
英文题目:Croprotation increases Tibetan barley yield and soil quality on the Tibetan Plateau
中文题目:作物轮作提高了青稞产量并改善了青藏高原的土壤质量
期刊名称:Nature Food
影响因子:23.6
作者单位:中国农业科学院
DOI:https://dx.doi.org/10.1038/s43016-024-01094-8
研究背景
研究路线

研究结果
01
西藏青稞轮作对产量的影响
在青藏高原地区共选择了39块青稞田进行土壤化学性质测试和产量统计。与CC5(≤5年CC)相比,CC10(5-10年CC)和CC10+(≥10年CC)的产量分别下降了10%和23%(图1)。CW5(≤5年青稞-小麦轮作)、CW10(5-10年青稞-小麦轮作)和CW10+(≥10年青稞-小麦轮作)的产量分别比CC5、CC10和CC10+高6%、9%和17%。CR5(≤5年青稞轮作)和CR10(5-10年青稞轮作)的产量分别比CC5和CC10高8%和12%。

图1.西藏青稞长期连作和轮作的平均产量。在CC5、CW5、CR5、CC10、CW10、CR10、CC10+、CW10+中,橙色代表CC,绿色代表CW,紫色代表CR。每种处理均使用生物学重复。数据以平均值±标准偏差表示。经邓肯多重比较分析计算,不同字母表示藏青稞产量之间存在显著差异。
02
连作与轮作的土壤差异
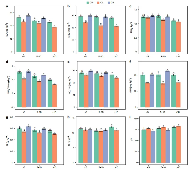
与短期种植相比,藏青稞长期连作和轮作都显著降低了土壤有机质(SOM)含量(图2a)。与CC相比,CW和CR明显增加了SOM含量。随着种植年限的增加,三种种植模式的SOM含量均有所下降。轮作模式的土壤微生物生物量碳(MBC)含量明显高于连作模式(图2b)。CR5和CR10的土壤MBC含量分别比CC5和CC10高23%和33%。两种轮作模式的土壤中的多溴联苯含量随着种植年限的增加而降低。
与连作相比,藏青稞与油菜轮作的三个轮作年的土壤全氮(TN)含量都有所增加(图2c)。与CC10相比,CW10显著增加了土壤TN含量。长期连作和轮作显著降低了土壤中的NH4+ -N含量(图2d)。CW和CR明显增加了土壤中的NH4+ -N含量。CW5和CR5的土壤NH4+ -N含量分别比CC5高25%和27%。CC5和CW5的土壤NO3- -N 含量明显低于CR5,CC10的土壤NO3- -N含量明显低于CR10(图2e)。CR10的土壤微生物生物量氮(MBN)含量比CC10高45%(图2f)。CW和CR的全磷(TP)含量明显高于CC(图2g)。CR5的TP含量明显高于CC5和CW5,分别增加了17%和5%。当种植时间小于10年时,土壤全钾(TK)含量与种植模式无明显差异(图2h)。CC的pH值明显高于CW和CR(图2i)。随着青稞连作和轮作年限的增加,土壤pH值也随之升高。
对西藏青稞田9种土壤性质的相关性分析表明,SOM与pH的相关性最高,且呈负相关。西藏青稞田中TK含量的变化与其他土壤特性无显著相关性,与TN的相关性最弱。西藏青稞田土壤碳、氮含量的变化与MBC和MBN含量的变化呈显著正相关。

图2.西藏青稞连作和轮作不同年份的SOM、MBC、TN、NH4+ -N、NO3- -N、MBN、TP、TK和pH的差异。橙色代表CC,绿色代表CW,紫色代表CR。CC处理:≤5,小于或等于5年;5-10,5-10年;≥10,大于或等于10年。在CC5、CW5、CR5、CC10、CW10、CR10、CC10+、CW10+中分别有n=24、n=15、n=18、n=15、n=9、n=9、n=18、n=9。每种处理均使用生物学重复。数据以平均值±标准误差表示。经邓肯多重比较分析计算,不同字母表示藏青稞产量之间存在显著差异。
03
连作和轮作的土壤质量指数(SQI)
SQI可用来衡量土壤退化程度和土壤健康状况。我们分析了不同连作年和轮作年的SQI。随着青稞连作年限的增加,SQI呈下降趋势,青稞连作CC5年和CC10+年的SQI下降趋势高于CC10年。CC5、CC10和CC10+的SQI分别为1.00、0.93和0.87。藏青稞与小麦和油菜长期轮作的SQI明显低于短期轮作的SQI。如果考虑同一种植年度,藏青稞连作的SQI在三个种植期的三种种植模式中最低。CR5和CR10的SQI高于CW5和CW10(图3a,b)。CW10+的SQI明显高于CC10+(图3c)。CW10+和CR10的SQI面积与CC5面积之比分别为1.15和1.21。从CC5到CC10范围内的SQI比从CC10到CC10+范围内的SQI下降得更快。CC的SQI下降速度快于CW和CR。

图3.同一种植年度三种种植模式下西藏青稞土壤的SQI。
讨论与总结
Wu, H., Liu, E., Jin, T. et al. Croprotation increases Tibetan barley yield and soil quality on the Tibetan Plateau. Nat Food (2025). https://doi.org/10.1038/s43016-024-01094-8.

END
推 荐 阅 读
2、春季招聘火热开启!实验室技术主管、区域销售经理等岗位虚位以待!
3、产品介绍 | 温室气体检测
4、文献分享丨中国农业大学李金杰团队揭示水稻CTB5自然变异促进高原粳稻冷适应性的遗传基础和分子机制
