当前位置:首页>农业>文献分享|从品牌走向繁荣:中国农业区域公用品牌对地方经济增长的影响

文献分享|从品牌走向繁荣:中国农业区域公用品牌对地方经济增长的影响

  • 2026-03-29 03:37:22
文献分享|从品牌走向繁荣:中国农业区域公用品牌对地方经济增长的影响

摘要

本研究探讨了中国农业区域公用品牌(Agricultural Regional Public Brands, ARPBs)对县域经济增长的影响。我们整合了2000年至2020年间2725个县的面板数据,并采用交错式双重差分法(Difference-in-Differences, DID)策略展开分析。运用稳健的CS-DID估计量以校正潜在偏差后,我们发现,农业区域公用品牌的采用使人均GDP提高了约6.68%(显著高于基准双向固定效应模型(Two-Way Fixed Effects, TWFE)估计的3.94%)。机制分析表明,这些影响通过农业现代化、产业集聚和家庭储蓄增加等途径得以实现异质性分析显示,农业区域公用品牌对经济增长的影响取决于产品类型、制度环境和地区差异。此外,我们还发现其对邻近县域存在正向空间溢出效应。这些研究结果凸显了农业区域公用品牌作为一种变革性的地域性战略的重要意义,为利用集体声誉缩小城乡发展差距提供了重要的政策启示。

介绍

品牌正日益被视为一种超越单纯商业标识的战略性资产——它们传递信任、彰显品质,并为生产者和地区创造长期价值。在发达经济体和发展中经济体中,有效的品牌建设有助于克服市场缺陷、缓解信息不对称问题并培养消费者忠诚度(Giovannucci等人,2010;Belletti等人,2017)。特别是,基于地域或地点的品牌建设,根植于地理、文化和产品特性,已成为推动地方经济发展和区域差异化的有力工具(Bérard & Marchenay,2006)。这一意义在农业领域尤为显著,农业生产者(尤其是在发展中经济体中)长期面临着“商品化陷阱”的挑战,其特点是利润微薄且价格竞争激烈。农业品牌建设不仅能在竞争激烈的市场中使产品脱颖而出,还能将文化、环境和历史价值融入食品体系(Fan,2006)。区域品牌有助于生产者获得溢价,增加农村就业机会,并保护传统农业知识和地方生态系统(Delgado-Ballester等人,2003;Zhang等人,2024)。

在此背景下,农业区域公用品牌(以下简称ARPBs)已成为全球基于地点的发展政策中的一个重要工具。尽管与中国以外的欧洲和北美所使用的地理标志(Geographical Indications, GIs)和集体商标有相似之处,但中国的ARPBs模式代表了一种独特的政府主导型变体。ARPBs被定义为在特定生态或文化边界内由生产者共同拥有和使用的公共区域总品牌(Hu等人,2013),通常采用标准的“区域+产品”命名方式(例如,洛川苹果、西湖龙井茶)。ARPBs的政策意义已从2008年的初始试点项目发展到2017年以来的全面国家战略。在此期间,中央政府将品牌建设提升为国家级首要任务,通过一系列相当于战略五年规划的高层政策框架,将ARPBs制度化(Zheng等人,2022;Yang等人,2025)。这一持续的政治承诺催生了大规模的扩张:截至2020年,全国1100多个县已建立了2000多个ARPBs,使其成为世界上规模最大的政府资助农业品牌建设实验之一。

因此,研究中国的ARPBs倡议作为政府干预农业市场的一个关键案例研究,具有重要的国际意义。它为政府主导的品牌建设作为农村振兴的可扩展工具的有效性提供了实证证据。这一分析对于越南、泰国和多个非洲国家等其他发展中经济体尤为重要,这些国家正在实施类似的“一村一品”(One Village One Product, OVOP)战略,但在将地方特色产业规模化发展为具有竞争力的区域产业方面面临挑战(Natsuda等人,2012)。通过研究这些政府资助的品牌是否以及如何推动地方经济增长,本研究为公共干预在纠正全球农业食品部门市场失灵和克服信息不对称方面的作用提供了可推广的见解。

尽管ARPBs与地理标志(GI)有一些相似之处,如强调区域来源、集体声誉和质量保证,但它们在中国代表了一种截然不同的制度模式(Yang等人,2024)。GI是根据世界贸易组织/与贸易有关的知识产权协定(WTO/TRIPS)规则为单个产品注册的法律知识产权,而ARPBs则是作为县级或地级政府主导的品牌,将农产品、企业和地方服务系统整合为一个统一的区域身份(欧盟,2006)。GI侧重于保护单个产品的独特地理属性,而ARPBs则旨在通过协调的产业发展、质量标准化、跨产品认证体系、公共服务平台和统一的品牌营销活动来提升区域综合竞争力(Allen,2007;Kavaratzis,2005)。同时拥有GI认证和品牌的产品在市场上的表现优于仅拥有其中之一的产品(Jiang等人,2023)。因此,ARPBs可被视为一种超越GI概念的中国制度创新,其特点是政府领导力更强、产品覆盖范围更广,以及以发展为导向而非单纯以保护为导向的任务。

尽管ARPBs的政策相关性日益增强,但关于其经济影响的实证证据仍然稀缺。现有研究强调了它们提升产品声誉、促进供应链整合和支持地方产业的潜力(Ma & Qiao,2024;Zhang等人,2024)。此外,ARPB还可以通过区域产业集聚和新型农业经营主体促进农民收入增长,缩小城乡收入差距,并对周边地区产生积极的溢出效应(Yang等人,2025)。然而,仍存在显著差距:(1)严格的因果评估有限,大多数研究依赖于在交错采用设置中可能存在偏差的传统估计量;(2)连接ARPBs与县级增长的机制仍未得到充分研究;(3)对于不同发展阶段和制度设置下的潜在异质性知之甚少。

本研究通过以下几种方式填补了这些显著差距,丰富了相关文献。首先,我们使用了涵盖21年(2000-2020年)2725个县的全面面板数据集,并采用标准的双向固定效应和CS-DID模型,为ARPBs的增长效应提供了严格的因果证据。其次,我们打开了传输渠道的“黑箱”,确定了农业现代化、产业集聚和家庭储蓄作为关键驱动因素。第三,我们进行了细致的异质性分析,揭示了发达东部地区的“拥挤效应”,并验证了ARPBs与GI之间的制度协同作用。最后,我们将分析扩展到考察空间溢出效应,验证区域品牌建设是否为邻近经济体产生正外部性。

本文的其余部分安排如下。第2部分提供文献综述和理论分析。第3部分介绍实证策略和数据。第4部分展示结果和稳健性检验。第5部分进行机制和异质性分析。第6部分是结论,第7部分提出政策启示。

文献综述与机制分析

(一)概念框架

1.农业区域公用品牌:概念与发展

农业区域公用品牌(Agricultural Regional Public Brands,ARPBs)是以区域原产地为依据对农产品进行营销的集体行动。这些品牌突出了各自生产区域独特的自然、文化和历史属性,从而使其与同类产品相区别。ARPBs的主要目标是通过利用产品原产地的标识和声誉来提升农产品的市场价值(Belletti et al., 2017; Zhang et al., 2024)。

在中国,ARPBs的发展得到了各种政府政策的大力支持,这些政策旨在振兴农村地区和实现农业现代化(Fan, 2006; Qie et al., 2023)。与主要关注法律保护和质量保证的地理标志(Geographical Indications,GIs)不同,ARPBs通过专注于集体营销和区域品牌建设提供了更大的灵活性。这种方法有助于更迅速地适应市场动态变化,同时确保符合特定的质量和真实性标准(Yang et al., 2024)。

中国ARPBs的战略发展进程与政府关于农村振兴的更广泛目标相一致,包括提高农村家庭收入、促进地方产业发展以及改善农村地区的整体生活质量(Qie et al., 2023)。通过推广优质的区域特色农产品,ARPBs在其种植地区的经济增长中发挥着关键作用,并有助于保护地方文化遗产和传统农业实践(Belletti et al., 2017)。2022年,《社会资本投资农业农村指引(2022)》指出,应引导更多社会资本投资农业农村,特别是ARPBs领域(中华人民共和国农业农村部,2022)。凭借上述三个方面的显著竞争优势,ARPBs能够更好地激发资本向农村流动,以加速脱贫攻坚、增加农民收入,并推动农村产业振兴与发展。

目前,全国有超过1110个县拥有不同形式的ARPBs,全国产品级品牌约有2000个。大多数省份和地区也出台了培育农业品牌的政策(Duan et al., 2024)。然而,ARPBs在推广过程中面临诸多挑战。首先,品牌定位模糊、价值低是普遍现象,许多公用品牌尚未形成清晰、差异化的竞争优势(Li et al., 2022)。其次,其带动产业增长的能力不足:大多数ARPBs未能有效延伸至深加工和分销渠道(Ma & Qiao, 2024)。此外,标准和管理体系陈旧、数字化支持薄弱、资源受限以及基础设施不发达,进一步削弱了ARPBs的可持续性和推广(Liu & Nong, 2025)。

2. 理论区分:从俱乐部物品到地方公共物品

虽然ARPBs与地理标志在强调地域原产地方面有相似之处,但它们在经济属性、治理结构和福利目标上存在根本差异。

首先,在经济属性方面,地理标志通常被概念化为“俱乐部物品”(Moschini et al., 2008; Menapace & Moschini, 2012)。其主要作为一种认证机制,以解决信息不对称问题,并保护特定生产者群体的声誉租金(Giovannucci et al., 2010)。相比之下,中国的ARPBs更像是政府提供的“地方公共物品”(Hu et al., 2013)。它们不仅作为质量的信号,还整合了基础设施、物流和公共服务,为整个县而不是仅仅成员企业产生更广泛的正外部性

其次,在治理和激励方面,地理标志通常依赖于由寻求价格溢价的生产者协会驱动的自下而上的方法。相反,ARPBs采用自上而下、政府主导的模式。根据“地方国家公司主义”理论(Oi, 1992),中国地方政府作为公司实体,投资ARPBs以实现区域经济增长和财政收入最大化。这种强有力的政府干预使ARPBs能够克服分散的小农户常常面临的集体行动问题,调动资源以实现快速的产业升级(Jin et al., 2022)。

最后,福利影响也有所不同。地理标志侧重于通过纠正质量信号方面的市场失灵来实现静态效率,而ARPBs则旨在实现动态的结构转型。通过促进产业集聚和供应链现代化,ARPBs不仅旨在保护现有资产,还旨在成为农村振兴的发展引擎。

3. ARPBs对经济增长影响的驱动机制

尽管农业区域公用品牌(ARPBs)对县级经济增长的积极影响已在实证上得到证实,但其潜在的传导机制仍是重要的探索领域。遵循Baron和Kenny(1986)的框架,并结合La Ferrara et al.(2012)以及Liu和Lu(2015)使用的实证策略,本研究考察了ARPBs可能促进地方经济发展的三个理论上合理且可实证检验的渠道:(1)农业机械化,(2)农业企业发展与产业集群,(3)家庭储蓄与金融深化,如图1所示。

首先,农业品牌化,特别是通过ARPBs,正日益被视为推动农业实践现代化的催化剂。随着市场从基于价格的竞争转向基于质量和声誉的竞争,强大的区域品牌鼓励农民提高产品质量和一致性(Belletti et al., 2017; Delgado-Ballester et al., 2003)。建立区域公用品牌通常需要标准化生产、食品安全认证和先进技术的采用,这反过来又加速了农业现代化(Giovannucci et al., 2010)。区域品牌通常对生产过程和环境标准提出严格要求,促使生产者采用更可持续和现代的农业技术(B´erard & Marchenay, 2006)。此外,当小农场联合在一个熟悉的品牌下并扩大经营规模时,它们实现了使用现代设备和更机械化、集约化方法的经济规模,从而提高了生产力(Bowen, 2010)。这一动态在欧洲的原产地保护标签中显而易见,强大的区域品牌帮助小生产者通过提高质量和进入更高价值的市场实现升级(Chambolle & Saulpic, 2006)。总之,文献表明,ARPBs通过设定更高的质量标准、促进技术采用以及鼓励农民有效地扩大经营规模,推动农业现代化。

其次,ARPBs通过催化产业规模化,即促进农业企业集聚形成有竞争力的集群,来促进地方经济增长。从理论上讲,当生产者和农业企业联合在一个公共区域品牌下时,他们会形成一个受益于共享资源、降低交易成本和集体声誉的产业集群——这是经典集聚经济的一个例证(Porter, 1998; Kavaratzis, 2005)。这一逻辑与波特集群理论一致,该理论认为地理上集中的企业享有知识溢出和供应链效率,从而增强其区域竞争力。此外,区域公用品牌将一个地区与特定产品行业联系起来,形成一个不与任何单一企业生命周期挂钩的共享身份。这种集体身份为区域经济提供了持久的集聚效益;在中国,政策制定者明确将ARPBs的发展作为“促进农村振兴和农业产业化”的战略,从而有效地扩大了农业部门的规模(Zheng et al., 2022; Yang et al., 2024)。通过对标志性作物或食品进行品牌化,一个县可以在区域品牌框架下整合其从生产到加工再到营销的整个产业链。。

第三,ARPBs通过影响农村家庭收入和储蓄行为,以一种更微妙的方式促进增长。强大的区域品牌通常能为农民的产品获得溢价和更好的市场准入,大幅提高农户收入(Fan, 2006; Tu & Wang, 2012)。随着收入的提高和稳定,农村家庭出于预防性动机以及农村地区相对有限的消费选择,往往会增加储蓄(Li, 2021)。随着时间的推移,这些增加的储蓄可以重新投资于农场改善或地方商业投资,形成农村发展的良性循环(Van der Ploeg et al., 2000)。换句话说,ARPBs带来的收入增长增强了家庭的财务弹性和再投资能力,进一步支持了农村经济的长期增长(Likoudis et al., 2016)。

总之,机制分析强化了理论预期,即ARPBs不仅提高了市场知名度,还推动了劳动力分配、空间整合和生产技术的结构性变化。这些转变共同解释了ARPBs对地方经济发展影响的很大部分。文献强调,ARPBs通过多种相互关联的途径影响县级经济增长。通过提高生产标准和激励先进技术的采用,ARPBs刺激了农业现代化,促进了农业企业集群的形成和价值链的整合。它们产生了规模经济和产业溢出效应;通过提高农户收入和储蓄能力,它们促进了地方资本积累和再投资。这些机制相互强化,形成了一个协同过程,通过这个过程,区域品牌化不仅提升了产品知名度,还推动了生产、产业组织和金融行为中更深刻的结构性转变。因此,ARPBs已不仅仅是营销工具;它们已成为农村振兴和可持续经济发展的引擎。

研究数据与模型

(一)数据与实证模型

1. 数据

本研究使用的数据由两部分构成:农产品品牌化数据和县级社会经济发展数据。首先,农产品品牌化数据(包括地理标志产品和区域公共品牌)取自浙江大学中国农村发展研究院 - 启研中国农业研究数据库(CCAD)。因变量(实际GDP)和控制变量(固定资产投资、教育、产业结构、金融发展水平和人口密度)的数据来源于国家统计局2000 - 2020年出版的《中国县域统计年鉴》,用于衡量实际国内生产总值,其中省级居民消费价格指数数据来自国家统计局按省份公布的年度数据,以2000年为基期。采用人均GDP的自然对数,以减少异常值和异方差性的影响,并将系数解释为百分比变化。

2. 实证模型

双重差分法(DID)有助于控制其他事件对时间序列的干扰效应,有效分离农产品区域公共品牌(ARPBs)的真实影响,更准确地识别ARPBs与县域经济发展之间的因果关系。自2008年以来,ARPBs蓬勃发展,但不同县域的ARPBs发展状况存在差异。这表明利用DID评估ARPBs对乡村振兴的影响具有可行性。根据不同县域ARPBs获批在区域和时间上的差异,我们引入变量Product_,并建立以下双向固定效应模型,以实证检验ARPBs对县域经济的影响。模型如下:

3. 变量选择

表1展示了实证分析中使用的关键变量的定义。

经济增长水平:本研究选择人均国内生产总值(GDP)作为代理变量,这与以往对县级经济增长的定义一致(Li et al., 2016;Qie et al., 2023)。

ARPBs政策:本研究聚焦于ARPBs的发展。在回归模型中,ARPBs的发展水平通过县域是否获批以及获批时间来表示。在本研究选取的2000 - 2020年样本中,1110个县域拥有不同形式的ARPBs。拥有ARPBs最多的县域是山东荣成,拥有16个农产品区域公共品牌,包括苹果、绿茶、海带和鱿鱼。

固定资产投资:固定资本形成被广泛认为是推动经济扩张的直接动力,纳入县级固定资产投资与GDP的比率,以捕捉资本积累的强度。

人力资本:根据人力资本理论,教育能提高劳动生产率和长期经济表现(Becker, 2002)。我们采用普通中学在校学生人数与户籍人口的比率作为当地人力资本存量的代理变量。

产业结构:先进且多元化的产业结构对于提高生产率和实现资源高效配置至关重要(Rodrik, 2013)。我们用第二产业和第三产业产值占GDP的比重来衡量产业结构,反映经济对农业依赖程度的转变。

金融发展:金融机构通过改善资本配置和提高投资效率来促进经济增长(Levine, 2005)。金融发展程度用金融机构年末贷款余额与GDP的比率来衡量。

人口密度:人口集聚能促进知识溢出和规模经济,进而刺激创新和增长(Ciccone and Hall, 1996)。我们纳入人口密度作为控制变量,以考虑与集中居住模式相关的空间外部性。各变量的描述性统计也列于表1。

(二)实证分析

1.基线结果

方程(1)的估计结果见表2。第(1)列展示了未添加控制变量的基线结果,而第(2)列则添加了县级层面的控制变量。所有模型设定均包含县级固定效应和年份固定效应。

在两种模型设定下,农业区域公共品牌(ARPBs)的系数均为正,且在1%的水平上具有统计显著性。这表明,即便在最简约的设定下,农业区域公共品牌的采用也与地方经济成果的改善相关联

2.溢出效应

除了农业区域公共品牌对地方经济的直接影响外,考察该政策是否会在行政边界之间产生外部性也至关重要。从理论上讲,这种溢出效应的方向并不明确:如果品牌县吸引了邻县的资本和人才,则可能产生负面的“虹吸效应”;而如果该品牌增强了区域供应链和声誉,则可能产生正面的“集聚外部性”。为了严格检验这一假设,我们在基线双向固定效应(TWFE)模型的基础上,引入了处理变量的空间滞后项。根据空间滞后X(SLX)框(HalleckVega & Elhorst, 2015),模型设定如下:

其中ARPBsi,t 用于捕捉本地品牌采用所产生的直接效应。变量 Spilloveri,t是一个构建的二元指标,旨在捕捉空间外部性。具体而言,其定义如下:

3.机制分析

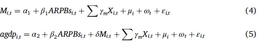
为了进一步识别农业区域公共品牌(ARPBs)促进县级经济增长的传导机制,本节在面板固定效应框架内采用了两步中介效应分析。遵循Baron和Kenny(1986)提出的经典方法,以及其在区域发展研究中的后续应用(Liu & Lu, 2015; La Ferrara et al., 2012),我们通过估计以下方程来考察潜在渠道的中介效应:(4)(5)

基于理论推理和数据可用性,我们分析了三种机制:农业现代化、农业产业集群和家庭储蓄行为。这些机制与第2.2节提出的理论框架相一致,分别代表技术、结构和金融转型渠道。识别这些机制的一大挑战在于潜在混杂政策的影响。

机制一:农业区域公共品牌与农业现代化

首先,农业区域公共品牌通过激励质量升级来加速农业现代化。建立区域公共品牌通常需要更严格的生产标准,这促使生产者采用先进机械和标准化做法以获取品牌溢价(Giovannucci et al., 2010)。我们使用农业机械总动力的对数作为现代化的代理变量。

如表7第(1)和(2)列所示,即使在控制了省份-年份冲击后,农业区域公共品牌的采用对农业机械化仍具有正且统计显著的影响。这一稳健发现表明,观察到的技术升级是对品牌建设机会的内生响应,而非外部政府补贴的结果。

机制二:农业区域公共品牌与农业产业集群

其次,农业区域公共品牌通过将碎片化生产转化为整合价值链来促进产业集群。共享的区域身份减少了信息摩擦,并吸引下游农业企业(如加工商、物流公司和分销商)集聚,产生集聚经济(Porter, 1998)。我们使用农业相关企业数量来衡量集群程度。

表7第(3)和(4)列报告了一个高度显著的正系数。这表明农业区域公共品牌显著促进了农业企业的集聚。关键在于,由于我们控制了时间变化的省级政策,这一结果意味着企业集聚是为了捕捉品牌的声誉外部性,而非受一般省级产业园区政策驱动。

机制三:农业区域公共品牌与家庭储蓄

第三,农业区域公共品牌通过提高农村收入来促进资本积累。通过产生价格溢价和稳定市场准入,区域品牌增强了农村家庭的财务能力(Fan, 2006)。我们使用人均家庭储蓄来检验这一渠道。表7第(5)和(6)列显示,农业区域公共品牌显著增加了家庭储蓄。这证实了品牌建设为当地居民产生了切实的财富效应。更高的储蓄反过来为进一步的农业再投资和地方创业提供了必要的流动性,形成了增长的良性循环。

总之,表7中的结果提供了有力证据,表明农业区域公共品牌通过结构转型促进经济增长。即使在严格控制省级政策冲击的情况下,农业区域公共品牌仍能稳健地推动技术现代化、产业集聚和资本积累,从而成为全面农村发展的强大催化剂。

结论与政策建议

(一)结论

本研究提供了强有力的实证证据,表明农业区域公共品牌显著促进了中国县域经济增长,我们发现采用农业区域公共品牌使人均GDP提高了约6.68%(显著高于基准双向固定效应估计的3.94%)。分析表明,农业区域公共品牌通过加速农业现代化、促进产业集聚和增加家庭储蓄来推动经济增长,有效成为农村结构转型的催化剂。这些发现拓展了关于基于地域的发展战略的文献,并凸显了品牌化作为农村振兴工具的多面性。

本研究的一项关键贡献是揭示了集体品牌化的情境依赖性在产品层面,畜禽和蔬菜相关品牌由于具有高附加值潜力和强大的下游关联性,产生了最强的增长效应,而粮食和水产品品牌的影响有限。在区域层面,我们记录了明显的边际收益递减。虽然农业区域公共品牌是中部和西部地区关键的“追赶”杠杆,但在经济发达的东部地区,它们遭遇了“拥堵效应”,市场饱和和高机会成本导致收益微不足道甚至为负。在制度层面,获得地理标志认证的品牌显著优于普通品牌,凸显了知识产权保护与公共品牌化之间的协同作用。在空间层面,我们检测到了正向溢出效应,排除了“虹吸效应”,表明成功的区域品牌会产生外部性,使周边经济体受益。

然而,必须谨慎解读这些积极的总体效应。区域品牌化并非万能良药,其实施涉及关键的权衡取舍。首先,分配问题依然存在。虽然县域经济总体上实现增长,但高合规成本和标准化要求可能设置准入壁垒,将资源匮乏的小农户排除在外。这导致出现“精英俘获”风险,即政策收益不成比例地流向龙头企业,而边缘化农户被甩在后面。其次,集体行动困境仍未解决。作为共享的区域资产,农业区域公共品牌本质上容易受到“搭便车”和品牌稀释的影响。如果没有严格的质量控制和治理,集体声誉可能因机会主义行为而受损,潜在地将区域品牌变成“柠檬市场”。第三,政府主导的模式存在资源错配风险。出于政绩追求,可能导致“僵尸品牌”泛滥,这些品牌主要为了获取补贴而存在,却缺乏真正的市场竞争力,尤其是在农业比较优势较弱的地区。

总之,虽然农业区域公共品牌是农村振兴的有力工具,但其长期成功取决于超越简单的品牌创建,建立包容、透明和严格的治理体系,以保护品牌声誉和小农户利益。

(二)政策启示

本研究的发现为加强农业区域公共品牌在中国及其他追求基于地域的农业战略的国家中的发展作用提供了若干政策启示。核心启示在于,农业区域公共品牌的设计不应作为重新分配现有市场份额的工具,而应作为通过产品差异化、价值链升级和生产者间协调增强来创造正和收益的机制。有效的品牌化政策需要配套的制度和基础设施条件;否则,公共品牌可能沦为象征性标签,对发展的影响有限。

(1)政府应根据比较优势和价值链潜力,优先匹配产品与区域。

(2)农业区域公共品牌的有效性在很大程度上取决于可信的质量治理。

(3)针对不同发展阶段实施差异化战略。

(4)建立包容性治理框架至关重要,以确保小农户和农村家庭共享农业区域公共品牌产生的收益。

(5)建立包容性利益共享机制。为降低精英俘获风险,政策应鼓励将龙头企业与小农户联系起来的模式(例如,“公司 + 合作社 + 农户”模式),确保农业区域公共品牌产生的溢价惠及普通农民。

(6)品牌化应纳入更广泛的农村发展战略。

    图表解剖

    (一)图
    图1. 资产回报型债券(ARPBs,Asset Return-Backed Bonds )如何影响地方经济增长
    图2. 资产回报型债券(ARPBs)获批对经济增长的动态影响
    图三.安慰剂检验
    (二)表
    表1.主要变量的定义与描述性统计数据
    表2 .基线结果
    表3.空间溢出效应检验
    表4.稳健性检验:替代估计方法

    表5.稳健性检验:变量替代度量与样本剔除

    表6.稳健性检验:控制同期政策影响

    表7.机制分析结果

    表8.制分析结果

    参考文献:Yang, C., & Guo, H. (2025). From Brand to Prosperity: The Impact of Agricultural Regional Public Brands on Local Economic Growth in China.

    以上内容仅代表个人的理解和解读,详情请阅读以下pdf原文!

    从品牌走向繁荣中国农业区域公用品牌对地方经济增长的影响.pdf

    END

       

    欢迎识别二维码,关注本号

    最新文章

    随机文章

    基本 文件 流程 错误 SQL 调试
    1. 请求信息 : 2026-04-02 00:15:09 HTTP/2.0 GET : https://h.mffb.com.cn/a/492657.html
    2. 运行时间 : 0.094729s [ 吞吐率:10.56req/s ] 内存消耗:4,574.41kb 文件加载:140
    3. 缓存信息 : 0 reads,0 writes
    4. 会话信息 : SESSION_ID=8cf90768c907e41c6c6bd0af419855c2
    1. /yingpanguazai/ssd/ssd1/www/h.mffb.com.cn/public/index.php ( 0.79 KB )
    2. /yingpanguazai/ssd/ssd1/www/h.mffb.com.cn/vendor/autoload.php ( 0.17 KB )
    3. /yingpanguazai/ssd/ssd1/www/h.mffb.com.cn/vendor/composer/autoload_real.php ( 2.49 KB )
    4. /yingpanguazai/ssd/ssd1/www/h.mffb.com.cn/vendor/composer/platform_check.php ( 0.90 KB )
    5. /yingpanguazai/ssd/ssd1/www/h.mffb.com.cn/vendor/composer/ClassLoader.php ( 14.03 KB )
    6. /yingpanguazai/ssd/ssd1/www/h.mffb.com.cn/vendor/composer/autoload_static.php ( 4.90 KB )
    7. /yingpanguazai/ssd/ssd1/www/h.mffb.com.cn/vendor/topthink/think-helper/src/helper.php ( 8.34 KB )
    8. /yingpanguazai/ssd/ssd1/www/h.mffb.com.cn/vendor/topthink/think-validate/src/helper.php ( 2.19 KB )
    9. /yingpanguazai/ssd/ssd1/www/h.mffb.com.cn/vendor/topthink/think-orm/src/helper.php ( 1.47 KB )
    10. /yingpanguazai/ssd/ssd1/www/h.mffb.com.cn/vendor/topthink/think-orm/stubs/load_stubs.php ( 0.16 KB )
    11. /yingpanguazai/ssd/ssd1/www/h.mffb.com.cn/vendor/topthink/framework/src/think/Exception.php ( 1.69 KB )
    12. /yingpanguazai/ssd/ssd1/www/h.mffb.com.cn/vendor/topthink/think-container/src/Facade.php ( 2.71 KB )
    13. /yingpanguazai/ssd/ssd1/www/h.mffb.com.cn/vendor/symfony/deprecation-contracts/function.php ( 0.99 KB )
    14. /yingpanguazai/ssd/ssd1/www/h.mffb.com.cn/vendor/symfony/polyfill-mbstring/bootstrap.php ( 8.26 KB )
    15. /yingpanguazai/ssd/ssd1/www/h.mffb.com.cn/vendor/symfony/polyfill-mbstring/bootstrap80.php ( 9.78 KB )
    16. /yingpanguazai/ssd/ssd1/www/h.mffb.com.cn/vendor/symfony/var-dumper/Resources/functions/dump.php ( 1.49 KB )
    17. /yingpanguazai/ssd/ssd1/www/h.mffb.com.cn/vendor/topthink/think-dumper/src/helper.php ( 0.18 KB )
    18. /yingpanguazai/ssd/ssd1/www/h.mffb.com.cn/vendor/symfony/var-dumper/VarDumper.php ( 4.30 KB )
    19. /yingpanguazai/ssd/ssd1/www/h.mffb.com.cn/vendor/topthink/framework/src/think/App.php ( 15.30 KB )
    20. /yingpanguazai/ssd/ssd1/www/h.mffb.com.cn/vendor/topthink/think-container/src/Container.php ( 15.76 KB )
    21. /yingpanguazai/ssd/ssd1/www/h.mffb.com.cn/vendor/psr/container/src/ContainerInterface.php ( 1.02 KB )
    22. /yingpanguazai/ssd/ssd1/www/h.mffb.com.cn/app/provider.php ( 0.19 KB )
    23. /yingpanguazai/ssd/ssd1/www/h.mffb.com.cn/vendor/topthink/framework/src/think/Http.php ( 6.04 KB )
    24. /yingpanguazai/ssd/ssd1/www/h.mffb.com.cn/vendor/topthink/think-helper/src/helper/Str.php ( 7.29 KB )
    25. /yingpanguazai/ssd/ssd1/www/h.mffb.com.cn/vendor/topthink/framework/src/think/Env.php ( 4.68 KB )
    26. /yingpanguazai/ssd/ssd1/www/h.mffb.com.cn/app/common.php ( 0.03 KB )
    27. /yingpanguazai/ssd/ssd1/www/h.mffb.com.cn/vendor/topthink/framework/src/helper.php ( 18.78 KB )
    28. /yingpanguazai/ssd/ssd1/www/h.mffb.com.cn/vendor/topthink/framework/src/think/Config.php ( 5.54 KB )
    29. /yingpanguazai/ssd/ssd1/www/h.mffb.com.cn/config/app.php ( 0.95 KB )
    30. /yingpanguazai/ssd/ssd1/www/h.mffb.com.cn/config/cache.php ( 0.78 KB )
    31. /yingpanguazai/ssd/ssd1/www/h.mffb.com.cn/config/console.php ( 0.23 KB )
    32. /yingpanguazai/ssd/ssd1/www/h.mffb.com.cn/config/cookie.php ( 0.56 KB )
    33. /yingpanguazai/ssd/ssd1/www/h.mffb.com.cn/config/database.php ( 2.48 KB )
    34. /yingpanguazai/ssd/ssd1/www/h.mffb.com.cn/vendor/topthink/framework/src/think/facade/Env.php ( 1.67 KB )
    35. /yingpanguazai/ssd/ssd1/www/h.mffb.com.cn/config/filesystem.php ( 0.61 KB )
    36. /yingpanguazai/ssd/ssd1/www/h.mffb.com.cn/config/lang.php ( 0.91 KB )
    37. /yingpanguazai/ssd/ssd1/www/h.mffb.com.cn/config/log.php ( 1.35 KB )
    38. /yingpanguazai/ssd/ssd1/www/h.mffb.com.cn/config/middleware.php ( 0.19 KB )
    39. /yingpanguazai/ssd/ssd1/www/h.mffb.com.cn/config/route.php ( 1.89 KB )
    40. /yingpanguazai/ssd/ssd1/www/h.mffb.com.cn/config/session.php ( 0.57 KB )
    41. /yingpanguazai/ssd/ssd1/www/h.mffb.com.cn/config/trace.php ( 0.34 KB )
    42. /yingpanguazai/ssd/ssd1/www/h.mffb.com.cn/config/view.php ( 0.82 KB )
    43. /yingpanguazai/ssd/ssd1/www/h.mffb.com.cn/app/event.php ( 0.25 KB )
    44. /yingpanguazai/ssd/ssd1/www/h.mffb.com.cn/vendor/topthink/framework/src/think/Event.php ( 7.67 KB )
    45. /yingpanguazai/ssd/ssd1/www/h.mffb.com.cn/app/service.php ( 0.13 KB )
    46. /yingpanguazai/ssd/ssd1/www/h.mffb.com.cn/app/AppService.php ( 0.26 KB )
    47. /yingpanguazai/ssd/ssd1/www/h.mffb.com.cn/vendor/topthink/framework/src/think/Service.php ( 1.64 KB )
    48. /yingpanguazai/ssd/ssd1/www/h.mffb.com.cn/vendor/topthink/framework/src/think/Lang.php ( 7.35 KB )
    49. /yingpanguazai/ssd/ssd1/www/h.mffb.com.cn/vendor/topthink/framework/src/lang/zh-cn.php ( 13.70 KB )
    50. /yingpanguazai/ssd/ssd1/www/h.mffb.com.cn/vendor/topthink/framework/src/think/initializer/Error.php ( 3.31 KB )
    51. /yingpanguazai/ssd/ssd1/www/h.mffb.com.cn/vendor/topthink/framework/src/think/initializer/RegisterService.php ( 1.33 KB )
    52. /yingpanguazai/ssd/ssd1/www/h.mffb.com.cn/vendor/services.php ( 0.14 KB )
    53. /yingpanguazai/ssd/ssd1/www/h.mffb.com.cn/vendor/topthink/framework/src/think/service/PaginatorService.php ( 1.52 KB )
    54. /yingpanguazai/ssd/ssd1/www/h.mffb.com.cn/vendor/topthink/framework/src/think/service/ValidateService.php ( 0.99 KB )
    55. /yingpanguazai/ssd/ssd1/www/h.mffb.com.cn/vendor/topthink/framework/src/think/service/ModelService.php ( 2.04 KB )
    56. /yingpanguazai/ssd/ssd1/www/h.mffb.com.cn/vendor/topthink/think-trace/src/Service.php ( 0.77 KB )
    57. /yingpanguazai/ssd/ssd1/www/h.mffb.com.cn/vendor/topthink/framework/src/think/Middleware.php ( 6.72 KB )
    58. /yingpanguazai/ssd/ssd1/www/h.mffb.com.cn/vendor/topthink/framework/src/think/initializer/BootService.php ( 0.77 KB )
    59. /yingpanguazai/ssd/ssd1/www/h.mffb.com.cn/vendor/topthink/think-orm/src/Paginator.php ( 11.86 KB )
    60. /yingpanguazai/ssd/ssd1/www/h.mffb.com.cn/vendor/topthink/think-validate/src/Validate.php ( 63.20 KB )
    61. /yingpanguazai/ssd/ssd1/www/h.mffb.com.cn/vendor/topthink/think-orm/src/Model.php ( 23.55 KB )
    62. /yingpanguazai/ssd/ssd1/www/h.mffb.com.cn/vendor/topthink/think-orm/src/model/concern/Attribute.php ( 21.05 KB )
    63. /yingpanguazai/ssd/ssd1/www/h.mffb.com.cn/vendor/topthink/think-orm/src/model/concern/AutoWriteData.php ( 4.21 KB )
    64. /yingpanguazai/ssd/ssd1/www/h.mffb.com.cn/vendor/topthink/think-orm/src/model/concern/Conversion.php ( 6.44 KB )
    65. /yingpanguazai/ssd/ssd1/www/h.mffb.com.cn/vendor/topthink/think-orm/src/model/concern/DbConnect.php ( 5.16 KB )
    66. /yingpanguazai/ssd/ssd1/www/h.mffb.com.cn/vendor/topthink/think-orm/src/model/concern/ModelEvent.php ( 2.33 KB )
    67. /yingpanguazai/ssd/ssd1/www/h.mffb.com.cn/vendor/topthink/think-orm/src/model/concern/RelationShip.php ( 28.29 KB )
    68. /yingpanguazai/ssd/ssd1/www/h.mffb.com.cn/vendor/topthink/think-helper/src/contract/Arrayable.php ( 0.09 KB )
    69. /yingpanguazai/ssd/ssd1/www/h.mffb.com.cn/vendor/topthink/think-helper/src/contract/Jsonable.php ( 0.13 KB )
    70. /yingpanguazai/ssd/ssd1/www/h.mffb.com.cn/vendor/topthink/think-orm/src/model/contract/Modelable.php ( 0.09 KB )
    71. /yingpanguazai/ssd/ssd1/www/h.mffb.com.cn/vendor/topthink/framework/src/think/Db.php ( 2.88 KB )
    72. /yingpanguazai/ssd/ssd1/www/h.mffb.com.cn/vendor/topthink/think-orm/src/DbManager.php ( 8.52 KB )
    73. /yingpanguazai/ssd/ssd1/www/h.mffb.com.cn/vendor/topthink/framework/src/think/Log.php ( 6.28 KB )
    74. /yingpanguazai/ssd/ssd1/www/h.mffb.com.cn/vendor/topthink/framework/src/think/Manager.php ( 3.92 KB )
    75. /yingpanguazai/ssd/ssd1/www/h.mffb.com.cn/vendor/psr/log/src/LoggerTrait.php ( 2.69 KB )
    76. /yingpanguazai/ssd/ssd1/www/h.mffb.com.cn/vendor/psr/log/src/LoggerInterface.php ( 2.71 KB )
    77. /yingpanguazai/ssd/ssd1/www/h.mffb.com.cn/vendor/topthink/framework/src/think/Cache.php ( 4.92 KB )
    78. /yingpanguazai/ssd/ssd1/www/h.mffb.com.cn/vendor/psr/simple-cache/src/CacheInterface.php ( 4.71 KB )
    79. /yingpanguazai/ssd/ssd1/www/h.mffb.com.cn/vendor/topthink/think-helper/src/helper/Arr.php ( 16.63 KB )
    80. /yingpanguazai/ssd/ssd1/www/h.mffb.com.cn/vendor/topthink/framework/src/think/cache/driver/File.php ( 7.84 KB )
    81. /yingpanguazai/ssd/ssd1/www/h.mffb.com.cn/vendor/topthink/framework/src/think/cache/Driver.php ( 9.03 KB )
    82. /yingpanguazai/ssd/ssd1/www/h.mffb.com.cn/vendor/topthink/framework/src/think/contract/CacheHandlerInterface.php ( 1.99 KB )
    83. /yingpanguazai/ssd/ssd1/www/h.mffb.com.cn/app/Request.php ( 0.09 KB )
    84. /yingpanguazai/ssd/ssd1/www/h.mffb.com.cn/vendor/topthink/framework/src/think/Request.php ( 55.78 KB )
    85. /yingpanguazai/ssd/ssd1/www/h.mffb.com.cn/app/middleware.php ( 0.25 KB )
    86. /yingpanguazai/ssd/ssd1/www/h.mffb.com.cn/vendor/topthink/framework/src/think/Pipeline.php ( 2.61 KB )
    87. /yingpanguazai/ssd/ssd1/www/h.mffb.com.cn/vendor/topthink/think-trace/src/TraceDebug.php ( 3.40 KB )
    88. /yingpanguazai/ssd/ssd1/www/h.mffb.com.cn/vendor/topthink/framework/src/think/middleware/SessionInit.php ( 1.94 KB )
    89. /yingpanguazai/ssd/ssd1/www/h.mffb.com.cn/vendor/topthink/framework/src/think/Session.php ( 1.80 KB )
    90. /yingpanguazai/ssd/ssd1/www/h.mffb.com.cn/vendor/topthink/framework/src/think/session/driver/File.php ( 6.27 KB )
    91. /yingpanguazai/ssd/ssd1/www/h.mffb.com.cn/vendor/topthink/framework/src/think/contract/SessionHandlerInterface.php ( 0.87 KB )
    92. /yingpanguazai/ssd/ssd1/www/h.mffb.com.cn/vendor/topthink/framework/src/think/session/Store.php ( 7.12 KB )
    93. /yingpanguazai/ssd/ssd1/www/h.mffb.com.cn/vendor/topthink/framework/src/think/Route.php ( 23.73 KB )
    94. /yingpanguazai/ssd/ssd1/www/h.mffb.com.cn/vendor/topthink/framework/src/think/route/RuleName.php ( 5.75 KB )
    95. /yingpanguazai/ssd/ssd1/www/h.mffb.com.cn/vendor/topthink/framework/src/think/route/Domain.php ( 2.53 KB )
    96. /yingpanguazai/ssd/ssd1/www/h.mffb.com.cn/vendor/topthink/framework/src/think/route/RuleGroup.php ( 22.43 KB )
    97. /yingpanguazai/ssd/ssd1/www/h.mffb.com.cn/vendor/topthink/framework/src/think/route/Rule.php ( 26.95 KB )
    98. /yingpanguazai/ssd/ssd1/www/h.mffb.com.cn/vendor/topthink/framework/src/think/route/RuleItem.php ( 9.78 KB )
    99. /yingpanguazai/ssd/ssd1/www/h.mffb.com.cn/route/app.php ( 1.72 KB )
    100. /yingpanguazai/ssd/ssd1/www/h.mffb.com.cn/vendor/topthink/framework/src/think/facade/Route.php ( 4.70 KB )
    101. /yingpanguazai/ssd/ssd1/www/h.mffb.com.cn/vendor/topthink/framework/src/think/route/dispatch/Controller.php ( 4.74 KB )
    102. /yingpanguazai/ssd/ssd1/www/h.mffb.com.cn/vendor/topthink/framework/src/think/route/Dispatch.php ( 10.44 KB )
    103. /yingpanguazai/ssd/ssd1/www/h.mffb.com.cn/app/controller/Index.php ( 4.81 KB )
    104. /yingpanguazai/ssd/ssd1/www/h.mffb.com.cn/app/BaseController.php ( 2.05 KB )
    105. /yingpanguazai/ssd/ssd1/www/h.mffb.com.cn/vendor/topthink/think-orm/src/facade/Db.php ( 0.93 KB )
    106. /yingpanguazai/ssd/ssd1/www/h.mffb.com.cn/vendor/topthink/think-orm/src/db/connector/Mysql.php ( 5.44 KB )
    107. /yingpanguazai/ssd/ssd1/www/h.mffb.com.cn/vendor/topthink/think-orm/src/db/PDOConnection.php ( 52.47 KB )
    108. /yingpanguazai/ssd/ssd1/www/h.mffb.com.cn/vendor/topthink/think-orm/src/db/Connection.php ( 8.39 KB )
    109. /yingpanguazai/ssd/ssd1/www/h.mffb.com.cn/vendor/topthink/think-orm/src/db/ConnectionInterface.php ( 4.57 KB )
    110. /yingpanguazai/ssd/ssd1/www/h.mffb.com.cn/vendor/topthink/think-orm/src/db/builder/Mysql.php ( 16.58 KB )
    111. /yingpanguazai/ssd/ssd1/www/h.mffb.com.cn/vendor/topthink/think-orm/src/db/Builder.php ( 24.06 KB )
    112. /yingpanguazai/ssd/ssd1/www/h.mffb.com.cn/vendor/topthink/think-orm/src/db/BaseBuilder.php ( 27.50 KB )
    113. /yingpanguazai/ssd/ssd1/www/h.mffb.com.cn/vendor/topthink/think-orm/src/db/Query.php ( 15.71 KB )
    114. /yingpanguazai/ssd/ssd1/www/h.mffb.com.cn/vendor/topthink/think-orm/src/db/BaseQuery.php ( 45.13 KB )
    115. /yingpanguazai/ssd/ssd1/www/h.mffb.com.cn/vendor/topthink/think-orm/src/db/concern/TimeFieldQuery.php ( 7.43 KB )
    116. /yingpanguazai/ssd/ssd1/www/h.mffb.com.cn/vendor/topthink/think-orm/src/db/concern/AggregateQuery.php ( 3.26 KB )
    117. /yingpanguazai/ssd/ssd1/www/h.mffb.com.cn/vendor/topthink/think-orm/src/db/concern/ModelRelationQuery.php ( 20.07 KB )
    118. /yingpanguazai/ssd/ssd1/www/h.mffb.com.cn/vendor/topthink/think-orm/src/db/concern/ParamsBind.php ( 3.66 KB )
    119. /yingpanguazai/ssd/ssd1/www/h.mffb.com.cn/vendor/topthink/think-orm/src/db/concern/ResultOperation.php ( 7.01 KB )
    120. /yingpanguazai/ssd/ssd1/www/h.mffb.com.cn/vendor/topthink/think-orm/src/db/concern/WhereQuery.php ( 19.37 KB )
    121. /yingpanguazai/ssd/ssd1/www/h.mffb.com.cn/vendor/topthink/think-orm/src/db/concern/JoinAndViewQuery.php ( 7.11 KB )
    122. /yingpanguazai/ssd/ssd1/www/h.mffb.com.cn/vendor/topthink/think-orm/src/db/concern/TableFieldInfo.php ( 2.63 KB )
    123. /yingpanguazai/ssd/ssd1/www/h.mffb.com.cn/vendor/topthink/think-orm/src/db/concern/Transaction.php ( 2.77 KB )
    124. /yingpanguazai/ssd/ssd1/www/h.mffb.com.cn/vendor/topthink/framework/src/think/log/driver/File.php ( 5.96 KB )
    125. /yingpanguazai/ssd/ssd1/www/h.mffb.com.cn/vendor/topthink/framework/src/think/contract/LogHandlerInterface.php ( 0.86 KB )
    126. /yingpanguazai/ssd/ssd1/www/h.mffb.com.cn/vendor/topthink/framework/src/think/log/Channel.php ( 3.89 KB )
    127. /yingpanguazai/ssd/ssd1/www/h.mffb.com.cn/vendor/topthink/framework/src/think/event/LogRecord.php ( 1.02 KB )
    128. /yingpanguazai/ssd/ssd1/www/h.mffb.com.cn/vendor/topthink/think-helper/src/Collection.php ( 16.47 KB )
    129. /yingpanguazai/ssd/ssd1/www/h.mffb.com.cn/vendor/topthink/framework/src/think/facade/View.php ( 1.70 KB )
    130. /yingpanguazai/ssd/ssd1/www/h.mffb.com.cn/vendor/topthink/framework/src/think/View.php ( 4.39 KB )
    131. /yingpanguazai/ssd/ssd1/www/h.mffb.com.cn/vendor/topthink/framework/src/think/Response.php ( 8.81 KB )
    132. /yingpanguazai/ssd/ssd1/www/h.mffb.com.cn/vendor/topthink/framework/src/think/response/View.php ( 3.29 KB )
    133. /yingpanguazai/ssd/ssd1/www/h.mffb.com.cn/vendor/topthink/framework/src/think/Cookie.php ( 6.06 KB )
    134. /yingpanguazai/ssd/ssd1/www/h.mffb.com.cn/vendor/topthink/think-view/src/Think.php ( 8.38 KB )
    135. /yingpanguazai/ssd/ssd1/www/h.mffb.com.cn/vendor/topthink/framework/src/think/contract/TemplateHandlerInterface.php ( 1.60 KB )
    136. /yingpanguazai/ssd/ssd1/www/h.mffb.com.cn/vendor/topthink/think-template/src/Template.php ( 46.61 KB )
    137. /yingpanguazai/ssd/ssd1/www/h.mffb.com.cn/vendor/topthink/think-template/src/template/driver/File.php ( 2.41 KB )
    138. /yingpanguazai/ssd/ssd1/www/h.mffb.com.cn/vendor/topthink/think-template/src/template/contract/DriverInterface.php ( 0.86 KB )
    139. /yingpanguazai/ssd/ssd1/www/h.mffb.com.cn/runtime/temp/32b793ebdcbdb96aeb8bb24c123b0bef.php ( 11.98 KB )
    140. /yingpanguazai/ssd/ssd1/www/h.mffb.com.cn/vendor/topthink/think-trace/src/Html.php ( 4.42 KB )
    1. CONNECT:[ UseTime:0.000530s ] mysql:host=127.0.0.1;port=3306;dbname=h_mffb;charset=utf8mb4
    2. SHOW FULL COLUMNS FROM `fenlei` [ RunTime:0.000690s ]
    3. SELECT * FROM `fenlei` WHERE `fid` = 0 [ RunTime:0.000353s ]
    4. SELECT * FROM `fenlei` WHERE `fid` = 63 [ RunTime:0.000289s ]
    5. SHOW FULL COLUMNS FROM `set` [ RunTime:0.000599s ]
    6. SELECT * FROM `set` [ RunTime:0.000227s ]
    7. SHOW FULL COLUMNS FROM `article` [ RunTime:0.000722s ]
    8. SELECT * FROM `article` WHERE `id` = 492657 LIMIT 1 [ RunTime:0.009963s ]
    9. UPDATE `article` SET `lasttime` = 1775060109 WHERE `id` = 492657 [ RunTime:0.003371s ]
    10. SELECT * FROM `fenlei` WHERE `id` = 64 LIMIT 1 [ RunTime:0.000278s ]
    11. SELECT * FROM `article` WHERE `id` < 492657 ORDER BY `id` DESC LIMIT 1 [ RunTime:0.002274s ]
    12. SELECT * FROM `article` WHERE `id` > 492657 ORDER BY `id` ASC LIMIT 1 [ RunTime:0.001288s ]
    13. SELECT * FROM `article` WHERE `id` < 492657 ORDER BY `id` DESC LIMIT 10 [ RunTime:0.003937s ]
    14. SELECT * FROM `article` WHERE `id` < 492657 ORDER BY `id` DESC LIMIT 10,10 [ RunTime:0.001580s ]
    15. SELECT * FROM `article` WHERE `id` < 492657 ORDER BY `id` DESC LIMIT 20,10 [ RunTime:0.002828s ]
    0.096319s