h.mffb.com.cn/vendor/topthink/think-template/src/Template.php ( 46.61 KB )
  137. /yingpanguazai/ssd/ssd1/www/h.mffb.com.cn/vendor/topthink/think-template/src/template/driver/File.php ( 2.41 KB )
  138. /yingpanguazai/ssd/ssd1/www/h.mffb.com.cn/vendor/topthink/think-template/src/template/contract/DriverInterface.php ( 0.86 KB )
  139. /yingpanguazai/ssd/ssd1/www/h.mffb.com.cn/runtime/temp/32b793ebdcbdb96aeb8bb24c123b0bef.php ( 11.98 KB )
  140. /yingpanguazai/ssd/ssd1/www/h.mffb.com.cn/vendor/topthink/think-trace/src/Html.php ( 4.42 KB )
  1. CONNECT:[ UseTime:0.000516s ] mysql:host=127.0.0.1;port=3306;dbname=h_mffb;charset=utf8mb4
  2. SHOW FULL COLUMNS FROM `fenlei` [ RunTime:0.000826s ]
  3. SELECT * FROM `fenlei` WHERE `fid` = 0 [ RunTime:0.000292s ]
  4. SELECT * FROM `fenlei` WHERE `fid` = 63 [ RunTime:0.000328s ]
  5. SHOW FULL COLUMNS FROM `set` [ RunTime:0.000487s ]
  6. SELECT * FROM `set` [ RunTime:0.000184s ]
  7. SHOW FULL COLUMNS FROM `article` [ RunTime:0.000642s ]
  8. SELECT * FROM `article` WHERE `id` = 481059 LIMIT 1 [ RunTime:0.005999s ]
  9. UPDATE `article` SET `lasttime` = 1775844291 WHERE `id` = 481059 [ RunTime:0.012465s ]
  10. SELECT * FROM `fenlei` WHERE `id` = 64 LIMIT 1 [ RunTime:0.000505s ]
  11. SELECT * FROM `article` WHERE `id` < 481059 ORDER BY `id` DESC LIMIT 1 [ RunTime:0.000869s ]
  12. SELECT * FROM `article` WHERE `id` > 481059 ORDER BY `id` ASC LIMIT 1 [ RunTime:0.000645s ]
  13. SELECT * FROM `article` WHERE `id` < 481059 ORDER BY `id` DESC LIMIT 10 [ RunTime:0.003006s ]
  14. SELECT * FROM `article` WHERE `id` < 481059 ORDER BY `id` DESC LIMIT 10,10 [ RunTime:0.009712s ]
  15. SELECT * FROM `article` WHERE `id` < 481059 ORDER BY `id` DESC LIMIT 20,10 [ RunTime:0.010133s ]
0.129152s