当前位置:首页>农业>中科院东北地理与农业生态研究所WR| 气候变化下地下水补给增加将增强地下水依赖型生态系统中的固氮效率

中科院东北地理与农业生态研究所WR| 气候变化下地下水补给增加将增强地下水依赖型生态系统中的固氮效率

  • 2026-04-23 03:38:16
中科院东北地理与农业生态研究所WR| 气候变化下地下水补给增加将增强地下水依赖型生态系统中的固氮效率

摘要本文关注的是一个此前认识不足的问题:在气候变化背景下,地下水补给会如何影响干旱区地下水依赖型生态系统的固氮效率。作者整合多源特征数据,结合可解释机器学习与偏最小二乘结构方程模型,比较了两类未来气候情景下地下水补给对固氮效率驱动作用的变化。结果表明,未来两种情景下,地下水补给与生态系统固氮效率整体都呈增加趋势;在较温和的未来情景中,地下水补给和固氮效率分别增加约百分之五点八和百分之二十九点五六,在更强烈的未来情景中则分别增加约百分之九点八和百分之四十六点六四。全球尺度上,较温和情景下蒸散、叶面积指数和土壤水分是主要影响因素;更强烈情景下,辐射和气温成为更重要的主导因素。与全球平均格局不同,地下水补给在干旱区的贡献最为突出。结构方程分析进一步显示,在历史时期,水文过程对固氮效率存在限制作用;而在未来较温和情景下,这种限制转为明显促进,在更强烈情景下虽然促进作用有所减弱,但地下水补给仍是水文因子中的核心载荷来源。作者据此认为,地下水补给与固氮效率之间的联动,对地下水依赖型生态系统研究及生物多样性保护具有重要意义。

引言论文首先界定了地下水依赖型生态系统:这类生态系统部分或全部用水需求依赖地下水,主要分布在干旱、半干旱以及季节性缺水地区,虽然空间范围有限,却对维持区域生物多样性、生态服务和人类社会稳定具有关键意义。在干旱区,它们往往表现为“生态岛”,一方面与周围荒漠环境形成鲜明边界,另一方面又为地方特有和稀有物种提供栖息条件。由于地表水供应有限、蒸发需求强,许多耐旱植物必须依赖深根系统获取地下水。作者强调,地下水补给虽然并不直接进入植物根区所在的非饱和带,但它能够维持地下水系统稳定,并通过保持地下水储量和地下水位,间接支撑植被根区储水与生态系统长期运行,从而降低干旱期植被死亡风险并提升生态系统韧性。

接着,作者将问题转向固氮效率。固氮效率是维持生态系统氮平衡和初级生产力的核心机制,能够把大气中的氮转化为可利用形态,不仅提升土壤养分和植被生长,也有助于改善群落结构、增强抗逆性并促进碳汇积累。地下水补给作为地下水系统的重要过程,虽然不直接控制根区温度、湿度和蒸散,但其维持的地下水储量与水位稳定性,会间接影响固氮过程所依赖的土壤微环境。问题在于,随着气候变化加剧,极端降水与干旱事件的强度、频率和持续时间都在上升,地下水补给对生态系统的支撑能力也将持续变化。因此,弄清地下水补给和固氮效率的演变特征,以及地下水补给对固氮效率驱动作用如何改变,成为未来水资源管理与生态保护中的关键科学问题。

在文献回顾部分,作者指出,已有研究已经揭示了地下水系统对干旱和半干旱生态区的重要支撑作用,也表明地下水补给是区域水平衡的关键驱动过程。但既有工作更多关注地下水过度开采、生态退化风险、保护策略或地下水与植被之间的联系,对“地下水补给这一具体过程如何影响固氮效率”关注不足。尤其在气候变化日益严峻的背景下,地下水补给变化带来的生态响应,具有更强的现实意义。此外,传统统计方法和一般机器学习方法在多因素相对贡献比较、以及气候—水文—植被—人类活动之间复杂交互关系解释方面仍有局限。基于这一缺口,本文提出以多驱动因子整合、可解释方法和路径模型相结合的方式,对全球和分区尺度下地下水补给对固氮效率的相对贡献与作用机制进行系统分析。

材料与方法研究所用核心数据主要来自跨部门影响模型比较计划平台(ISIMIP)。作者提取了蒸散、土壤水分、叶面积指数、积雪深度、地下水补给、地表径流和固氮效率等生态水文变量,同时纳入降水、最高和最低近地表气温、向下长波辐射,以及经济、人口和二氧化碳浓度等人类活动背景因子。数据覆盖历史时期和两类未来气候路径,时间跨度从上世纪七十年代延续到本世纪末,空间分辨率统一为半度网格。固氮效率在原始数据中对应生物固氮量,作者说明其不包含非生物固氮和农业固氮,因此可近似作为生态系统固氮效率指标。

预处理方面,作者将不同来源和时间尺度的数据统一转换为逐年、统一空间分辨率的数据集,并通过多模型、多气候驱动结果平均来降低单一模型偏差。水文过程方面,地下水补给和径流采用社区水文模型输出;生态过程方面,固氮效率由两个陆面生态系统模型提供。作者还使用全球生物固氮数据对固氮效率进行了验证,并通过总径流一致性检验水文模型与生态模型在相同气候驱动条件下的相容性。

方法路径上,文章分两步展开。第一步,使用基于随机森林的可解释机器学习方法,评估不同因子对固氮效率的区域贡献,并将变量归为气候、水文、植被和人类活动四大类,以识别全球尺度和干旱区尺度的主导因素。第二步,使用偏最小二乘结构方程模型,量化水文、气候、植被和人类活动对固氮效率的直接路径与间接路径,并对比地下水依赖型生态系统与非地下水依赖区之间的机制差异。地下水依赖型生态系统的范围划分,则依据已有全球地下水依赖型生态系统分布图完成。

结果与讨论从时间变化看,未来地下水补给与固氮效率总体呈同步上升。较温和情景下,二者都表现为缓慢增加且波动相对稳定;更强烈情景下,增加幅度更大、年际波动也更剧烈。进一步区分地下水依赖型生态系统与非地下水依赖区后,非地下水依赖区的时间趋势与全球平均较为一致,而地下水依赖型生态系统内部波动更明显。这说明地下水依赖区由于水资源本就更稀缺,对极端气候条件更加敏感。

从空间分布看,相对于历史时期,较温和情景下,亚马孙地区地下水补给明显下降,而中非、美国东部、欧洲大部分地区、印度和东南亚东部则出现较明显增加。更强烈情景下,亚马孙和马来西亚的地下水补给下降更为显著。与地下水补给不同,固氮效率在全球大多数地区均呈增加趋势,尤其在高纬度地区上升更明显;但亚马孙盆地、东南亚东部以及中国部分沿海地区则出现显著下降。讨论部分进一步指出,这种“高纬增强、低纬受抑”的格局,反映了高纬地区在变暖背景下降水和径流增加、微生物活动延长,而热带部分区域则可能因快速升温与生理胁迫增强而受限。

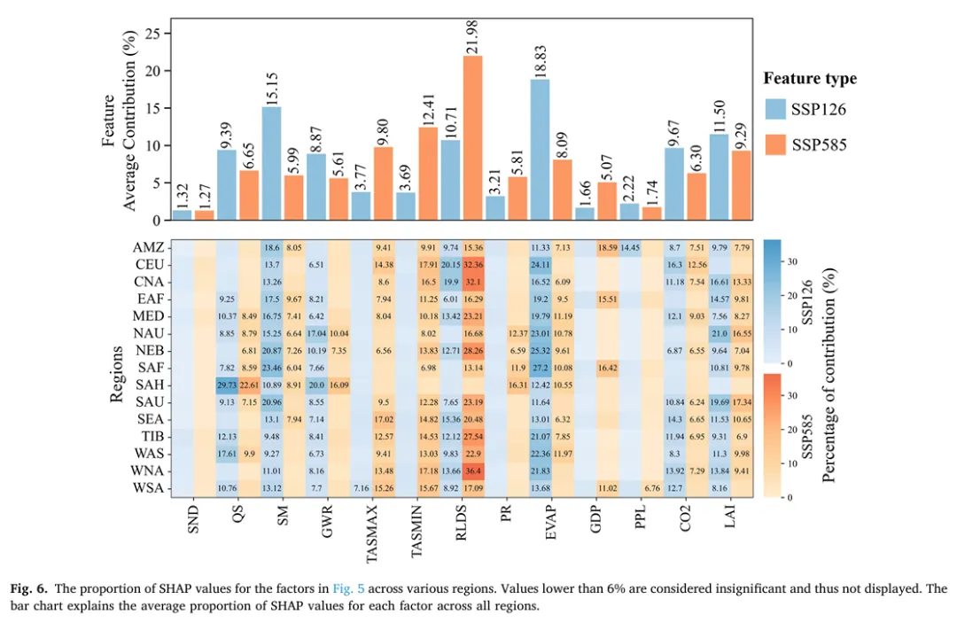
驱动因素分析显示,地下水补给在全球尺度上的解释力并不是最高,但在干旱区作用非常突出。较温和情景下,全球范围内蒸散、叶面积指数和土壤水分是更主要的解释变量;更强烈情景下,辐射和气温的重要性上升。可是,一旦聚焦干旱区和与地下水依赖型生态系统高度重叠的区域,地下水补给的贡献明显提升,说明这些地区的固氮过程对地下水过程具有更高敏感性。作者认为,在较温和情景下,较稳定的水文循环有利于维持土壤水气通透条件,从而改善固氮微生物环境;而在更强烈情景下,辐射增强和高温胁迫会更强地压制固氮效率。

机制分析是本文最重要的结果之一。结构方程模型表明,在地下水依赖型生态系统中,历史时期的水文作用对固氮效率表现为限制效应,直接影响为负,且地下水补给与地表径流是水文组中的主要载荷因子;但这一负向影响并非完全刚性,它能够通过植被间接路径得到缓冲。进入未来以后,这种关系发生了方向性转变:在较温和情景下,水文过程对固氮效率转为显著促进,且促进强度最强;在更强烈情景下,促进作用仍然存在,但较前者减弱。与此同时,植被始终是对固氮效率影响最强的直接和总效应来源,说明地下水补给并不是单独起作用,而是通过维持植被状态和改善土壤微环境,进一步影响固氮过程。

讨论部分对上述现象给出了解释。作者认为,较温和情景下,气候与水文过程协同提升植被叶面积,从而增强固氮相关生态过程;而在更强烈情景下,虽然更高的二氧化碳浓度可能促进植被生长,但高温和水分胁迫会削弱这一收益。与地下水依赖型生态系统相比,非地下水依赖区的地下水补给对固氮效率贡献明显更小,因为这些地区往往表层水和降水更充足,地下水更多承担辅助性缓冲作用,固氮所依赖的土壤水化学环境主要由降水和径流调节。此外,作者也提醒,由于水文变量之间存在较强相关性,例如降水与地下水补给、降水与蒸散、地表径流与地下水补给之间都存在明显共线关系,因此对驱动贡献的理解需要结合物理水量平衡关系来把握,而不能孤立看待单一因子。

整体来看,这篇文章最核心的结论有三点。第一,未来气候变化下,地下水补给与固氮效率总体都可能上升,但区域差异非常显著。第二,全球尺度上主导因子会随情景变化而更替,但在干旱区和地下水依赖型生态系统中,地下水补给始终是不可忽视、甚至占主导地位的关键驱动。第三,也是最重要的一点,地下水补给对固氮效率的作用并非固定不变,而是可能从历史时期的限制效应,转向未来情景下的促进效应,其中较温和情景下这种促进更强。这一发现意味着,在干旱地带生态保护、生物多样性维持和未来粮食安全讨论中,地下水补给不应仅被视为水量变量,更应被视为维系生态功能的重要调节环节。

最新文章

随机文章

基本 文件 流程 错误 SQL 调试
  1. 请求信息 : 2026-04-26 01:42:12 HTTP/2.0 GET : https://h.mffb.com.cn/a/507469.html
  2. 运行时间 : 0.131337s [ 吞吐率:7.61req/s ] 内存消耗:4,503.95kb 文件加载:140
  3. 缓存信息 : 0 reads,0 writes
  4. 会话信息 : SESSION_ID=23b4c7c92ce21c8a8a14ccb98582d319
  1. /yingpanguazai/ssd/ssd1/www/h.mffb.com.cn/public/index.php ( 0.79 KB )
  2. /yingpanguazai/ssd/ssd1/www/h.mffb.com.cn/vendor/autoload.php ( 0.17 KB )
  3. /yingpanguazai/ssd/ssd1/www/h.mffb.com.cn/vendor/composer/autoload_real.php ( 2.49 KB )
  4. /yingpanguazai/ssd/ssd1/www/h.mffb.com.cn/vendor/composer/platform_check.php ( 0.90 KB )
  5. /yingpanguazai/ssd/ssd1/www/h.mffb.com.cn/vendor/composer/ClassLoader.php ( 14.03 KB )
  6. /yingpanguazai/ssd/ssd1/www/h.mffb.com.cn/vendor/composer/autoload_static.php ( 4.90 KB )
  7. /yingpanguazai/ssd/ssd1/www/h.mffb.com.cn/vendor/topthink/think-helper/src/helper.php ( 8.34 KB )
  8. /yingpanguazai/ssd/ssd1/www/h.mffb.com.cn/vendor/topthink/think-validate/src/helper.php ( 2.19 KB )
  9. /yingpanguazai/ssd/ssd1/www/h.mffb.com.cn/vendor/topthink/think-orm/src/helper.php ( 1.47 KB )
  10. /yingpanguazai/ssd/ssd1/www/h.mffb.com.cn/vendor/topthink/think-orm/stubs/load_stubs.php ( 0.16 KB )
  11. /yingpanguazai/ssd/ssd1/www/h.mffb.com.cn/vendor/topthink/framework/src/think/Exception.php ( 1.69 KB )
  12. /yingpanguazai/ssd/ssd1/www/h.mffb.com.cn/vendor/topthink/think-container/src/Facade.php ( 2.71 KB )
  13. /yingpanguazai/ssd/ssd1/www/h.mffb.com.cn/vendor/symfony/deprecation-contracts/function.php ( 0.99 KB )
  14. /yingpanguazai/ssd/ssd1/www/h.mffb.com.cn/vendor/symfony/polyfill-mbstring/bootstrap.php ( 8.26 KB )
  15. /yingpanguazai/ssd/ssd1/www/h.mffb.com.cn/vendor/symfony/polyfill-mbstring/bootstrap80.php ( 9.78 KB )
  16. /yingpanguazai/ssd/ssd1/www/h.mffb.com.cn/vendor/symfony/var-dumper/Resources/functions/dump.php ( 1.49 KB )
  17. /yingpanguazai/ssd/ssd1/www/h.mffb.com.cn/vendor/topthink/think-dumper/src/helper.php ( 0.18 KB )
  18. /yingpanguazai/ssd/ssd1/www/h.mffb.com.cn/vendor/symfony/var-dumper/VarDumper.php ( 4.30 KB )
  19. /yingpanguazai/ssd/ssd1/www/h.mffb.com.cn/vendor/topthink/framework/src/think/App.php ( 15.30 KB )
  20. /yingpanguazai/ssd/ssd1/www/h.mffb.com.cn/vendor/topthink/think-container/src/Container.php ( 15.76 KB )
  21. /yingpanguazai/ssd/ssd1/www/h.mffb.com.cn/vendor/psr/container/src/ContainerInterface.php ( 1.02 KB )
  22. /yingpanguazai/ssd/ssd1/www/h.mffb.com.cn/app/provider.php ( 0.19 KB )
  23. /yingpanguazai/ssd/ssd1/www/h.mffb.com.cn/vendor/topthink/framework/src/think/Http.php ( 6.04 KB )
  24. /yingpanguazai/ssd/ssd1/www/h.mffb.com.cn/vendor/topthink/think-helper/src/helper/Str.php ( 7.29 KB )
  25. /yingpanguazai/ssd/ssd1/www/h.mffb.com.cn/vendor/topthink/framework/src/think/Env.php ( 4.68 KB )
  26. /yingpanguazai/ssd/ssd1/www/h.mffb.com.cn/app/common.php ( 0.03 KB )
  27. /yingpanguazai/ssd/ssd1/www/h.mffb.com.cn/vendor/topthink/framework/src/helper.php ( 18.78 KB )
  28. /yingpanguazai/ssd/ssd1/www/h.mffb.com.cn/vendor/topthink/framework/src/think/Config.php ( 5.54 KB )
  29. /yingpanguazai/ssd/ssd1/www/h.mffb.com.cn/config/app.php ( 0.95 KB )
  30. /yingpanguazai/ssd/ssd1/www/h.mffb.com.cn/config/cache.php ( 0.78 KB )
  31. /yingpanguazai/ssd/ssd1/www/h.mffb.com.cn/config/console.php ( 0.23 KB )
  32. /yingpanguazai/ssd/ssd1/www/h.mffb.com.cn/config/cookie.php ( 0.56 KB )
  33. /yingpanguazai/ssd/ssd1/www/h.mffb.com.cn/config/database.php ( 2.48 KB )
  34. /yingpanguazai/ssd/ssd1/www/h.mffb.com.cn/vendor/topthink/framework/src/think/facade/Env.php ( 1.67 KB )
  35. /yingpanguazai/ssd/ssd1/www/h.mffb.com.cn/config/filesystem.php ( 0.61 KB )
  36. /yingpanguazai/ssd/ssd1/www/h.mffb.com.cn/config/lang.php ( 0.91 KB )
  37. /yingpanguazai/ssd/ssd1/www/h.mffb.com.cn/config/log.php ( 1.35 KB )
  38. /yingpanguazai/ssd/ssd1/www/h.mffb.com.cn/config/middleware.php ( 0.19 KB )
  39. /yingpanguazai/ssd/ssd1/www/h.mffb.com.cn/config/route.php ( 1.89 KB )
  40. /yingpanguazai/ssd/ssd1/www/h.mffb.com.cn/config/session.php ( 0.57 KB )
  41. /yingpanguazai/ssd/ssd1/www/h.mffb.com.cn/config/trace.php ( 0.34 KB )
  42. /yingpanguazai/ssd/ssd1/www/h.mffb.com.cn/config/view.php ( 0.82 KB )
  43. /yingpanguazai/ssd/ssd1/www/h.mffb.com.cn/app/event.php ( 0.25 KB )
  44. /yingpanguazai/ssd/ssd1/www/h.mffb.com.cn/vendor/topthink/framework/src/think/Event.php ( 7.67 KB )
  45. /yingpanguazai/ssd/ssd1/www/h.mffb.com.cn/app/service.php ( 0.13 KB )
  46. /yingpanguazai/ssd/ssd1/www/h.mffb.com.cn/app/AppService.php ( 0.26 KB )
  47. /yingpanguazai/ssd/ssd1/www/h.mffb.com.cn/vendor/topthink/framework/src/think/Service.php ( 1.64 KB )
  48. /yingpanguazai/ssd/ssd1/www/h.mffb.com.cn/vendor/topthink/framework/src/think/Lang.php ( 7.35 KB )
  49. /yingpanguazai/ssd/ssd1/www/h.mffb.com.cn/vendor/topthink/framework/src/lang/zh-cn.php ( 13.70 KB )
  50. /yingpanguazai/ssd/ssd1/www/h.mffb.com.cn/vendor/topthink/framework/src/think/initializer/Error.php ( 3.31 KB )
  51. /yingpanguazai/ssd/ssd1/www/h.mffb.com.cn/vendor/topthink/framework/src/think/initializer/RegisterService.php ( 1.33 KB )
  52. /yingpanguazai/ssd/ssd1/www/h.mffb.com.cn/vendor/services.php ( 0.14 KB )
  53. /yingpanguazai/ssd/ssd1/www/h.mffb.com.cn/vendor/topthink/framework/src/think/service/PaginatorService.php ( 1.52 KB )
  54. /yingpanguazai/ssd/ssd1/www/h.mffb.com.cn/vendor/topthink/framework/src/think/service/ValidateService.php ( 0.99 KB )
  55. /yingpanguazai/ssd/ssd1/www/h.mffb.com.cn/vendor/topthink/framework/src/think/service/ModelService.php ( 2.04 KB )
  56. /yingpanguazai/ssd/ssd1/www/h.mffb.com.cn/vendor/topthink/think-trace/src/Service.php ( 0.77 KB )
  57. /yingpanguazai/ssd/ssd1/www/h.mffb.com.cn/vendor/topthink/framework/src/think/Middleware.php ( 6.72 KB )
  58. /yingpanguazai/ssd/ssd1/www/h.mffb.com.cn/vendor/topthink/framework/src/think/initializer/BootService.php ( 0.77 KB )
  59. /yingpanguazai/ssd/ssd1/www/h.mffb.com.cn/vendor/topthink/think-orm/src/Paginator.php ( 11.86 KB )
  60. /yingpanguazai/ssd/ssd1/www/h.mffb.com.cn/vendor/topthink/think-validate/src/Validate.php ( 63.20 KB )
  61. /yingpanguazai/ssd/ssd1/www/h.mffb.com.cn/vendor/topthink/think-orm/src/Model.php ( 23.55 KB )
  62. /yingpanguazai/ssd/ssd1/www/h.mffb.com.cn/vendor/topthink/think-orm/src/model/concern/Attribute.php ( 21.05 KB )
  63. /yingpanguazai/ssd/ssd1/www/h.mffb.com.cn/vendor/topthink/think-orm/src/model/concern/AutoWriteData.php ( 4.21 KB )
  64. /yingpanguazai/ssd/ssd1/www/h.mffb.com.cn/vendor/topthink/think-orm/src/model/concern/Conversion.php ( 6.44 KB )
  65. /yingpanguazai/ssd/ssd1/www/h.mffb.com.cn/vendor/topthink/think-orm/src/model/concern/DbConnect.php ( 5.16 KB )
  66. /yingpanguazai/ssd/ssd1/www/h.mffb.com.cn/vendor/topthink/think-orm/src/model/concern/ModelEvent.php ( 2.33 KB )
  67. /yingpanguazai/ssd/ssd1/www/h.mffb.com.cn/vendor/topthink/think-orm/src/model/concern/RelationShip.php ( 28.29 KB )
  68. /yingpanguazai/ssd/ssd1/www/h.mffb.com.cn/vendor/topthink/think-helper/src/contract/Arrayable.php ( 0.09 KB )
  69. /yingpanguazai/ssd/ssd1/www/h.mffb.com.cn/vendor/topthink/think-helper/src/contract/Jsonable.php ( 0.13 KB )
  70. /yingpanguazai/ssd/ssd1/www/h.mffb.com.cn/vendor/topthink/think-orm/src/model/contract/Modelable.php ( 0.09 KB )
  71. /yingpanguazai/ssd/ssd1/www/h.mffb.com.cn/vendor/topthink/framework/src/think/Db.php ( 2.88 KB )
  72. /yingpanguazai/ssd/ssd1/www/h.mffb.com.cn/vendor/topthink/think-orm/src/DbManager.php ( 8.52 KB )
  73. /yingpanguazai/ssd/ssd1/www/h.mffb.com.cn/vendor/topthink/framework/src/think/Log.php ( 6.28 KB )
  74. /yingpanguazai/ssd/ssd1/www/h.mffb.com.cn/vendor/topthink/framework/src/think/Manager.php ( 3.92 KB )
  75. /yingpanguazai/ssd/ssd1/www/h.mffb.com.cn/vendor/psr/log/src/LoggerTrait.php ( 2.69 KB )
  76. /yingpanguazai/ssd/ssd1/www/h.mffb.com.cn/vendor/psr/log/src/LoggerInterface.php ( 2.71 KB )
  77. /yingpanguazai/ssd/ssd1/www/h.mffb.com.cn/vendor/topthink/framework/src/think/Cache.php ( 4.92 KB )
  78. /yingpanguazai/ssd/ssd1/www/h.mffb.com.cn/vendor/psr/simple-cache/src/CacheInterface.php ( 4.71 KB )
  79. /yingpanguazai/ssd/ssd1/www/h.mffb.com.cn/vendor/topthink/think-helper/src/helper/Arr.php ( 16.63 KB )
  80. /yingpanguazai/ssd/ssd1/www/h.mffb.com.cn/vendor/topthink/framework/src/think/cache/driver/File.php ( 7.84 KB )
  81. /yingpanguazai/ssd/ssd1/www/h.mffb.com.cn/vendor/topthink/framework/src/think/cache/Driver.php ( 9.03 KB )
  82. /yingpanguazai/ssd/ssd1/www/h.mffb.com.cn/vendor/topthink/framework/src/think/contract/CacheHandlerInterface.php ( 1.99 KB )
  83. /yingpanguazai/ssd/ssd1/www/h.mffb.com.cn/app/Request.php ( 0.09 KB )
  84. /yingpanguazai/ssd/ssd1/www/h.mffb.com.cn/vendor/topthink/framework/src/think/Request.php ( 55.78 KB )
  85. /yingpanguazai/ssd/ssd1/www/h.mffb.com.cn/app/middleware.php ( 0.25 KB )
  86. /yingpanguazai/ssd/ssd1/www/h.mffb.com.cn/vendor/topthink/framework/src/think/Pipeline.php ( 2.61 KB )
  87. /yingpanguazai/ssd/ssd1/www/h.mffb.com.cn/vendor/topthink/think-trace/src/TraceDebug.php ( 3.40 KB )
  88. /yingpanguazai/ssd/ssd1/www/h.mffb.com.cn/vendor/topthink/framework/src/think/middleware/SessionInit.php ( 1.94 KB )
  89. /yingpanguazai/ssd/ssd1/www/h.mffb.com.cn/vendor/topthink/framework/src/think/Session.php ( 1.80 KB )
  90. /yingpanguazai/ssd/ssd1/www/h.mffb.com.cn/vendor/topthink/framework/src/think/session/driver/File.php ( 6.27 KB )
  91. /yingpanguazai/ssd/ssd1/www/h.mffb.com.cn/vendor/topthink/framework/src/think/contract/SessionHandlerInterface.php ( 0.87 KB )
  92. /yingpanguazai/ssd/ssd1/www/h.mffb.com.cn/vendor/topthink/framework/src/think/session/Store.php ( 7.12 KB )
  93. /yingpanguazai/ssd/ssd1/www/h.mffb.com.cn/vendor/topthink/framework/src/think/Route.php ( 23.73 KB )
  94. /yingpanguazai/ssd/ssd1/www/h.mffb.com.cn/vendor/topthink/framework/src/think/route/RuleName.php ( 5.75 KB )
  95. /yingpanguazai/ssd/ssd1/www/h.mffb.com.cn/vendor/topthink/framework/src/think/route/Domain.php ( 2.53 KB )
  96. /yingpanguazai/ssd/ssd1/www/h.mffb.com.cn/vendor/topthink/framework/src/think/route/RuleGroup.php ( 22.43 KB )
  97. /yingpanguazai/ssd/ssd1/www/h.mffb.com.cn/vendor/topthink/framework/src/think/route/Rule.php ( 26.95 KB )
  98. /yingpanguazai/ssd/ssd1/www/h.mffb.com.cn/vendor/topthink/framework/src/think/route/RuleItem.php ( 9.78 KB )
  99. /yingpanguazai/ssd/ssd1/www/h.mffb.com.cn/route/app.php ( 1.72 KB )
  100. /yingpanguazai/ssd/ssd1/www/h.mffb.com.cn/vendor/topthink/framework/src/think/facade/Route.php ( 4.70 KB )
  101. /yingpanguazai/ssd/ssd1/www/h.mffb.com.cn/vendor/topthink/framework/src/think/route/dispatch/Controller.php ( 4.74 KB )
  102. /yingpanguazai/ssd/ssd1/www/h.mffb.com.cn/vendor/topthink/framework/src/think/route/Dispatch.php ( 10.44 KB )
  103. /yingpanguazai/ssd/ssd1/www/h.mffb.com.cn/app/controller/Index.php ( 4.81 KB )
  104. /yingpanguazai/ssd/ssd1/www/h.mffb.com.cn/app/BaseController.php ( 2.05 KB )
  105. /yingpanguazai/ssd/ssd1/www/h.mffb.com.cn/vendor/topthink/think-orm/src/facade/Db.php ( 0.93 KB )
  106. /yingpanguazai/ssd/ssd1/www/h.mffb.com.cn/vendor/topthink/think-orm/src/db/connector/Mysql.php ( 5.44 KB )
  107. /yingpanguazai/ssd/ssd1/www/h.mffb.com.cn/vendor/topthink/think-orm/src/db/PDOConnection.php ( 52.47 KB )
  108. /yingpanguazai/ssd/ssd1/www/h.mffb.com.cn/vendor/topthink/think-orm/src/db/Connection.php ( 8.39 KB )
  109. /yingpanguazai/ssd/ssd1/www/h.mffb.com.cn/vendor/topthink/think-orm/src/db/ConnectionInterface.php ( 4.57 KB )
  110. /yingpanguazai/ssd/ssd1/www/h.mffb.com.cn/vendor/topthink/think-orm/src/db/builder/Mysql.php ( 16.58 KB )
  111. /yingpanguazai/ssd/ssd1/www/h.mffb.com.cn/vendor/topthink/think-orm/src/db/Builder.php ( 24.06 KB )
  112. /yingpanguazai/ssd/ssd1/www/h.mffb.com.cn/vendor/topthink/think-orm/src/db/BaseBuilder.php ( 27.50 KB )
  113. /yingpanguazai/ssd/ssd1/www/h.mffb.com.cn/vendor/topthink/think-orm/src/db/Query.php ( 15.71 KB )
  114. /yingpanguazai/ssd/ssd1/www/h.mffb.com.cn/vendor/topthink/think-orm/src/db/BaseQuery.php ( 45.13 KB )
  115. /yingpanguazai/ssd/ssd1/www/h.mffb.com.cn/vendor/topthink/think-orm/src/db/concern/TimeFieldQuery.php ( 7.43 KB )
  116. /yingpanguazai/ssd/ssd1/www/h.mffb.com.cn/vendor/topthink/think-orm/src/db/concern/AggregateQuery.php ( 3.26 KB )
  117. /yingpanguazai/ssd/ssd1/www/h.mffb.com.cn/vendor/topthink/think-orm/src/db/concern/ModelRelationQuery.php ( 20.07 KB )
  118. /yingpanguazai/ssd/ssd1/www/h.mffb.com.cn/vendor/topthink/think-orm/src/db/concern/ParamsBind.php ( 3.66 KB )
  119. /yingpanguazai/ssd/ssd1/www/h.mffb.com.cn/vendor/topthink/think-orm/src/db/concern/ResultOperation.php ( 7.01 KB )
  120. /yingpanguazai/ssd/ssd1/www/h.mffb.com.cn/vendor/topthink/think-orm/src/db/concern/WhereQuery.php ( 19.37 KB )
  121. /yingpanguazai/ssd/ssd1/www/h.mffb.com.cn/vendor/topthink/think-orm/src/db/concern/JoinAndViewQuery.php ( 7.11 KB )
  122. /yingpanguazai/ssd/ssd1/www/h.mffb.com.cn/vendor/topthink/think-orm/src/db/concern/TableFieldInfo.php ( 2.63 KB )
  123. /yingpanguazai/ssd/ssd1/www/h.mffb.com.cn/vendor/topthink/think-orm/src/db/concern/Transaction.php ( 2.77 KB )
  124. /yingpanguazai/ssd/ssd1/www/h.mffb.com.cn/vendor/topthink/framework/src/think/log/driver/File.php ( 5.96 KB )
  125. /yingpanguazai/ssd/ssd1/www/h.mffb.com.cn/vendor/topthink/framework/src/think/contract/LogHandlerInterface.php ( 0.86 KB )
  126. /yingpanguazai/ssd/ssd1/www/h.mffb.com.cn/vendor/topthink/framework/src/think/log/Channel.php ( 3.89 KB )
  127. /yingpanguazai/ssd/ssd1/www/h.mffb.com.cn/vendor/topthink/framework/src/think/event/LogRecord.php ( 1.02 KB )
  128. /yingpanguazai/ssd/ssd1/www/h.mffb.com.cn/vendor/topthink/think-helper/src/Collection.php ( 16.47 KB )
  129. /yingpanguazai/ssd/ssd1/www/h.mffb.com.cn/vendor/topthink/framework/src/think/facade/View.php ( 1.70 KB )
  130. /yingpanguazai/ssd/ssd1/www/h.mffb.com.cn/vendor/topthink/framework/src/think/View.php ( 4.39 KB )
  131. /yingpanguazai/ssd/ssd1/www/h.mffb.com.cn/vendor/topthink/framework/src/think/Response.php ( 8.81 KB )
  132. /yingpanguazai/ssd/ssd1/www/h.mffb.com.cn/vendor/topthink/framework/src/think/response/View.php ( 3.29 KB )
  133. /yingpanguazai/ssd/ssd1/www/h.mffb.com.cn/vendor/topthink/framework/src/think/Cookie.php ( 6.06 KB )
  134. /yingpanguazai/ssd/ssd1/www/h.mffb.com.cn/vendor/topthink/think-view/src/Think.php ( 8.38 KB )
  135. /yingpanguazai/ssd/ssd1/www/h.mffb.com.cn/vendor/topthink/framework/src/think/contract/TemplateHandlerInterface.php ( 1.60 KB )
  136. /yingpanguazai/ssd/ssd1/www/h.mffb.com.cn/vendor/topthink/think-template/src/Template.php ( 46.61 KB )
  137. /yingpanguazai/ssd/ssd1/www/h.mffb.com.cn/vendor/topthink/think-template/src/template/driver/File.php ( 2.41 KB )
  138. /yingpanguazai/ssd/ssd1/www/h.mffb.com.cn/vendor/topthink/think-template/src/template/contract/DriverInterface.php ( 0.86 KB )
  139. /yingpanguazai/ssd/ssd1/www/h.mffb.com.cn/runtime/temp/32b793ebdcbdb96aeb8bb24c123b0bef.php ( 11.98 KB )
  140. /yingpanguazai/ssd/ssd1/www/h.mffb.com.cn/vendor/topthink/think-trace/src/Html.php ( 4.42 KB )
  1. CONNECT:[ UseTime:0.000745s ] mysql:host=127.0.0.1;port=3306;dbname=h_mffb;charset=utf8mb4
  2. SHOW FULL COLUMNS FROM `fenlei` [ RunTime:0.000713s ]
  3. SELECT * FROM `fenlei` WHERE `fid` = 0 [ RunTime:0.000325s ]
  4. SELECT * FROM `fenlei` WHERE `fid` = 63 [ RunTime:0.000294s ]
  5. SHOW FULL COLUMNS FROM `set` [ RunTime:0.000487s ]
  6. SELECT * FROM `set` [ RunTime:0.000203s ]
  7. SHOW FULL COLUMNS FROM `article` [ RunTime:0.000604s ]
  8. SELECT * FROM `article` WHERE `id` = 507469 LIMIT 1 [ RunTime:0.000429s ]
  9. UPDATE `article` SET `lasttime` = 1777138932 WHERE `id` = 507469 [ RunTime:0.012282s ]
  10. SELECT * FROM `fenlei` WHERE `id` = 64 LIMIT 1 [ RunTime:0.001200s ]
  11. SELECT * FROM `article` WHERE `id` < 507469 ORDER BY `id` DESC LIMIT 1 [ RunTime:0.002397s ]
  12. SELECT * FROM `article` WHERE `id` > 507469 ORDER BY `id` ASC LIMIT 1 [ RunTime:0.000649s ]
  13. SELECT * FROM `article` WHERE `id` < 507469 ORDER BY `id` DESC LIMIT 10 [ RunTime:0.008656s ]
  14. SELECT * FROM `article` WHERE `id` < 507469 ORDER BY `id` DESC LIMIT 10,10 [ RunTime:0.025154s ]
  15. SELECT * FROM `article` WHERE `id` < 507469 ORDER BY `id` DESC LIMIT 20,10 [ RunTime:0.010425s ]
0.134039s