丨旨在分享学术交流丨能力有限欢迎指正丨
「上海岱算科技有限公司」已向境内外230余家高等院校/科研院所提供了累计1400多项模拟计算服务,赋能科学研究提速增效!合作实验课题组在线发表学术论文期刊有ACS系列、AM系列、Angew、CEJ、EST、JACS、Matter、Nature子刊等,助力科研工作锦上添花!开发高效、耐久且经济可行的析氢反应(HER)电催化剂对于实现大规模绿色制氢至关重要,然而在提高传统催化过程的效率方面仍然存在重大挑战。
2026年03月17日,青岛科技大学吴则星、王磊团队在Advanced Energy Materials期刊发表题为“Interfacial Osmium Nanoclusters on Molybdenum Boride Enable Reverse Hydrogen Spillover for Enhanced Hydrogen Evolution”的研究论文,团队成员Yu Wenli为论文第一作者,吴则星、王磊、青岛农业大学王杰为论文共同通讯作者。
第一作者:Yu Wenli
通讯作者:吴则星、王磊、王杰
通讯单位:青岛科技大学、青岛农业大学
论文DOI:10.1002/aenm.70847
该研究报道了锇纳米团簇修饰的钼化硼(Os/MoB)作为一种通过新型氢溢流机制运行的HER高效催化剂。Os/MoB催化剂在碱性、酸性和碱性海水(1M KOH +海水)电解液中达到10 mA cm⁻²电流密度时,分别实现了极低过电位(η₁₀ = 22、27和11 mV),其性能媲美甚至超越商业Pt/C。密度泛函理论DFT计算表明,H₂O吸附在MoB表面,随后H₂O解离,产生的H*物种溢流到界面Os位点,随后重新结合并释放H₂。此外,基于Os/MoB的阴离子交换膜水电解槽(AEMWE)在1M KOH和碱性海水中,达到500 mA cm⁻²的电流密度仅需1.78 V和1.88 V的低电压,并能稳定运行超过100小时。
全球范围内的碳达峰和碳中和目标正在加速从传统能源系统向可再生能源替代品的转型。其中,氢能以其高能量密度和零碳排放的特点,成为一种有前景的可再生能源载体。与传统的水煤气变换过程(能耗高、碳排放量大)相比,电催化水分解已成为绿色制氢最重要的可持续策略。其优势包括产品纯度高和可扩展性强,这使得该技术处于清洁能源研究的前沿。为了提高效率并降低能耗,开发具有优异操作稳定性和低过电势的析氢反应(HER)电催化剂至关重要。尽管铂(Pt)基催化剂具有最高的HER活性,但其稀缺性和高成本阻碍了其广泛应用。钌(Ru)作为一种成本相对较低且催化性能接近Pt的替代品,作为非贵金属基催化剂的掺杂剂已备受关注,例如Ru-MoO₃₋ₓ/Mo₂AlB₂、GaSA-Ru/RuO₂等。锇(Os)是另一种铂族金属,其d带电子结构与Ru相似,且值得注意的是,其在同类金属中市场价格最低。然而,在块体催化剂上合理设计和可控合成用于全pH范围高效HER的Os基界面结构仍然是一个艰巨的挑战。
过渡金属硼化物因其低成本和卓越的结构多样性而作为极具前景的HER块体电催化剂受到了广泛关注。然而,其在规模化工业水分解中的实际应用常常受到催化活性和长期稳定性不足的限制。为了解决这些局限性,研究人员致力于提高HER性能,特别是通过引入贵金属组分。其中,催化剂载体的选择显著影响电催化活性的提升。由于金属-载体相互作用(MSI)能够精确调控活性位点的局部电子环境,其显著增强了催化剂的本征活性和稳定性。例如,Yang等人开发了负载在磷掺杂钼化硼(Ru/P-MoB)上的Ru纳米团簇,证明了强MSI在界面处产生了富电子Ru位点。这种电子构型促进了有利的水吸附/解离,并优化了氢吸附的自由能,从而增强了HER活性。进一步的研究表明,性能提升不仅源于电子结构调控,还源于氢反应动力学的改变。在这种情况下,一个关键的机制是氢溢流,这是一种多相催化过程,其中吸附并活化在某一表面的氢物种迁移到另一表面,从而促进后续反应步骤。值得注意的是,从载体到金属的反向氢溢流最近引起了相当大的关注。例如,Li及其同事证明,在Ru-WO₃₋ₓ中,缺氧WO₃₋ₓ在中性pH析氢反应中充当质子储库,使得阴极电位驱动的质子能够转移到Ru纳米颗粒。这种从WO₃₋ₓ到Ru的氢溢流将速率决定步骤从水解离转移到Ru上的氢重组,从而显著加速了HER动力学。此外,Shao等人设计了一种仿生HfO₂耦合的铱催化剂(Ir/HfO₂@C),该催化剂通过pH依赖的双向氢溢流,在酸性和碱性电解液中均实现了极小的过电位差。研究揭示,在碱性介质中,氢溢流从HfO₂向界面迁移,而在酸性条件下,其从Ir扩散到界面。这种动态、pH响应行为凸显了界面氢转移在实现高性能、pH通用HER电催化中的关键作用。
在此,该研究提出了一种新颖、节能的微波辅助合成方法,用于制备锚定在MoB上的Os纳米团簇(Os/MoB),作为一种高效HER电催化剂。该研究遵循一种设计的氢溢流机制运行,其中在MoB载体上生成的原子氢(H*)迁移到界面Os团簇,显著加速了H*转移步骤。这种氢溢流效应通过电化学分析和密度泛函理论DFT计算得到了严格的验证。协同的金属-载体相互作用赋予Os/MoB卓越的质量活性,其超过商业Pt/C的五倍。当集成到用于工业规模海水电解的阴离子交换膜水电解槽(AEMWE)中时,Os/MoB基阴极表现出与当代贵金属基催化剂相当的催化活性,同时在苛刻的操作条件下展现出卓越的长期耐久性。该研究凸显了氢转移动力学在溢流介导的HER中的关键作用,并为通过界面工程合理设计高性能、成本效益高的电催化剂提供了一个战略框架。
图1 (a) Os/MoB的制备过程示意图。(b) XRD图谱,(c) HRTEM图像,和(d) Os/MoB的强度映射。(e) MoB和Os/MoB的拉曼光谱。(f) Os/MoB的EDS映射图像。
图2 (a) EPR谱。Os/MoB中(b) B 1s,(c) Mo 3d和(d) Os 4f的高分辨率XPS谱。(e) XAS谱,(f) FT-EXAFS谱,(g) Os L边EXAFS振荡,以及(h,i) Os/MoB和Os的小波变换。
图3 | (a) MoB、Os/MoB、Pt/C和Os/C在1 M KOH溶液中的高电流密度下极化曲线。(b) MoB和Os/MoB的关键HER参数雷达图。(c) 该研究与近期文献中HER性能的比较图。(d) 在碱性海水电解液中按催化剂质量归一化的极化曲线。(e) 不同催化剂的质量活性柱状图。(f) 塔菲尔斜率。(g) Os/MoB的稳定性曲线。
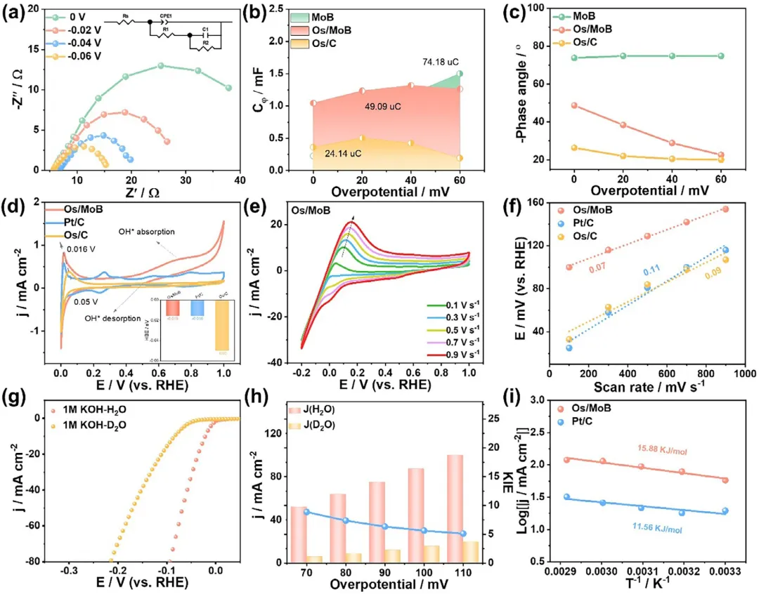
图4 (a) Os/MoB的原位EIS。(b) MoB、Os/MoB和Os/C的Cφ vs. 过电位图,(c) 不同电位下的相峰角度。(d) Os/MoB、Pt/C和Os/C在Ar饱和条件下0–1.0 V的CV曲线及计算所得HBE柱状图(插图)。(e) Os/MoB在Ar饱和条件下-0.2至1.0 V范围内不同扫速的CV曲线。(f) 催化剂的氢脱附峰位置与扫速的关系图。(g) Os/MoB的极化曲线。(h) Os/MoB的计算KIE值。(i) Os/MoB和Pt/C的阿伦尼乌斯图。
图5 | (a) MoB、Os/MoB、Pt/C和Os/C在0.5M H₂SO₄中低电流密度下的极化曲线。(b) MoB和Os/MoB关键参数的性能比较。(c) 高电流密度下催化剂的极化曲线。(d) MoB、Os/MoB和Os/C的奈奎斯特图。(e) 该研究与近期文献中HER性能的比较图。(f) Os/MoB的长期稳定性测试。
图6 | (a) MoB的DFT优化模型。(b) Os/MoB中Os、B和Mo的PDOS。(c) Os/MoB的差分电子密度模型。(d) MoB、Os(111)和Os团簇的功函数(插图)。(e) 氢在Os/MoB上迁移过程的示意图和(f) 能量变化。(g) 不同位点的水吸附能。(h) 不同位点上氢析出过程中的自由能变化。(i) Os/MoB(红色)和常见金属催化剂(灰色)的HER火山图。
图7 | (a) AEMWE组装电解槽各组件的示意图。(b) AEMWE极化曲线。(c) 该AEMWE性能与近期报道工作的比较。(d) 在1 M KOH溶液中不同电流密度下的AEMWE效率。(e) 稳定性曲线。
总之,通过新型、节能的微波辅助方法成功合成了Os/MoB催化剂。密度泛函理论DFT计算分析证实,由功函数差异引起的Os/MoB界面内建电场驱动了一种反向氢溢流机制。在此过程中,MoB高效地解离水,生成的H*物种迁移到界面Os位点并重组为H₂。接近最佳的氢吸附自由能(ΔGH* = -0.17 eV)和低电荷转移电阻进一步增强了反应动力学。该研究制备的Os/MoB在碱性、碱性海水和酸性电解液中,于10 mA cm⁻²电流密度下分别表现出22、11和27 mV的低过电势,并具有优异的稳定性。这种氢溢流驱动的机制凸显了Os/MoB催化剂卓越的活性及其在高电流密度制氢方面的工业应用潜力。该研究为通过反向溢流效应设计用于高效电催化反应的催化材料提供了新指导。