
树种与心边材含量对超薄高密度纤维板
杨春梅1,王婷婷1,田心池1,闵德秀2,孙成文1*
(1.东北林业大学 机电工程学院,哈尔滨150040;2.山东新港企业集团有限公司,山东 临沂276000)
摘要:目的 研究树种与心边材含量对超薄高密度纤维板物理力学性能的影响。方法 以不同树种(杨木、桉木和松木)及大径级杨木的心材与边材纤维为原料,以酚醛树脂(Phenol Formaldehyde,PF)为胶黏剂制备超薄高密度纤维板,深入探究不同树种与心边材含量对板材物理力学性能的影响,并根据实验结果建立心材含量、边材含量与超薄高密度纤维板物理力学性能的数学模型。结果 在不同树种中,杨木纤维板的物理力学性能最优,其静曲强度为54.61 MPa,弹性模量为4.967 GPa,吸水厚度膨胀率为27.87%,表面粗糙度为2.361 μm。在本实验范围内,当心材含量为30%、边材含量为50%时,超薄高密度纤维板的物理力学性能最佳,其静曲强度为57.69 MPa,弹性模量为5.812 GPa,吸水厚度膨胀率为27.43%,表面粗糙度为2.719 μm。上述纤维板的物理力学性能均超过《超薄高密度纤维板》(T/CNFPIA 3007—2019)规定的性能标准。结论 可根据实际需要调整板材的树种和心边材含量,制备满足生产工艺和使用要求的超薄高密度纤维板产品。
关键词:超薄高密度纤维板;树种;心边材;物理力学性能基金项目:国家重点研发计划(2021YFD220060404);中央高校基本科研业务费专项资金项目(2572023CT14-01)引文格式:杨春梅, 王婷婷, 田心池, 闵德秀, 孙成文. 树种与心边材含量对超薄高密度纤维板物理力学性能的影响[J]. 包装工程. 2025, 46(3): 1-9.
YANG Chunmei, WANG Tingting, TIAN Xinchi, MIN Dexiu, SUN Chengwen. Effect of Tree Species and Heartwood-sapwood Content on the Physical and Mechanical Properties of Ultra-thin High-density Fiberboard[J]. Packaging Engineering. 2025, 46(3): 1-9.
超薄高密度纤维板是纤维板的创新产品,其厚度< 1.5 mm,密度>0.8 g/cm3,具有厚度小、表面光洁、柔韧性强及绿色低碳等优点,成为市场上备受瞩目的新型材料。超薄高密度纤维板一方面可作为胶合板和高档家具的饰面板[1-2],解决家具表面碳化、不平整、易龟裂等问题,另一方面可用于线路板底板、汽车夹板和包装盒等领域[3-6]。超薄高密度纤维板作为一种环保材料,可替代塑料、纸板等传统包装材料,有助于推动包装工程的绿色化和可持续发展。因此,超薄高密度纤维板在实际应用中既要满足相应的物理力学性能,还需兼顾美观性和光洁度的要求。
在超薄高密度纤维板的生产过程中,纤维原料的品种和质量是决定板材质量的关键因素[7-13]。研究表明[14-16],树种是影响纤维质量和纤维板性能的重要因素。不同树种因其纤维形态和化学成分的差异,会对纤维质量产生重要影响,进而影响纤维板的物理力学性能。在重组木领域,研究分析新西兰辐射松的心边材对重组木性能的影响,发现心材重组木性能优于边材重组木[17]。由于超薄高密度纤维板是一种新产品,大多数研究集中在工艺优化方面,对树种和心边材方面的研究较少。
本研究以酚醛树脂(Phenol Formaldehyde,PF)为胶黏剂,以不同树种(杨木、桉木和松木)及大径级杨木的心材与边材纤维为原料制备1 mm厚超薄高密度纤维板,深入探究不同树种与心边材含量对超薄高密度纤维板物理力学性能及表面粗糙度的影响,旨在为超薄高密度纤维板的制备工艺研究提供参考。
1实验
1.1材料
杨木纤维、桉木纤维和松木纤维分别从杨树、桉树与松树中提取,其中杨树树种为毛白杨(Populus tomentosa),桉树树种为大叶桉(Eucalyptus robusta),松树树种为落叶松(Larix gmelinii),均为小径材,平均含水率为5%。心材纤维、边材纤维以大径级杨木旋切后的加工剩余物(即碎单板和木芯)为原料制备纤维,碎单板处理后为边材纤维,木芯处理后为心材纤维,平均含水率为5%。PF胶黏剂在25 ℃下的黏度为68 mPa·s,固体含量为4.52%。固化剂的配制浓度为20%。以上材料均由山东新港企业集团有限公司提供。
1.2设备
1.3方法
1.3.1设计
1)树种。采用单因素实验,选择4种不同的树种纤维,即桉木、松木、桉木+松木和杨木。不同树种的纤维形态如图1所示。

图1 不同树种的纤维形态
2)心材含量和边材含量。采用双因素实验。根据实际生产经验和成本控制的需求,心材含量选择0%、15%、30%共3个水平,边材含量选择30%、40%、50%、60%、65%、70%共6个水平,其余纤维采用杨木纤维。具体实验方案如表1所示。不同实验方案的纤维含量和超薄高密度纤维板试样如图2所示。
1.3.2超薄高密度纤维板的制备
超薄高密度纤维板的制备在山东新港企业集团有限公司生产的1 mm厚超薄高密度纤维板连续平压试制生产线上进行。
1)剥皮、削片、筛选、水洗、蒸煮和热磨。木材剥皮后送入削片机切削成木片,然后经过筛选机去除杂物,送至水洗系统。水洗后的木片经过脱水处理后进行预热,再被送入蒸煮缸进行蒸煮处理。最后,将木片送至热磨机进行热磨,得到分离后的纤维。
2)施胶、干燥、铺装、预压、热压和锯切。设定施胶量为10%,将胶黏剂、固化剂等调制后与纤维混合。施胶后将纤维送入干燥机,干燥处理至含水率为5%左右。设定密度为1.0 g/cm3,厚度为1 mm,
注:编号1~4为桉木含量和松木含量的实验方案,编号5~11为杨木含量、心材含量和边材含量的实验方案。

图2不同实验方案的纤维含量和超薄高密度纤维板试样
将纤维送入铺装机铺装,再进入预压机预压。预压后的板坯送入连续平压热压机,通过不同区段的连续热压(各区段的温度、压力各不相同),最终热压成板材,再将板材锯切成500 mm×500 mm的纤维板。每个实验方案取样3块板材。
1.3.3性能测试
热压成型的超薄高密度纤维板放置保养后,参照《人造板及饰面人造板理化性能试验方法》(GB/T 17657—2022)测定板材的物理力学性能。
1)静曲强度和弹性模量。每块纤维板锯切成3个试样,试样尺寸为150 mm×50 mm×1 mm,采用三点弯曲法测量静曲强度(Modulus of Rupture,MOR)和弹性模量(Modulus of Elasticity,MOE)。力学试验机的加载速度为10 mm/min,跨距为100 mm,测量结果取平均值。
2)吸水厚度膨胀率。每块纤维板锯切成3个试样,试样尺寸为50 mm×50 mm×1 mm,测量24 h吸水厚度膨胀率TS。测量方法如下:在温度为(20±1) ℃的水中浸泡24 h后测量其厚度变化,测量结果取平均值。
3)表面粗糙度。每块纤维板锯切成3个试样,试样尺寸为50 mm×50 mm×1 mm,采用表面粗糙度测量仪测量表面粗糙度Ra。探针在试样表面划过微小间距后,即可显出Ra。表面粗糙度测量仪的滑行速度为1 mm/s,测力<4 mN,测量结果取平均值。
2结果与分析
2.1树种对超薄高密度纤维板物理力学性能的影响
不同树种的超薄高密度纤维板物理力学性能测试结果见图3。对树种的实验结果进行方差分析,其结果见表2。当P<0.05时,表明该实验结果在统计学上具有显著性。
由表2可知,树种对超薄高密度纤维板的MOR值、MOE值、TS值和Ra的影响显著。由图3可知:不同树种的超薄高密度纤维板的MOR值和MOE值从高到低依次为杨木、桉木+松木、松木、桉木;TS值从高到低依次为杨木、松木、桉木+松木、桉木;Ra从高到低依次为桉木+松木、桉木、杨木、松木。
实验结果表明,树种中杨木纤维板的综合性能最优,板材的MOR值为54.61 MPa,MOE值为4.967 GPa,TS值为27.87%,Ra为2.361 μm,其物理力学性能超过《超薄高密度纤维板》(T/CNFPIA 3007—2019)规定的性能标准。造成这种现象的原因如下。
2.1.1纤维形态分析
桉木是阔叶材,纤维细胞导管较细且密,木质较软,木材纤维较碎,胶合强度稍差,导致桉木纤维板

图3不同树种的超薄高密度纤维板物理力学性能
的强度低(MOR值为41.54 MPa,MOE值为4.178 GPa)、表面粗糙度高(Ra为2.573 μm)。另外,桉木的纤维束细小,细胞壁较薄[18-19],纤维间的接触面积增大,纤维表面的游离羟基数量减少,使得桉木纤维的吸附能力较低,板材耐水性较高(TS值为25.45%)。
松木作为针叶材,其特点是纤维长度大,长宽比大,细胞壁厚[20],纤维本身的强度高。同时,松木管胞较大,孔隙较多,有助于胶黏剂填满管胞的孔隙,因此松木纤维板强度较高(MOR值为4.64 MPa,MOE值为4.488 GPa)。基于松木材质较脆、易变性开裂的特性,虽然其纤维黏结良好,但是胶合强度还是低于杨木。松木纤维的细胞壁腔比大,对水压的承受力较高,且细胞内多含树脂和芳香油,使得板材的TS值和Ra较低(TS值为27.07%,Ra为2.325 μm)。
桉木+松木的混合纤维是将针叶材与阔叶材搭配使用。一方面,针叶材纤维本身强度高,但管胞壁厚呈管状,壁腔比大,导致纤维间的接触面积较小;另一方面,阔叶材的纤维细胞是薄壁结构且呈带状,长宽比小,使得纤维间的接触面积增大,交织结合力强[21]。利用针、阔叶材各自不同的材性进行搭配,可以更好地填补纤维的空隙、扩大接触面,提高纤维板的强度和耐水性(MOR值为44.61 MPa,MOE值为4.720 GPa,TS值为26.59%),比单独使用针、阔叶材的板材性能更优。
杨木的纤维素及木质素总量并不低,且聚戊糖含量较高[22-23],吸湿膨胀能力强,易导致板材TS值增大(TS值为27.87%)。另外,杨木作为阔叶材,其纤维长度较松木短,但纤维宽度和壁腔比小,细胞壁薄[24],易被压扁变成带状,塑性和柔软性较好,交织性能较强。与桉木相比,杨木纤维的长度和长宽比更大,纤维本身强度更高,因此杨木纤维板的强度最高(MOR值为54.61 MPa,MOE值为4.967 GPa)、表面粗糙度较低(Ra为2.361 μm)。
2.1.2化学成分分析
木材的主要化学成分为纤维素、半纤维素及木质素,它们是构成细胞壁的物质基础。查阅资料可知3种木材的主要化学成分的含量[25],见表3。
在细胞壁中,纤维素分子链形成的微纤丝沿着细胞的轴向排列,起着支撑骨架的作用。随着纤维素含量的提升,纤维板的强度会相应增强。和纤维素相比,半纤维素具有更强的吸湿性和润胀能力[26]。当半纤维素含量较高时,纤维更易润胀,增大了纤维的比表面积,有助于促进氢键的形成,进而增强纤维的交织性能,提高板材强度。半纤维素的含量过高时,虽然一定程度上提高了纤维的结合强度,但是也相对减少了纤维素的含量,从而降低了板材强度。因此,板材强度从高到低依次为杨木、松木、桉木。
由于半纤维素无法形成结晶区,水分子容易进入,且半纤维素含量的增大也会导致吸水率升高。在高温作用下,由于多糖易裂解成糠醛并与其他糖类及木质素聚合成不吸水的树脂,降低板材的吸湿性,木质素含量的增加,可以在一定程度上降低纤维板的TS。因此,板材TS从高到低依次为杨木、松木、桉木。
2.2 心边材含量对超薄高密度纤维板物理力学性能的影响
不同心边材含量的超薄高密度纤维板物理力学性能测试结果,见图4。对不同心边材含量的实验结果进行方差分析,其结果见表4。
由表4可知,心材含量对超薄高密度纤维板MOR、MOE和TS值的影响显著,对Ra的影响不显著;边材含量对超薄高密度纤维板MOE和TS值的影响显著,对MOR和Ra的影响不显著。
由图4可知:
在本实验范围内,心材含量不变时,随着边材含量的增加,超薄高密度纤维板的MOR、MOE和TS值逐渐增大,Ra先减小后增大;随着心材含量的增加,MOR和MOE值逐渐增大,TS值和Ra先减小后增大;单独加入边材纤维时,超薄高密度纤维板的性能反而下降。
实验结果表明,当心材含量为30%、边材含量为50%时,超薄高密度纤维板的综合性能最佳,板材的MOR值为57.69 MPa,MOE值为5.812 GPa,TS值为27.43%,Ra为2.719 μm,其物理力学性能超过《超薄高密度纤维板》(T/CNFPIA 3007—2019)规定的性能标准。造成这种现象的原因如下。
纤维长度是影响板材强度的重要因素。碎单板的厚度较小,通常为几毫米,部分纤维可能在切割过程中受到损伤,导致边材纤维的长度不如原木纤维长。单独加入边材纤维(心材的质量分数为0%、边材的质量分数为60%)时,大量短纤维可能导致纤维间的结合力减弱,从而使得板材的性能下降(MOR值为 36.15 MPa,MOE值为3.709 GPa,TS值为27.19%,Ra为2.778 μm)。当同时加入心边材纤维时,心材与边材的混合使用起到了互补作用。心材纤维更易与其他纤维形成交织和互锁,从而提高了纤维结合力。虽然边材纤维较短,但其可以填补心材纤维间的空隙,提高板材的强度。另外,边材细胞含有较多的水分和营养物质,使得边材含量过大,可能导致纤维板的TS值增大。

图4不同心边材含量的超薄高密度纤维板物理力学性能
杨木主要由木纤维、导管和轴向薄壁组织等组成。由于心材已经停止生长,其内部的维管束排列相对较为紧密,导管和轴向薄壁组织较为细小,木纤维相对发达,且具有较高的强度和韧性。与边材相比,心材细胞紧密、实质密度大,纤维板的力学性能随着心材含量的增加而改善。通过调整心边材含量的比例,可以优化纤维间的相互作用与结合力,进一步提升纤维板性能。
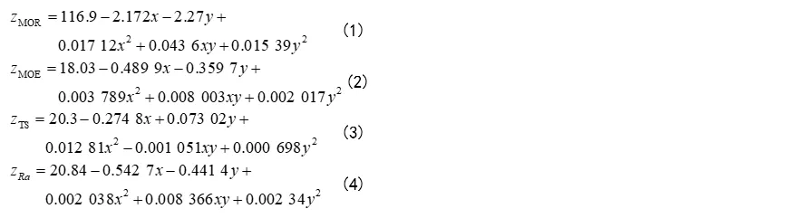
2.3心边材含量与超薄高密度纤维板物理力学性能的数学模型
根据不同心边材含量的11组实验方案及每组3次的平行实验结果,建立心材含量、边材含量与超薄高密度纤维板物理力学性能的数学模型。令心材含量和边材
含量分别为自变量x和y,x∈[0, 30],y∈[30, 70],板材的静曲强度、弹性模量、吸水厚度膨胀率和表面粗糙度分别为因变量zMOR、zMOE、zTS和zRa,对数据进行多项式回归拟合,并保持方程的健壮性,得到的回归方程如式(1)~(4)所示。
使用插值法对该模型进行曲面拟合,得到心材含量、边材含量与超薄高密度纤维板物理力学性能的关系,见图5。
代入表1中设置的不同心边材含量条件,可以得到纤维板的物理力学性能预测值,其与实测值的对比结果如图6所示。由图6可知,模型预测值基本沿着对角线均匀分布,表明建立的数学模型可以较好地预测心边材含量对超薄高密度纤维板物理力学性能的影响。
图5心边材含量与超薄高密度纤维板物理力学性能的关系

图6超薄高密度纤维板物理力学性能的实测值与预测值的对比
该模型的决定系数R2见图6。一般认为,R2越接近1,模型对数据的拟合程度越好。式(1)~(4)对应的R2分别为0.822 0、0.913 4、0.726 8、0.498 4,因此上述模型对超薄高密度纤维板的MOR、MOE和TS值的拟合度较好,而对Ra的拟合度不佳。
3结语
探究了不同树种与心边材含量对超薄高密度纤维板物理力学性能的影响,并建立了数学模型,主要得出以下结论。
1)不同树种的超薄高密度纤维板的MOR值和MOE值从高到低依次为杨木、桉木+松木、松木、桉木;TS值从高到低依次为杨木、松木、桉木+松木、桉木;Ra从高到低依次为桉木+松木、桉木、杨木、松木。由此可见,树种中杨木纤维板的综合性能最优。
2)在本实验范围内,心材含量不变时,随着边材含量的增加,超薄高密度纤维板的MOR值、MOE值和TS值逐渐增加,Ra先减小后增大;随着心材含量的增大,MOR值和MOE值逐渐增大,TS值和Ra先减小后增大;单独加入边材纤维时,超薄高密度纤维板的性能反而下降。当心材的质量分数为30%、边材的质量分数为50%时,超薄高密度纤维板的综合性能最佳。
3)在本实验条件下,除部分桉木纤维板和心材的质量分数为0%、边材的质量分数为60%的纤维板,其余纤维板的物理力学性能均超过《超薄高密度纤维板》(T/CNFPIA 3007—2019)规定的性能标准。可根据实际需要调整板材的树种和心边材含量,生产满足生产条件和使用要求的超薄高密度纤维板。
