
论文摘要
丝素蛋白(SF)是源自家蚕的生物聚合物,具有优异的生物相容性、生物降解性和机械可调性,是食品结构构建、控释及活性成分包封等应用的理想材料。然而,天然丝素蛋白水凝胶在生理条件下凝胶化速度缓慢,限制了其实际应用。冷等离子体(CP)处理通过诱导蛋白质部分解折叠并借助氧化交联促进聚集,有效提高了丝素蛋白的表面疏水性和电荷密度,促使其构象从 α- 螺旋向 β- 折叠转变,强化了分子间相互作用。与未处理的丝素蛋白相比,经冷等离子体处理 8 分钟的样品(CSF-8)形成了更致密、更强韧的三维结构,显著提升了持水性和凝胶强度 —— 持水性提高 25.3%,50% 应变下的压缩应力从 15.2 kPa 升至 39.2 kPa,凝胶硬度从 12.5 N 增至 34 N;同时,CSF-8 的凝胶化时间缩短 81.2%,表明延长处理时间可促进水凝胶更快形成。本研究表明,冷等离子体是一种绿色、非化学修饰策略,可通过调控丝素蛋白结构和凝胶化过程,为功能性食品中水凝胶的设计(包括结构构建、控释及活性成分包封)提供广阔前景。研究背景
研究背景丝素蛋白作为家蚕蚕丝来源的天然生物聚合物,兼具优良的生物相容性、可调的生物降解性、机械强度及加工性能,可制成薄膜、纤维、海绵和水凝胶等多种形态,近年来在食品科学领域备受关注,广泛应用于功能成分递送、可食用涂层、活性降解包装以及生物活性化合物与益生菌的纳米包封等场景,在生物医学领域也被证实是伤口修复和癌症治疗的潜力平台,且我国成熟的养蚕业为其提供了可持续且经济的供应保障。丝素蛋白分子含重复疏水氨基酸序列,在适宜条件下可自组装形成富含 β- 折叠的结构,进而构建物理或化学交联的水凝胶网络,这类水凝胶高含水量、生物相容性佳,是细胞包封和生物活性分子控释的理想支架,但未修饰的丝素蛋白水凝胶在生理条件(如中性 pH、37℃)下存在凝胶化动力学缓慢、机械性能欠佳的问题,即便在高浓度(≥4% w/v)下,凝胶化也可能需要数天至数周;虽有升温、加离子、聚合物共混等加速溶胶 - 凝胶转变的策略,化学交联剂可提升凝胶强度却可能引入细胞毒性,酶促交联温和但成本高、批次差异大,现有物理修饰策略对凝胶性能的改善效果也有限。冷等离子体作为一种非热加工技术,可通过产生活性氧和氮物种(RONS)对底物进行物理改性,近年来其改变蛋白质构象、提升凝胶强度的特性在蛋白质修饰技术中展现出潜力,已有研究表明冷等离子体处理大豆分离蛋白或鱿鱼鱼糜后,α- 螺旋含量降低、β- 折叠和无规卷曲含量增加,流变学行为和凝胶强度显著改善,形成更致密均匀的三维网络,为无试剂、非热调控凝胶性能提供了可能,基于此,本研究深入分析冷等离子体处理对丝素蛋白结构和功能特性的影响,旨在提升其在食品工业中的适用性。图文赏析
图 1 丝素蛋白的制备及冷等离子体改性处理流程
图 2 冷等离子体处理 0、2、4、6、8 分钟后丝素蛋白(SF)溶液的浊度(A)、浊度直观图(B)、粒径分布(C)及 ζ- 电位(D)
图 3 冷等离子体处理 0、2、4、6、8 分钟后丝素蛋白的游离巯基(-SH)含量(A)、二硫键(S-S)含量(B)、表面疏水性(C)、傅里叶变换红外光谱(D)、X 射线衍射图谱(E)、圆二色谱(F)、二级结构组成(G)、硫代黄素 T(ThT)荧光光谱(H)及 intrinsic 荧光光谱(I)
图 4 不同冷等离子体处理组丝素蛋白溶液(4%,w/v)在不同时间点的动态外观变化(A);丝素蛋白(SF)及冷等离子体处理组(CSF-2、CSF-4、CSF-6、CSF-8)冻干水凝胶的扫描电镜(SEM)图像(放大倍数 100×)(B)
图 5 冷等离子体处理组水凝胶的持水性(A)、内聚性(B)、弹性(C)、硬度(D)及压缩应力 - 应变曲线(E)
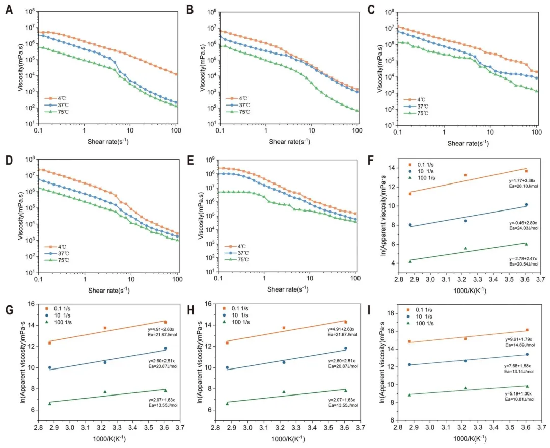
图 6 温度对不同冷等离子体处理时间(0、2、4、6、8 分钟)丝素蛋白表观黏度的影响(A-E);不同处理时间和剪切速率下丝素蛋白水溶液黏度的自然对数(lnη)与温度倒数(1000/K)的关系,实线为基于阿伦尼乌斯方程的拟合曲线(F-I)
图 7 25℃下冷等离子体处理组丝素蛋白水溶液(4%,w/v)的表观黏度(A);25℃下不同处理时间冷等离子体处理组水凝胶(4%,w/v)的表观黏度(B);25℃下丝素蛋白水溶液的流变学特性:储能模量(G')和损耗模量(G'')的应变振幅扫描依赖性(角频率:6.28 rad/s)(C);黏弹性模量(G' 和 G'')(D);触变性随时间扫描的变化(E);25℃下不同处理时间冷等离子体处理组水凝胶的黏弹性模量(G' 和 G'')(F)
研究结论
本研究系统证实,冷等离子体(CP)处理是一种高效的非热物理策略,可调控丝素蛋白(SF)的结构与功能特性。与天然丝素蛋白相比,冷等离子体处理后的丝素蛋白水凝胶(CSF)凝胶化动力学显著加快,凝胶强度更高、弹性更佳且持水性提升。值得注意的是,其溶胶 - 凝胶转变时间缩短超过 138 小时,凸显了冷等离子体在温和条件下促进水凝胶形成的高效性。冷等离子体处理可诱导丝素蛋白分子部分解折叠,使 α- 螺旋含量降低,同时 β- 折叠结构增加;伴随这一构象转变,蛋白表面疏水性升高而 ζ- 电位降低,与图 2D 所示趋势及结果部分描述一致。氧化交联进一步促进了蛋白聚集体的形成,推动构建更致密、内聚性更强的水凝胶网络。流变学和结构分析证实,这些分子层面的修饰最终转化为宏观性能的显著提升。综上,冷等离子体技术为调控丝素蛋白结构提供了一种绿色、可控的方法,无需引入具有潜在细胞毒性的化学交联剂。深入理解丝素蛋白水凝胶的结构 - 力学 - 功能关系,为开发下一代食品级生物材料奠定了坚实基础,该材料可应用于食品结构构建、营养控释及功能性食品体系等领域。
通讯作者
江杨:山东农业大学食品科学与工程学院副教授,硕士生导师。主要研究方向:生物大分子材料的仿生构筑及应用;聚合物控制结晶与生物矿化;益生菌稳态化输送体系构建;生物大分子对结肠微生物群落空间分布干预机制。李大鹏:山东农业大学食品科学与工程学院教授,博士生导师。目前主要研究方向:1、食品营养与功能成分的健康调控机制研究:果蔬、谷物等食品中营养与功能成分在抗氧化、抗炎症、调节糖脂代谢、免疫调节等健康功效中的分子机制;2、营养功能成分的靶向递送技术研究:食品级纳米乳液体系的构建、功能成分稳态化及靶向递送技术;3、农产品加工副产物的高值化利用研究:农产品加工副产物中功能成分的提取、高值化加工技术及在食品加工和保藏中的应用。
Yang Jing:山东农业大学食品科学与工程学院。
资助基金
本研究由国家自然科学基金项目(编号:32202052)、中国博士后科学基金面上项目(编号:2023M732116) 以及枣庄市自主创新及技术转移计划项目(编号:2024GH07) 联合资助。
原文链接
https://doi.org/10.1016/j.foodres.2026.118343
标注 “原创” 仅表明为原创编译,本平台不主张对原文享有版权。
本平台转载内容仅出于学术交流与信息传播之目的,并不代表本平台观点,亦不意味着证实内容的真实性。
转载文章的版权归原作者所有,若原作者不希望作品被转载或存在侵权行为,请联系本平台删除。
由于编译水平有限,推文或简历中若有不妥之处,我们深表歉意,请联系本平台进行修改或删除。