
点击文章名,在线阅读全文

张璐, 黄睿, 王照琪, 等/考虑恢复力与经济性均衡的配电网移动储能优化配置策略/2020,44(21):23-31.
文章导读
01
整体思路与框架
考虑恢复力与经济性均衡的配电网移动储能优化配置策略的架构如图1所示。

图1 台风灾害下配电网均衡配置策略架构
02
数据-机理联合驱动的台风下配电网故障率模型
本文建立基于数据-机理联合驱动的台风下配电网故障率模型。利用条件风险价值(conditional value at risk,CVaR)量度台风持续时间的平均风险值,继而较真实地评估台风对配电网的影响;利用鲁棒优化方法有效处理不确定的台风参数;同时,在台风持续时间的离散样本条件下,利用φ散度构建不确定概率置信域。所提方法能够在小样本数据条件下提高台风灾害下配电网故障率概率评估模型的精度。所提数据-机理联合驱动的故障率模型的总体流程如图2所示。

图2 台风灾害下配电网故障率建模流程
03
考虑配电网恢复力与经济性均衡的移动储能优化配置策略
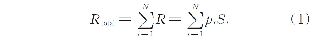
在台风灾害下的恢复力建模方面,基于风险值理论,配电网损失可表示为所有可能损坏的生命线设备的故障率与故障后果的乘积之和,即

式中:pi和Si分别为第i处故障发生的概率和后果。
进一步以最大程度减小配电网负荷的停电损失作为优化目标,构建移动储能对配电网恢复力的提升作用模型为:

式中:ZCVaR(t)为台风持续时间的条件风险值;ΔSi为在第i处加入储能装置后负荷停电损失的减少量;pi(ZCVaR(t))为该条件风险值下配电网第i个节点的总故障率。
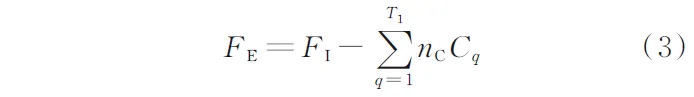
在配电网常态运行的移动储能经济性建模方面,移动储能经济性的表达式为:

式中:FI为储能装置的经济收入;nC为配置的移动储能数量;Cq为单个储能装置在第q年的投资成本;T1为规划周期(年)。
本文将配电网经济性、恢复力作为两个博弈主体,并定义FE和FC分别为经济性和恢复力的子目标函数。从谈判者FE的角度出发,考虑到移动储能在配电网常态运行下的经济性一般为负,d1=FE(max x)即为谈判过程中经济性的下限值;而从FC的角度出发,d2=0即为谈判过程中恢复力的下限值。因此将谈判破裂点(d1,d2)的值取目标函数FE和FC的最小值,即(d1,d2)=(-4.527×106,0),进而得到台风气候下配电网恢复力、经济性的纳什谈判博弈目标函数为:

最后将投入的储能容量作为自变量,进行经济性、恢复力双方的博弈,并采用NSGA-II算法求解,通过非支配排序后通过遗传算法的选择、交叉、变异3个基本操作不断得到子代种群,当达到迭代次数时计算结束,所得到的子代种群即为目标函数最优解。
04
算例分析
针对如图3所示的改进IEEE 33节点配电系统模型,使用功率为10 kW、容量为25 kW·h的阀控铅酸电池进行应急供电。

图3 IEEE 33 节点配电系统拓扑
方案1-1和方案1-2:分别根据总体样本和少量样本建立高斯模型,求解拟合高斯分布函数的CVaR值。
方案1-3和方案1-4:分别根据总体样本和少量样本建立基于φ散度修正不确定集合置信域的鲁棒优化模型,求解拉格朗日对偶规划模型的CVaR值。
上述4个方案得到台风持续时间的条件风险值分别为309.66 h、441.33 h、293.34 h和278.39 h。因此,在极端灾害数据样本容量小的前提下求解台风持续时间的CVaR值,基于φ散度的鲁棒优化模型相比于传统高斯模型更能得到精确的结果。
方案2-1:仅考虑台风对配电网故障率的影响求解移动储能的配置方案。
方案2-2:考虑台风、暴雨并发灾害对配电网故障率的影响求解移动储能的配置方案。
求解方案2-1和2-2对应场景的配电网故障率,得到故障率数值如表1所示。因此,方案2-2相较于方案2-1更能全面、准确地反映台风灾害下配电网的故障率。
表1 多重并发灾害下的配电网故障率

方案3-1:考虑极端灾害下配电网恢复力、经济性的均衡问题,建立纳什谈判博弈模型,利用NSGA-II求解,得到移动储能容量的最优配置方案。
方案3-2和方案3-3:考虑极端灾害下配电网恢复力、经济性的均衡问题,建立熵权模型,权重向量分别为:X1=[0.716,0.284]和X2=[0.782,0.218]。
各方案移动储能容量配置结果和配电网恢复力、经济性的均衡结果如表2所示。因此,利用纳什谈判博弈模型得到的移动储能容量配置方案更优,继而得到更合理的移动储能装置配置方案,均衡提升配电网恢复力和经济性。
表2 不同配置方案对配电网恢复力和经济性的影响

建立以投入的储能容量为自变量的灵敏度评估方案:2种方法得到分布在Pareto前沿上的3组初始解如图4(a)所示,增加和减少10 kW·h的储能容量进行均衡解的计算,分别得到3组效益的变化量,并以图4(b)所示的总效益增量曲线为基准,对比2类方案的自变量在图中的位置,继而分析模型的灵敏度。

图4 储能配置策略的Pareto前沿及总效益增量曲线
05
后续研究方向或讨论话题
由于移动储能配置位置的不同会影响配电网受灾之后的应急供电,继而影响配电网恢复力的提升,所以今后的研究工作需要进一步考虑供电位置对本文模型的影响。
▎参考文献
[1] 张璐,黄睿,王照琪,唐巍,陈颖.考虑恢复力与经济性均衡的配电网移动储能优化配置策略[J/OL].电力系统自动化:1-10[2020-10-21].http://kns.cnki.net/kcms/detail/32.1180.TP.20200804.1048.002.html.


延伸阅读

1
别朝红,林雁翎,邱爱慈.弹性电网及其恢复力的基本概念与研究展望[J].电力系统自动化,2015,39(22):1-9.
2
张璐,唐巍,丛鹏伟,白牧可,所丽.基于机会约束规划和二层规划的配电网广义电源优化配置[J].电力系统自动化,2014,38(5):50-58.
3
张璐,唐巍,丛鹏伟,白牧可,所丽,谭煌.含光伏发电的配电网有功无功资源综合优化配置[J].中国电机工程学报,2014,34(31):5525-5533.



原文发表在《电力系统自动化》2020年第44卷第21期,欢迎品读!
引文信息
张璐, 黄睿, 王照琪, 等. 考虑恢复力与经济性均衡的配电网移动储能优化配置策略[J]. 电力系统自动化, 2020, 44(21): 23-31. DOI: 10.7500/ AEPS20200222006.
ZHANG Lu, HUANG Rui, WANG Zhaoqi, et al. Optimal Configuration Strategy of Mobile Energy Storage in Distribution Network Considering Balance Between Resilience and Economy[J]. Automation of Electric Power Systems, 2020, 44(21): 23-31. DOI: 10.7500/ AEPS20200222006.
主要作者简介
唐 巍

中国农业大学教授,博士生导师。研究方向为配电网规划与评估、智能配电网运行控制、综合能源系统与能源互联网。E-mail:wei_tang@cau.edu.cn。国家电网公司科技项目咨询专家,配电变压器节能技术北京重点实验室学术委员,中国系统仿真学会电力系统仿真专委会副主任,IEEE PES输配电技术委员会(中国)配电网与分布式电源技术分委会副主席。宝钢教育基金优秀教师奖获得者。发表论文130篇,获国家电网公司科技进步一、三等奖各1项,国家电网公司优秀推广项目奖2项,国家能源局软科学研究优秀成果三等奖1项。

张 璐
博士,中国农业大学副教授,博士生导师。主要研究方向包括交直流混合配电网、分布式电源和电动汽车消纳技术等。E-mail:zhanglu1@cau.edu.cn。主持承担国家自然科学基金面上项目、青年项目、国家电网有限公司总部科技项目、中国博士后基金、国家重点实验室开放基金项目等10余项;曾受邀赴英国参与世界上首个中压直流配电网工程项目ANGLE-DC。累计发表学术论文60余篇。
团队介绍
唐巍教授团队在IEEE Transactions on Power Systems、IEEE Transactions on Smart Grid、中国电机工程学报、电力系统自动化等期刊会议上发表论文150余篇。主持承担国家重点研发计划项目、国家科技支撑计划项目、国家自然科学基金、NSFC-UKRI_EPSRC项目(中英)基金项目、国家电网公司重点项目、南方电网公司科技项目30余项。获得国家电网公司科技进步一等奖、三等奖各1项,国家电网公司优秀推广项目奖2项,华北电网公司科技进步三等奖1项。主持研发的“农村电网建设与改造综合评价软件”在全国26个省、2000多个县推广应用。

温馨提示
由于微信改版,您手机上的公众号显示内容将不再以时间排序,导致大量粉丝经常看不到我们的推送,因此强烈建议星标我们,置顶公众号。星标具体步骤为:
1)点击本页面最上方“电力系统自动化”,进入公众号主页;
2)点击右上角的三个小点点,在弹出页面点击“设为星标”,就可以啦。
郑重声明:根据国家版权局相关规定,纸媒、网站、微博、微信公众号转载、摘编本微信作品,需包含本微信名称、二维码等关键信息,并在文首注明《电力系统自动化》原创。个人请按本微信原文转发、分享。
