导语
近期,环境科学与生态学期刊Bioresource Technology(影响因子=9,中科院1区TOP)发表题为“Microalgae-mediated shaping of bacterial communities enhances antibiotic removal and antibiotic resistance control”的论文。

摘要
该研究针对含磺胺嘧啶(SDZ)的 swine wastewater,通过调控微藻(Chlorella sp.)与活性污泥(AS)的接种比例(1:0至0:1 wt/wt),构建微藻-细菌共生污泥(MBSS)系统。
结果表明,接种比例为1:1和1:3时表现最优,SDZ去除效率高达99.8%,总氮和总磷去除率分别达33.25%和98.6%。微藻通过分泌胞外聚合物(EPS)保护微生物免受抗生素胁迫,并驱动微生物群落演替,促进Rhodanobacter和Dokdonella等降解菌富集。宏基因组分析显示,微藻接种显著降低磺胺类抗性基因(sul1和sul2)相对丰度至22.9%,有效控制抗性基因传播。
该系统同步实现抗生素高效去除、营养盐回收与抗性风险管控。

文中图片精选


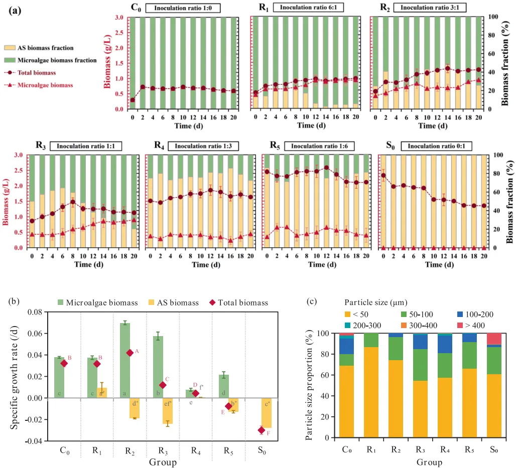
图1. 不同接种比例下MBSS的总生物量、微藻生物量、微藻与活性污泥生物量比例(a),特定生长率(b),粒径分布(c);及不同组别反应20天后微藻、活性污泥和系统的扫描电镜图像(d)

图2. 不同组别中SDZ(a)、NO₃-N(b)、NH₄-N(c)、总氮(d)、总磷(e)和SCOD(f)的浓度随时间变化及去除效率。

图3. 不同组别中松散结合EPS(a)和紧密结合EPS(b)的浓度及PN/PS值;不同接种比例下系统的EEM荧光光谱(c);荧光区域积分(FRI)在各区域的相对丰度(d);不同组别荧光指数值变化(e)。


图4. 门水平和属水平真核生物(a)和原核生物(b)微生物组成相对丰度;微生物群落主坐标分析(c);KEGG Level 3功能相对丰度热图(d);不同组别微生物KEGG功能(e);KEGG Level 3前三功能微生物相对贡献(f)。

图5. 抗生素类型(a)和抗性基因(b)相对丰度;环境因子与ARGs的基于距离冗余分析(c);门水平微生物与ARGs相关性网络(d);原核生物(e)和真核生物(f)属水平主要微生物与ARGs冗余分析。

图6. MBSS系统及细胞水平的工作机制示意图。
作者简介
第一作者:Shupeng Lin,中国农业大学工程学院。
通讯作者:柳珊,中国农业大学工学院副教授,博士生导师。

声 明
年度阅读热点推文TOP10(2025年)
1.江南大学任聪团队顶刊!Water Research || 突破性进展!简化菌群实现酿酒废水高效产己酸,破解环境治理难题
2.宁波大学吴乃成团队顶刊(Water Research) || 风暴事件引爆淡水磷循环巨变!土地利用成关键开关
3.哈工大博士生顶刊(WR),精美Figs! || 真实环境微塑料老化引爆抗生素耐药性社区传播危机!
4.中科院刘再华团队 Water Research || 土地利用与气候变化协同提升喀斯特水生系统碳汇功能,揭示隐藏的生态引擎
5.仲恺农业工程学院梁嘉林团队一区top!JHM || PFAS与污泥EPS的稳定结合——环境风险激增的隐形引擎
6.CELL正刊!水稻分蘖调控革命:根际细菌产“伪激素”,直接操控作物株型!
7.曲阜师范大学王庆贵团队NC子刊 || 高纬度森林碳汇奇迹——外生菌根树如何“解锁”地下碳库密码
8.河海大学倪利晓团队博士生一区top(JHM) || 突破性发现!吲哚以群体感应抑制双机制实现蓝藻水华绿色防控
9.安徽建筑大学李卫华团队 JECE || 厌氧共发酵颠覆性突破:剩余污泥与餐厨垃圾协同回收磷与甲烷
10.德国博后基于中国森林的子刊(NC)? || 多样性竟导致“趋同”?树种越丰富,个体差异反而越小!
近期阅读热点推文TOP10(2026年1月份)
1.哈工大-李昂团队研究生-高水平综述Water Research||群体感应引爆废水厌氧处理革命!信号分子类似物成精准调控
2.北京工业大学-彭永臻(院士)团队-Bioresour. Technol.||城市污水处理中利用甲酸盐调节亚硝酸盐氧化菌代谢实现快速亚硝化
3.Nature子刊 南京师大(雷沛)&南京大学[任洪强(院士)&钟寰(杰青)]团队||CO2升高竟能降低淡水湖甲基汞含量?
4.西安理工大学-潘保柱(优青)团队-顶刊Water Research||功能性状革新河流浮游植物群落稳定性评估
5.北大深圳院-余珂团队-Water Research||革命性突破!微藻-细菌颗粒协同处理高氨废水,去除率飙升!
6.中国地质大学(武汉)-祁士华团队-Water Research||碳循环颠覆多环芳烃命运!沉积物有机碳角色揭示环境风险新机制
7.江苏理工学院-刘芳团队-TOP期刊BT||硫酸盐激活光合细菌增殖奇迹!废水处理资源回收新突破
8.西安建筑科技大学-黄廷林团队-Water Research||水库变身预处理厂!人工混合曝气技术双控内源径流污染。