当前位置:首页>农业>高价值农业能否缩小城乡收入差距?——来自中国的政策性证据

高价值农业能否缩小城乡收入差距?——来自中国的政策性证据

  • 2026-03-20 08:59:28
高价值农业能否缩小城乡收入差距?——来自中国的政策性证据

摘要

研究目的——本研究旨在探讨以特色农产品优势区(CAPAs)政策为载体的高价值农业(HVA),是否、如何以及在何种条件下有助于缩小城乡收入差距(URIG)。

研究设计/方法/路径——本研究利用2014年至2022年中国1723个县的面板数据,基于CAPAs政策的准自然实验,采用交错双重差分(DID)方法,评估HVA是否缩小URIG。研究进一步识别了其潜在作用机制、五种产品类型间的异质性影响,以及CAPAs与其他农村发展政策的协同效应。

研究结果——CAPAs政策显著缩小了URIG。这一效应主要通过优化要素配置、加强农业品牌建设以及培育专业化农业经营主体实现。不同产品类型的影响存在差异——以粮食、经济作物和畜产品为重点的CAPAs对缩小差距的贡献显著;而以林产品为重点的CAPAs则倾向于加剧不平等;水产和园艺产品类CAPAs的影响在统计上不显著。此外,社会化农业服务、农村电子商务、农业信贷和农业保险等政策显著增强了CAPAs缩小URIG的效果

原创性/价值——本研究旨在填补因果识别HVA对URIG影响及作用机制的空白,同时考察农产品异质性和政策互补性,为发展中国家城乡转型治理提供洞见。

介绍

城乡收入差距(Urban-Rural Income Gap,URIG)仍是全球面临的重大挑战,在发展中国家尤为突出。相比之下,多数发达经济体通过城市化、公共服务均等化以及强有力的农业支持政策,将城乡收入比维持在1.25及以下(部分甚至低于1)(OECD,2024)。尽管印度、印度尼西亚和巴西等发展中国家也存在显著的不平等问题,但中国的URIG在经济转型期间扩张更为迅速(Yang,1999)。1981年至2010年间,中国的基尼系数从28.2升至43.7(世界银行,2024)。然而,近年来这一趋势开始转变。官方数据显示,城乡收入比从2010年的3.23降至2024年的2.34。尽管这一变化表明取得了一定进展,但URIG仍是中国长期存在的挑战,也是整体不平等的关键驱动因素(Yang,1999;Yu and Lu,2021),制约着长期经济增长、资源有效配置和农业生产力提升(Gao et al.,2014)。因此,减轻URIG的不利影响至关重要。识别其近期缩小的原因并探索进一步缩小差距的有效策略,仍是当前紧迫的政策优先事项。

中国URIG持续存在的主要原因是农民收入较低(Ravallion and Chen,2007;Yu and Lu,2021)。这一差距在很大程度上根植于历史和制度因素。中国改革后的制度框架存在内在的城市偏向,体现在户籍制度、土地财政和财政资源配置上,系统性地限制了农村获取资本、土地和公共服务的机会(Bezemer and Headey,2008;Rogers et al.,2021;Wang et al.,2024;Yang,1999)。与此同时,传统农业模式以高生产成本、高风险和低附加值回报为特征,限制了小农户的收入增长(Yu and Lu,2021)。因此,解决URIG问题的关键在于提高农民收入(Shen et al.,2025)。

近年来,发展中国家的农业正从低价值粮食生产向高价值农业(High-Value Agriculture,HVA)转型(Ogutu and Qaim,2019)。在中国,这一转型已成为增加农民收入的关键战略(Huang and Shi,2021)。与传统农业相比,HVA具有更高的附加值潜力、更完整的产业链和更强的品牌效应,每单位土地和劳动力的回报更高(Matthys et al.,2024;Ogutu and Qaim,2019;Narayanan,2014)。对南印度和其他六个发展中国家的研究表明,经济作物种植对家庭收入和社会福利具有积极影响(Finnis,2006;Kennedy et al.,1992)。在中国,推广经济作物种植和改善市场准入的政策提升了小农户的经济福祉(Fan et al.,2022)。HVA还带来了更广泛的财政和社会效益,包括增加地方财政收入、吸引外资、促进基础设施建设和创造就业机会(Li et al.,2018)。然而,HVA带来的收入效益并不均衡。在土耳其,经济作物提高了农村总收入,但加剧了大农户与小农户之间的收入差距(Morvaridi,1990)。作物类型和地方条件会影响这些效应(Narayanan,2014;Li et al.,2018)。此外,HVA还带来金融、生计和环境风险,且并不总能增加本地就业(Matthys et al.,2024)。

现有研究广泛探讨了URIG的成因。实证研究表明,农业资本投资(Wang et al.,2024)、劳动力迁移(Yu and Lu,2021)、农产品品牌建设(Zheng and Li,2024)、惠农财政转移支付(Tang et al.,2022)、城市化(Wang et al.,2024)、农村信贷扩张(Yu and Lu,2021)、农业服务外包(Reardon et al.,2024)和农业一体化经营(Yuan et al.,2020)通常有助于缩小URIG。近年来,越来越多的研究开始关注新兴农业模式的分配效应(Reardon et al.,2024;Luo et al.,2025)。学者们担忧,以粮食为主的种植结构和主粮生产扩张可能无意中扩大URIG(Yang et al.,2024)。相比之下,推广HVA被视为农业转型和增加农民收入的有前景的战略。然而,目前仍缺乏评估HVA能否有效缩小URIG的系统性理论框架和严谨实证证据。

在此背景下,本研究聚焦于中国的特色农产品优势区政策,该政策旨在推广区域特色高价值农产品种植(Luo et al.,2025)。我们将该政策作为HVA的代理变量,采用交错双重差分(DID)方法,在县级层面考察其对URIG的影响。本研究的主要贡献如下:

第一,本研究首次量化了HVA对URIG的影响。尽管先前研究主要关注农村收入,但鲜有直接探讨其对URIG的影响。我们从URIG的根源出发,识别了三个作用机制——要素配置、品牌建设和经营主体,并在统一框架内进行探讨。

第二,我们采用CAPAs政策作为HVA的外生代理变量,并应用交错DID策略。与先前依赖经济作物种植作为代理变量且面临内生性问题的研究不同(Fan et al.,2022;Finnis,2006;Li et al.,2018),CAPAs提供了政府主导的准自然实验。这一设计缓解了内生性偏差,强化了关于HVA效应的因果推断。

第三,从政策角度看,大量乡村振兴战略(如基础设施投资(Xiao et al.,2022)、农村电子商务(Zheng and Li,2024))已被证明能提高农民收入。这些政策互动可能产生正协同效应(Xiao et al.,2022)或因目标冲突产生权衡(Tang and Zhu,2020)。然而,鲜有研究评估HVA的收入效应或其与其他政策的协调性。本研究提供了实证证据,表明HVA能缩小URIG,并与其他政策产生互补效应。此外,研究揭示了不同产品类型的异质性。这些发现为中国城乡转型提供了实践启示,也为其他开展类似计划的发展中国家(如印度的“一区一品”(One District One Product,ODOP)计划和越南的“一社一品”(One Commune One Product,OCOP)计划)提供了经验借鉴。

背景与假设

2.1 中国高价值农业(HVA)的发展:特色农产品优势区(CAPAs)作为政策体现

高价值农业(HVA)以培育具有高市场价值、高营养价值或高出口潜力的产品为特征,已成为全球农村转型的关键战略(Cramer等,2022;Minten等,2007;Narayanan,2014;Ogutu和Qaim,2019)。在中国,自21世纪初以来,高价值农业一直是农业政策的重点,政府不断寻求有效途径,从低效率、以主粮作物为主导的生产模式向更具盈利性、多样化和可持续的农业模式转变。高价值农业发展的第一步重大举措是启动《全国优势农产品区域布局规划(2003—2007年)》,该规划优先确定了11种高潜力农产品,并设立了35个优势区。2007年,农业部发布了《特色农产品区域布局规划(2006—2015年)》,重点关注10个具有区域特色的类别。《“十二五”农村经济发展规划(2012年)》强调了优化区域布局的必要性。2014年,确定了144种重点产品,并启动了标准化生产示范区建设。这些举措提高了农业专业化程度和生产率,为中国高价值农业的发展奠定了基础。然而,挑战依然存在,特别是优势区与特色产品规划之间的协调不足。这些局限性阻碍了增值农业的充分实现。为解决这些问题,中国于2017年启动了《特色农产品优势区建设规划》,这是一项重大制度创新,将优势区域划分与特色产品开发统一起来(Luo等,2025)。作为高价值农业的政策体现,特色农产品优势区旨在通过支持市场需求旺盛且具有区域优势的产品来改造传统农业。特色农产品优势区通过四个渠道推动高价值农业发展:(1)鼓励市场化生产和企业参与;(2)培育新型农业经营主体;(3)建设生产、加工和物流标准化基地;(4)加强创新、品牌建设、营销和质量控制。这些举措与全球高价值农业概念相契合,并强调其在增加农民收入、创造农村就业机会和促进环境可持续性方面的作用。2017年至2020年间,共指定了四批特色农产品优势区总计308个国家级区域,覆盖680个县(图1)。本研究将特色农产品优势区视为中国高价值农业的有效替代指标,因为它们代表了政府推进高价值农业转型的主要制度手段。除了政策象征意义外,特色农产品优势区为农民提供了结构化机会,使其能够从低回报、自给自足的农业向更具盈利性、市场导向和环境可持续的实践转型。评估特色农产品优势区的影响,可为高价值农业如何解决农村发展关键挑战提供有意义的见解。

2.2 高价值农业缩小城乡收入差距(URIG)的潜在渠道与假设

特色农产品优势区政策作为一项战略性高价值农业举措,直接针对农村经济发展的结构性制约因素(Luo等,2025)。城乡收入差距持续存在的主要原因是农村农业生产发展滞后,导致农民收入始终低于城市居民(Bezemer和Headey,2008;Ravallion和Chen,2007)。众多研究表明,农村收入停滞主要归因于关键生产要素的短缺和低效,如劳动力(Gao等,2014)、资本(Huang和Shi,2021;Tang等,2022)和土地流转(Rogers等,2021)。此外,农业品牌建设薄弱降低了产品竞争力,限制了增值收益(Tang等,2024),而小规模分散经营和欠发达的组织形式则限制了农民的议价能力(Huang和Liang,2018)。幸运的是,理论上高价值农业可以通过赋能生产要素、加强农业品牌建设和升级农业经营主体,克服这些制约因素,从而有可能增加农民收入、缩小城乡收入差距(图2)。

首先,高价值农业可以通过赋能农业生产要素来缩小城乡收入差距。区域间收入趋同取决于劳动力和资本的有效配置与生产率(Yuan等,2020)。高价值农业通常比传统农业提供更高的经济回报,吸引劳动力和资本流入,提高土地生产率,促进要素集聚(Narayanan,2014)。由于经济作物往往比粮食作物更难实现机械化,高价值农业生产对人工劳动的需求也更强。这为愿意留在家乡的年轻、受过教育的工人提供了在当地从事农业工作的机会,而非远赴城市务工。留住技能型劳动力可维持农村人力资本基础,为加工、物流和营销等相关产业提供支持,从而直接增加农村收入(De murger和Xu,2011;Yu和Lu,2021)。此外,高价值农业可吸引更多资本投资于基础设施和农产品加工,从而放大农村经济回报(Morvaridi,1990;Li等,2018;Campos,2022)。同时,通过促进更专业化的生产,高价值农业还可能鼓励在当地制度和市场允许的情况下进行土地集约利用,提高农业生产率(Huang和Liang,2018;Luo等,2025;Rogers等,2021)。基于此,我们提出以下假设:

H1:高价值农业通过留住本地高素质劳动力、增加资本投资和促进土地集约利用,赋能农业生产要素,从而缩小城乡收入差距。

其次,高价值农业可以通过加强农业品牌建设来缩小城乡收入差距。与传统农业以小规模经营、信息不对称和产品同质化为特征不同,高价值农业具有大规模、市场化和差异化生产的特点,更有利于品牌发展通过推动品牌建设,高价值农业有助于高价值地方农产品的认证,帮助当地生产者减少区域信息不对称、增强产品独特性并提高产品价值(Zhao等,2020)。农业品牌建设的发展,反过来又可以通过标准化生产实践和加强质量控制,进一步增强消费者信任和满意度(Zhao等,2020)。因此,在向高价值农业转型过程中,农民将更倾向于种植高价值经济作物并追求品牌创新,从而获得更高的经营收入。此外,农业品牌建设的发展可显著提升农产品的市场竞争力和出口潜力,这不仅提高了产品附加值,还增强了农民的议价能力,确保更稳定的市场准入和更高收入,从而增加农民收入(Tang等,2024;Zheng和Li,2024)。因此,我们提出以下假设:

H2:高价值农业通过培育农业品牌和激发农村品牌创新,加强农业品牌建设,从而缩小城乡收入差距。

最后,高价值农业可以通过升级农业经营主体来缩小城乡收入差距。与传统农业相比,高价值农业与更多样化和现代化的组织形式相关联,这些形式有利于规模化经营和专业化生产(Huang和Liang,2018;Luo等,2025)。高价值农业通过促进合作社和农业企业等新型管理主体的进入,推动农业生产组织化(Jin等,2024;Luo等,2025)。这些主体推广订单农业和数字农业等生产模式,进一步加强了农产品与市场的联系(Narayanan,2014;Cramer等,2022)。通过促进大规模和专业化生产,农民可以摆脱分散的自雇经营,降低交易和运营风险,并通过参与合作社或农业企业以及改善市场准入,获得更稳定的收入(Shiferaw等,2011)。此外,通过将农业价值链延伸至加工、物流和营销环节,新型经营主体创造了额外的就业机会,共同促进收入增长和就业稳定,从而有助于缩小城乡收入差距(Barrett等,2022;Reardon等,2019)。基于此理解,我们提出以下最终假设:

H3:高价值农业通过促进农民合作社、农业龙头企业和家庭农场的发展,升级农业经营主体,从而缩小城乡收入差距。

数据与方法

3.1 数据来源

特色农产品优势区政策相关数据来源于浙江大学开发的中国农村发展研究院千村中国农业研究数据库。该数据库旨在支持中国乡村振兴战略,服务于农业、农村和农民相关的学术研究与政策分析。城乡居民收入比(URIG)数据来源于《中国区域经济统计年鉴》和《中国县域统计年鉴》。关于控制变量和协变量,财政支出与地区生产总值(GDP)的数据来源与URIG相同。道路网络密度数据来自官方开源地图(OSM)数据库。温度数据源自欧洲中期天气预报中心的ERA5再分析数据集中的年平均2米地表温度。降水数据取自国家青藏高原科学数据中心,采样空间分辨率为1千米。海拔数据来自中国科学院资源环境科学与数据中心,空间分辨率为250米。坡度数据源自美国国家航空航天局的先进星载热发射和反射辐射仪全球数字高程模型(V003),分辨率为30米。森林和草地覆盖率数据来自武汉大学提供的2017年土地利用数据集,分辨率为30米。所有数据集均经过严格的质量控制和一致性检查,以确保实证分析的稳健性和可靠性。值得注意的是,在样本期间,部分行政县发生了管辖权变更。本研究排除了在样本期间发生管辖权变更的县。此外,控制变量存在缺失值,我们直接将其排除。最终,本研究选取了2014-2022年中国1723个县的非平衡面板数据,形成了包含12833个观测值的非平衡面板数据集。其中,国家级特色农产品优势区有401个。

3.2 变量

3.2.1 特色农产品优势区政策的实施

本研究探讨国家级特色农产品优势区。在特色农产品优势区申请和认定过程中,某些情况下,同一地级市下的多个县、县级市或市辖区会联合建立特色农产品优势区示范区。在这种情况下,我们将对应地级市特色农产品优势区示范区下的所有县级单位统一划入处理组。此外,如果一个县级地区被多次认定为特色农产品优势区,本研究以其首次被认定的年份作为处理年份。

3.2.2 城乡居民收入比

城乡居民收入比用城镇居民人均可支配收入与农村居民人均可支配收入之比来衡量。该指标在现有文献中被广泛用于评估收入差距和区域不平等(Yu and Lu,2021)。

3.2.3 作用机制变量

本研究考察了三种作用机制:生产要素赋能、农业品牌化以及农业经营主体的作用。生产要素赋能从三个方面进行评估:劳动力(包括劳动力流动性和质量)、资本投资和土地流转农业品牌赋能以地理标志农产品品数量和农村品牌创新水平作为代理变量农业经营主体赋能则用国家级农民专业合作社、国家级农业产业化龙头企业以及省级家庭农场来表示

3.2.4 控制变量与协变量

参照Yu and Lu(2021)和Gao et al.(2014)的研究,本研究控制了其他可能影响特色农产品优势区和城乡居民收入比的因素,包括温度、降水、财政支出、地区GDP和道路网络密度。鉴于特色农产品优势区的认定特别强调生态条件和资源禀赋,我们进一步采用倾向得分匹配 - 双重差分法(PSM-DID)以确保结果的稳健性。在匹配过程中,借鉴《特色农产品优势区建设规划纲要》,纳入了反映县级地形和资源特征的额外协变量,如海拔、坡度和森林草地覆盖率。

3.3 模型

结论与政策建议

1 结论

随着中国农村发展战略持续推进并取得阶段性成果,城乡居民收入比(URIG)仍是实现社会均衡发展面临的核心挑战。本研究从特色农产品优势区(CAPAs)政策视角评估了高价值农业(HVA)对缩小城乡居民收入比的影响,主要发现如下:

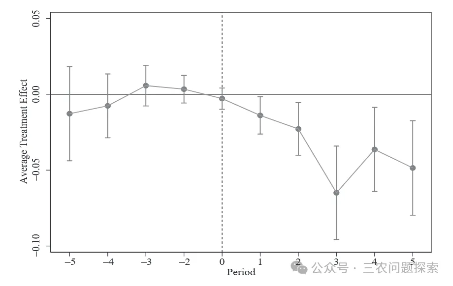
第一,特色农产品优势区通过提高农村居民收入显著缩小了城乡居民收入比,且在一系列内生性和稳健性检验后,该效应依然稳健。

第二,机制检验表明,特色农产品优势区通过改善本地劳动力留存与质量、增加农业资本投资、借助地理标志产品品牌化实现增值,以及强化农民合作社和龙头企业等农业经营主体等方式,缩小了城乡居民收入比。

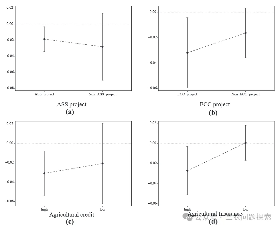
第三,异质性分析显示,以粮食和经济作物以及畜产品为核心的特色农产品优势区显著缩小了城乡居民收入比;相反,以林产品为重点的特色农产品优势区则有扩大该差距的趋势。水产和园艺类特色农产品优势区的影响在统计上不显著,不过园艺类特色农产品优势区可能存在扩大收入差距的风险。此外,特色农产品优势区的均等化效应集中在有农业产业强镇(ASS)、农村电子商务、农业信贷与保险等配套政策支持的地区,缺乏这些制度支撑时,其效应微乎其微。

2 政策启示

本研究结果凸显了制定针对性政策发展高价值农业的必要性,现提出以下三点建议:

第一,政府应将高价值农业纳入长期发展战略。特色农产品优势区的实践表明,基于区域的产业发展规划和特色产品培育能够提高农民收入、缩小收入差距。持续推动高价值农业发展将使中国受益。此外,我们的研究结果也为其他正在试验类似高价值农业导向计划的发展中国家提供了经验借鉴,如印度的“一区一品”(ODOP)计划和越南的“一乡一品”(OCOP)计划。这些国际案例表明,中国特色农产品优势区的经验可为更广泛的农业转型战略提供参考。

第二,需优化高价值农业的发展环境。研究结果表明,特色农产品优势区通过提升劳动力素质和鼓励农业资本投资缩小了收入差距。因此,政策制定者应完善农业从业者的技能培训和融资体系。同时,推动产品品牌化、培育多元化农业经营主体对提高生产力和市场竞争力至关重要,是提高农民收入的关键。

第三,实施差异化区域战略至关重要。异质性分析显示,特色农产品优势区的影响因农业类型而异。在粮食和经济作物以及畜产品产区,应提供针对优良品种和标准化设施的补贴,以加快产业升级。在林业地区,应避免盲目扩大特色农产品优势区规模,而应重点开发将生态价值转化为农村收入的替代途径,如林下经济、木材加工和生态旅游。在水产养殖和园艺产区,应根据生产要素、市场竞争力及产业链支持情况进行严格的预评估,条件不足时应先加强基础设施建设,防止政策过早推行扩大收入差距。最后,应强化配套政策以形成协同效应。地方政府应进一步完善资金管理,鼓励拓展全流程一体化农业服务体系,扩大电子商务培训。此外,应扩大农业信贷与保险计划的覆盖范围,提高覆盖深度,避免形式化执行。在缺乏配套制度的情况下,应暂缓特色农产品优势区建设,直至配套政策到位,防止出现无效或形式化的实施情况。

    图表解剖

    (一)图
    图1.CAPAs分布
    图2.分析框架
    图3.平行趋势检验
    图4.特色农产品类型的异质性
    图5.农村政策叠加的异质性
    (二)表

    表1.描述性统计

    表2.CAPAs对URIG的作用
    表3.CAPAs对城乡居民收入的影响

    表4.劳动力和财政对农业的支持

    表5.农业品牌化对农业的支持

    表6.农业主体对农业的支持

    参考文献:

    Guo, Z., Lu, M., & Su, L. (2026). Can high-value agriculture narrow the urban-rural income gap? A policy-based evidence from China. China Agricultural Economic Review, 1-19.

    乡见古月

    学者、艺术家、新农人

    30年乡村采风,10几年乡建实践。

    以乡村振兴参与者的视角观察乡村的发展。

    发起中国乡村振兴智库联盟,为中国的乡村振兴献策献智。

    创建关注中国乡村振兴专业分享公众号“乡见欢”。

    乡见三农三村:农民、农业、农村,探村、说村、画村;

    乡见六和美:食、物、人、文、旅、厝。

    见乡村之美,传播中华之美。


    最新文章

    随机文章

    基本 文件 流程 错误 SQL 调试
    1. 请求信息 : 2026-04-06 10:20:52 HTTP/2.0 GET : https://h.mffb.com.cn/a/486357.html
    2. 运行时间 : 0.404136s [ 吞吐率:2.47req/s ] 内存消耗:4,556.73kb 文件加载:140
    3. 缓存信息 : 0 reads,0 writes
    4. 会话信息 : SESSION_ID=783fd7c35c18a56bda8b45ecfb9b09cd
    1. /yingpanguazai/ssd/ssd1/www/h.mffb.com.cn/public/index.php ( 0.79 KB )
    2. /yingpanguazai/ssd/ssd1/www/h.mffb.com.cn/vendor/autoload.php ( 0.17 KB )
    3. /yingpanguazai/ssd/ssd1/www/h.mffb.com.cn/vendor/composer/autoload_real.php ( 2.49 KB )
    4. /yingpanguazai/ssd/ssd1/www/h.mffb.com.cn/vendor/composer/platform_check.php ( 0.90 KB )
    5. /yingpanguazai/ssd/ssd1/www/h.mffb.com.cn/vendor/composer/ClassLoader.php ( 14.03 KB )
    6. /yingpanguazai/ssd/ssd1/www/h.mffb.com.cn/vendor/composer/autoload_static.php ( 4.90 KB )
    7. /yingpanguazai/ssd/ssd1/www/h.mffb.com.cn/vendor/topthink/think-helper/src/helper.php ( 8.34 KB )
    8. /yingpanguazai/ssd/ssd1/www/h.mffb.com.cn/vendor/topthink/think-validate/src/helper.php ( 2.19 KB )
    9. /yingpanguazai/ssd/ssd1/www/h.mffb.com.cn/vendor/topthink/think-orm/src/helper.php ( 1.47 KB )
    10. /yingpanguazai/ssd/ssd1/www/h.mffb.com.cn/vendor/topthink/think-orm/stubs/load_stubs.php ( 0.16 KB )
    11. /yingpanguazai/ssd/ssd1/www/h.mffb.com.cn/vendor/topthink/framework/src/think/Exception.php ( 1.69 KB )
    12. /yingpanguazai/ssd/ssd1/www/h.mffb.com.cn/vendor/topthink/think-container/src/Facade.php ( 2.71 KB )
    13. /yingpanguazai/ssd/ssd1/www/h.mffb.com.cn/vendor/symfony/deprecation-contracts/function.php ( 0.99 KB )
    14. /yingpanguazai/ssd/ssd1/www/h.mffb.com.cn/vendor/symfony/polyfill-mbstring/bootstrap.php ( 8.26 KB )
    15. /yingpanguazai/ssd/ssd1/www/h.mffb.com.cn/vendor/symfony/polyfill-mbstring/bootstrap80.php ( 9.78 KB )
    16. /yingpanguazai/ssd/ssd1/www/h.mffb.com.cn/vendor/symfony/var-dumper/Resources/functions/dump.php ( 1.49 KB )
    17. /yingpanguazai/ssd/ssd1/www/h.mffb.com.cn/vendor/topthink/think-dumper/src/helper.php ( 0.18 KB )
    18. /yingpanguazai/ssd/ssd1/www/h.mffb.com.cn/vendor/symfony/var-dumper/VarDumper.php ( 4.30 KB )
    19. /yingpanguazai/ssd/ssd1/www/h.mffb.com.cn/vendor/topthink/framework/src/think/App.php ( 15.30 KB )
    20. /yingpanguazai/ssd/ssd1/www/h.mffb.com.cn/vendor/topthink/think-container/src/Container.php ( 15.76 KB )
    21. /yingpanguazai/ssd/ssd1/www/h.mffb.com.cn/vendor/psr/container/src/ContainerInterface.php ( 1.02 KB )
    22. /yingpanguazai/ssd/ssd1/www/h.mffb.com.cn/app/provider.php ( 0.19 KB )
    23. /yingpanguazai/ssd/ssd1/www/h.mffb.com.cn/vendor/topthink/framework/src/think/Http.php ( 6.04 KB )
    24. /yingpanguazai/ssd/ssd1/www/h.mffb.com.cn/vendor/topthink/think-helper/src/helper/Str.php ( 7.29 KB )
    25. /yingpanguazai/ssd/ssd1/www/h.mffb.com.cn/vendor/topthink/framework/src/think/Env.php ( 4.68 KB )
    26. /yingpanguazai/ssd/ssd1/www/h.mffb.com.cn/app/common.php ( 0.03 KB )
    27. /yingpanguazai/ssd/ssd1/www/h.mffb.com.cn/vendor/topthink/framework/src/helper.php ( 18.78 KB )
    28. /yingpanguazai/ssd/ssd1/www/h.mffb.com.cn/vendor/topthink/framework/src/think/Config.php ( 5.54 KB )
    29. /yingpanguazai/ssd/ssd1/www/h.mffb.com.cn/config/app.php ( 0.95 KB )
    30. /yingpanguazai/ssd/ssd1/www/h.mffb.com.cn/config/cache.php ( 0.78 KB )
    31. /yingpanguazai/ssd/ssd1/www/h.mffb.com.cn/config/console.php ( 0.23 KB )
    32. /yingpanguazai/ssd/ssd1/www/h.mffb.com.cn/config/cookie.php ( 0.56 KB )
    33. /yingpanguazai/ssd/ssd1/www/h.mffb.com.cn/config/database.php ( 2.48 KB )
    34. /yingpanguazai/ssd/ssd1/www/h.mffb.com.cn/vendor/topthink/framework/src/think/facade/Env.php ( 1.67 KB )
    35. /yingpanguazai/ssd/ssd1/www/h.mffb.com.cn/config/filesystem.php ( 0.61 KB )
    36. /yingpanguazai/ssd/ssd1/www/h.mffb.com.cn/config/lang.php ( 0.91 KB )
    37. /yingpanguazai/ssd/ssd1/www/h.mffb.com.cn/config/log.php ( 1.35 KB )
    38. /yingpanguazai/ssd/ssd1/www/h.mffb.com.cn/config/middleware.php ( 0.19 KB )
    39. /yingpanguazai/ssd/ssd1/www/h.mffb.com.cn/config/route.php ( 1.89 KB )
    40. /yingpanguazai/ssd/ssd1/www/h.mffb.com.cn/config/session.php ( 0.57 KB )
    41. /yingpanguazai/ssd/ssd1/www/h.mffb.com.cn/config/trace.php ( 0.34 KB )
    42. /yingpanguazai/ssd/ssd1/www/h.mffb.com.cn/config/view.php ( 0.82 KB )
    43. /yingpanguazai/ssd/ssd1/www/h.mffb.com.cn/app/event.php ( 0.25 KB )
    44. /yingpanguazai/ssd/ssd1/www/h.mffb.com.cn/vendor/topthink/framework/src/think/Event.php ( 7.67 KB )
    45. /yingpanguazai/ssd/ssd1/www/h.mffb.com.cn/app/service.php ( 0.13 KB )
    46. /yingpanguazai/ssd/ssd1/www/h.mffb.com.cn/app/AppService.php ( 0.26 KB )
    47. /yingpanguazai/ssd/ssd1/www/h.mffb.com.cn/vendor/topthink/framework/src/think/Service.php ( 1.64 KB )
    48. /yingpanguazai/ssd/ssd1/www/h.mffb.com.cn/vendor/topthink/framework/src/think/Lang.php ( 7.35 KB )
    49. /yingpanguazai/ssd/ssd1/www/h.mffb.com.cn/vendor/topthink/framework/src/lang/zh-cn.php ( 13.70 KB )
    50. /yingpanguazai/ssd/ssd1/www/h.mffb.com.cn/vendor/topthink/framework/src/think/initializer/Error.php ( 3.31 KB )
    51. /yingpanguazai/ssd/ssd1/www/h.mffb.com.cn/vendor/topthink/framework/src/think/initializer/RegisterService.php ( 1.33 KB )
    52. /yingpanguazai/ssd/ssd1/www/h.mffb.com.cn/vendor/services.php ( 0.14 KB )
    53. /yingpanguazai/ssd/ssd1/www/h.mffb.com.cn/vendor/topthink/framework/src/think/service/PaginatorService.php ( 1.52 KB )
    54. /yingpanguazai/ssd/ssd1/www/h.mffb.com.cn/vendor/topthink/framework/src/think/service/ValidateService.php ( 0.99 KB )
    55. /yingpanguazai/ssd/ssd1/www/h.mffb.com.cn/vendor/topthink/framework/src/think/service/ModelService.php ( 2.04 KB )
    56. /yingpanguazai/ssd/ssd1/www/h.mffb.com.cn/vendor/topthink/think-trace/src/Service.php ( 0.77 KB )
    57. /yingpanguazai/ssd/ssd1/www/h.mffb.com.cn/vendor/topthink/framework/src/think/Middleware.php ( 6.72 KB )
    58. /yingpanguazai/ssd/ssd1/www/h.mffb.com.cn/vendor/topthink/framework/src/think/initializer/BootService.php ( 0.77 KB )
    59. /yingpanguazai/ssd/ssd1/www/h.mffb.com.cn/vendor/topthink/think-orm/src/Paginator.php ( 11.86 KB )
    60. /yingpanguazai/ssd/ssd1/www/h.mffb.com.cn/vendor/topthink/think-validate/src/Validate.php ( 63.20 KB )
    61. /yingpanguazai/ssd/ssd1/www/h.mffb.com.cn/vendor/topthink/think-orm/src/Model.php ( 23.55 KB )
    62. /yingpanguazai/ssd/ssd1/www/h.mffb.com.cn/vendor/topthink/think-orm/src/model/concern/Attribute.php ( 21.05 KB )
    63. /yingpanguazai/ssd/ssd1/www/h.mffb.com.cn/vendor/topthink/think-orm/src/model/concern/AutoWriteData.php ( 4.21 KB )
    64. /yingpanguazai/ssd/ssd1/www/h.mffb.com.cn/vendor/topthink/think-orm/src/model/concern/Conversion.php ( 6.44 KB )
    65. /yingpanguazai/ssd/ssd1/www/h.mffb.com.cn/vendor/topthink/think-orm/src/model/concern/DbConnect.php ( 5.16 KB )
    66. /yingpanguazai/ssd/ssd1/www/h.mffb.com.cn/vendor/topthink/think-orm/src/model/concern/ModelEvent.php ( 2.33 KB )
    67. /yingpanguazai/ssd/ssd1/www/h.mffb.com.cn/vendor/topthink/think-orm/src/model/concern/RelationShip.php ( 28.29 KB )
    68. /yingpanguazai/ssd/ssd1/www/h.mffb.com.cn/vendor/topthink/think-helper/src/contract/Arrayable.php ( 0.09 KB )
    69. /yingpanguazai/ssd/ssd1/www/h.mffb.com.cn/vendor/topthink/think-helper/src/contract/Jsonable.php ( 0.13 KB )
    70. /yingpanguazai/ssd/ssd1/www/h.mffb.com.cn/vendor/topthink/think-orm/src/model/contract/Modelable.php ( 0.09 KB )
    71. /yingpanguazai/ssd/ssd1/www/h.mffb.com.cn/vendor/topthink/framework/src/think/Db.php ( 2.88 KB )
    72. /yingpanguazai/ssd/ssd1/www/h.mffb.com.cn/vendor/topthink/think-orm/src/DbManager.php ( 8.52 KB )
    73. /yingpanguazai/ssd/ssd1/www/h.mffb.com.cn/vendor/topthink/framework/src/think/Log.php ( 6.28 KB )
    74. /yingpanguazai/ssd/ssd1/www/h.mffb.com.cn/vendor/topthink/framework/src/think/Manager.php ( 3.92 KB )
    75. /yingpanguazai/ssd/ssd1/www/h.mffb.com.cn/vendor/psr/log/src/LoggerTrait.php ( 2.69 KB )
    76. /yingpanguazai/ssd/ssd1/www/h.mffb.com.cn/vendor/psr/log/src/LoggerInterface.php ( 2.71 KB )
    77. /yingpanguazai/ssd/ssd1/www/h.mffb.com.cn/vendor/topthink/framework/src/think/Cache.php ( 4.92 KB )
    78. /yingpanguazai/ssd/ssd1/www/h.mffb.com.cn/vendor/psr/simple-cache/src/CacheInterface.php ( 4.71 KB )
    79. /yingpanguazai/ssd/ssd1/www/h.mffb.com.cn/vendor/topthink/think-helper/src/helper/Arr.php ( 16.63 KB )
    80. /yingpanguazai/ssd/ssd1/www/h.mffb.com.cn/vendor/topthink/framework/src/think/cache/driver/File.php ( 7.84 KB )
    81. /yingpanguazai/ssd/ssd1/www/h.mffb.com.cn/vendor/topthink/framework/src/think/cache/Driver.php ( 9.03 KB )
    82. /yingpanguazai/ssd/ssd1/www/h.mffb.com.cn/vendor/topthink/framework/src/think/contract/CacheHandlerInterface.php ( 1.99 KB )
    83. /yingpanguazai/ssd/ssd1/www/h.mffb.com.cn/app/Request.php ( 0.09 KB )
    84. /yingpanguazai/ssd/ssd1/www/h.mffb.com.cn/vendor/topthink/framework/src/think/Request.php ( 55.78 KB )
    85. /yingpanguazai/ssd/ssd1/www/h.mffb.com.cn/app/middleware.php ( 0.25 KB )
    86. /yingpanguazai/ssd/ssd1/www/h.mffb.com.cn/vendor/topthink/framework/src/think/Pipeline.php ( 2.61 KB )
    87. /yingpanguazai/ssd/ssd1/www/h.mffb.com.cn/vendor/topthink/think-trace/src/TraceDebug.php ( 3.40 KB )
    88. /yingpanguazai/ssd/ssd1/www/h.mffb.com.cn/vendor/topthink/framework/src/think/middleware/SessionInit.php ( 1.94 KB )
    89. /yingpanguazai/ssd/ssd1/www/h.mffb.com.cn/vendor/topthink/framework/src/think/Session.php ( 1.80 KB )
    90. /yingpanguazai/ssd/ssd1/www/h.mffb.com.cn/vendor/topthink/framework/src/think/session/driver/File.php ( 6.27 KB )
    91. /yingpanguazai/ssd/ssd1/www/h.mffb.com.cn/vendor/topthink/framework/src/think/contract/SessionHandlerInterface.php ( 0.87 KB )
    92. /yingpanguazai/ssd/ssd1/www/h.mffb.com.cn/vendor/topthink/framework/src/think/session/Store.php ( 7.12 KB )
    93. /yingpanguazai/ssd/ssd1/www/h.mffb.com.cn/vendor/topthink/framework/src/think/Route.php ( 23.73 KB )
    94. /yingpanguazai/ssd/ssd1/www/h.mffb.com.cn/vendor/topthink/framework/src/think/route/RuleName.php ( 5.75 KB )
    95. /yingpanguazai/ssd/ssd1/www/h.mffb.com.cn/vendor/topthink/framework/src/think/route/Domain.php ( 2.53 KB )
    96. /yingpanguazai/ssd/ssd1/www/h.mffb.com.cn/vendor/topthink/framework/src/think/route/RuleGroup.php ( 22.43 KB )
    97. /yingpanguazai/ssd/ssd1/www/h.mffb.com.cn/vendor/topthink/framework/src/think/route/Rule.php ( 26.95 KB )
    98. /yingpanguazai/ssd/ssd1/www/h.mffb.com.cn/vendor/topthink/framework/src/think/route/RuleItem.php ( 9.78 KB )
    99. /yingpanguazai/ssd/ssd1/www/h.mffb.com.cn/route/app.php ( 1.72 KB )
    100. /yingpanguazai/ssd/ssd1/www/h.mffb.com.cn/vendor/topthink/framework/src/think/facade/Route.php ( 4.70 KB )
    101. /yingpanguazai/ssd/ssd1/www/h.mffb.com.cn/vendor/topthink/framework/src/think/route/dispatch/Controller.php ( 4.74 KB )
    102. /yingpanguazai/ssd/ssd1/www/h.mffb.com.cn/vendor/topthink/framework/src/think/route/Dispatch.php ( 10.44 KB )
    103. /yingpanguazai/ssd/ssd1/www/h.mffb.com.cn/app/controller/Index.php ( 4.81 KB )
    104. /yingpanguazai/ssd/ssd1/www/h.mffb.com.cn/app/BaseController.php ( 2.05 KB )
    105. /yingpanguazai/ssd/ssd1/www/h.mffb.com.cn/vendor/topthink/think-orm/src/facade/Db.php ( 0.93 KB )
    106. /yingpanguazai/ssd/ssd1/www/h.mffb.com.cn/vendor/topthink/think-orm/src/db/connector/Mysql.php ( 5.44 KB )
    107. /yingpanguazai/ssd/ssd1/www/h.mffb.com.cn/vendor/topthink/think-orm/src/db/PDOConnection.php ( 52.47 KB )
    108. /yingpanguazai/ssd/ssd1/www/h.mffb.com.cn/vendor/topthink/think-orm/src/db/Connection.php ( 8.39 KB )
    109. /yingpanguazai/ssd/ssd1/www/h.mffb.com.cn/vendor/topthink/think-orm/src/db/ConnectionInterface.php ( 4.57 KB )
    110. /yingpanguazai/ssd/ssd1/www/h.mffb.com.cn/vendor/topthink/think-orm/src/db/builder/Mysql.php ( 16.58 KB )
    111. /yingpanguazai/ssd/ssd1/www/h.mffb.com.cn/vendor/topthink/think-orm/src/db/Builder.php ( 24.06 KB )
    112. /yingpanguazai/ssd/ssd1/www/h.mffb.com.cn/vendor/topthink/think-orm/src/db/BaseBuilder.php ( 27.50 KB )
    113. /yingpanguazai/ssd/ssd1/www/h.mffb.com.cn/vendor/topthink/think-orm/src/db/Query.php ( 15.71 KB )
    114. /yingpanguazai/ssd/ssd1/www/h.mffb.com.cn/vendor/topthink/think-orm/src/db/BaseQuery.php ( 45.13 KB )
    115. /yingpanguazai/ssd/ssd1/www/h.mffb.com.cn/vendor/topthink/think-orm/src/db/concern/TimeFieldQuery.php ( 7.43 KB )
    116. /yingpanguazai/ssd/ssd1/www/h.mffb.com.cn/vendor/topthink/think-orm/src/db/concern/AggregateQuery.php ( 3.26 KB )
    117. /yingpanguazai/ssd/ssd1/www/h.mffb.com.cn/vendor/topthink/think-orm/src/db/concern/ModelRelationQuery.php ( 20.07 KB )
    118. /yingpanguazai/ssd/ssd1/www/h.mffb.com.cn/vendor/topthink/think-orm/src/db/concern/ParamsBind.php ( 3.66 KB )
    119. /yingpanguazai/ssd/ssd1/www/h.mffb.com.cn/vendor/topthink/think-orm/src/db/concern/ResultOperation.php ( 7.01 KB )
    120. /yingpanguazai/ssd/ssd1/www/h.mffb.com.cn/vendor/topthink/think-orm/src/db/concern/WhereQuery.php ( 19.37 KB )
    121. /yingpanguazai/ssd/ssd1/www/h.mffb.com.cn/vendor/topthink/think-orm/src/db/concern/JoinAndViewQuery.php ( 7.11 KB )
    122. /yingpanguazai/ssd/ssd1/www/h.mffb.com.cn/vendor/topthink/think-orm/src/db/concern/TableFieldInfo.php ( 2.63 KB )
    123. /yingpanguazai/ssd/ssd1/www/h.mffb.com.cn/vendor/topthink/think-orm/src/db/concern/Transaction.php ( 2.77 KB )
    124. /yingpanguazai/ssd/ssd1/www/h.mffb.com.cn/vendor/topthink/framework/src/think/log/driver/File.php ( 5.96 KB )
    125. /yingpanguazai/ssd/ssd1/www/h.mffb.com.cn/vendor/topthink/framework/src/think/contract/LogHandlerInterface.php ( 0.86 KB )
    126. /yingpanguazai/ssd/ssd1/www/h.mffb.com.cn/vendor/topthink/framework/src/think/log/Channel.php ( 3.89 KB )
    127. /yingpanguazai/ssd/ssd1/www/h.mffb.com.cn/vendor/topthink/framework/src/think/event/LogRecord.php ( 1.02 KB )
    128. /yingpanguazai/ssd/ssd1/www/h.mffb.com.cn/vendor/topthink/think-helper/src/Collection.php ( 16.47 KB )
    129. /yingpanguazai/ssd/ssd1/www/h.mffb.com.cn/vendor/topthink/framework/src/think/facade/View.php ( 1.70 KB )
    130. /yingpanguazai/ssd/ssd1/www/h.mffb.com.cn/vendor/topthink/framework/src/think/View.php ( 4.39 KB )
    131. /yingpanguazai/ssd/ssd1/www/h.mffb.com.cn/vendor/topthink/framework/src/think/Response.php ( 8.81 KB )
    132. /yingpanguazai/ssd/ssd1/www/h.mffb.com.cn/vendor/topthink/framework/src/think/response/View.php ( 3.29 KB )
    133. /yingpanguazai/ssd/ssd1/www/h.mffb.com.cn/vendor/topthink/framework/src/think/Cookie.php ( 6.06 KB )
    134. /yingpanguazai/ssd/ssd1/www/h.mffb.com.cn/vendor/topthink/think-view/src/Think.php ( 8.38 KB )
    135. /yingpanguazai/ssd/ssd1/www/h.mffb.com.cn/vendor/topthink/framework/src/think/contract/TemplateHandlerInterface.php ( 1.60 KB )
    136. /yingpanguazai/ssd/ssd1/www/h.mffb.com.cn/vendor/topthink/think-template/src/Template.php ( 46.61 KB )
    137. /yingpanguazai/ssd/ssd1/www/h.mffb.com.cn/vendor/topthink/think-template/src/template/driver/File.php ( 2.41 KB )
    138. /yingpanguazai/ssd/ssd1/www/h.mffb.com.cn/vendor/topthink/think-template/src/template/contract/DriverInterface.php ( 0.86 KB )
    139. /yingpanguazai/ssd/ssd1/www/h.mffb.com.cn/runtime/temp/32b793ebdcbdb96aeb8bb24c123b0bef.php ( 11.98 KB )
    140. /yingpanguazai/ssd/ssd1/www/h.mffb.com.cn/vendor/topthink/think-trace/src/Html.php ( 4.42 KB )
    1. CONNECT:[ UseTime:0.001138s ] mysql:host=127.0.0.1;port=3306;dbname=h_mffb;charset=utf8mb4
    2. SHOW FULL COLUMNS FROM `fenlei` [ RunTime:0.001421s ]
    3. SELECT * FROM `fenlei` WHERE `fid` = 0 [ RunTime:0.005551s ]
    4. SELECT * FROM `fenlei` WHERE `fid` = 63 [ RunTime:0.001784s ]
    5. SHOW FULL COLUMNS FROM `set` [ RunTime:0.000683s ]
    6. SELECT * FROM `set` [ RunTime:0.010690s ]
    7. SHOW FULL COLUMNS FROM `article` [ RunTime:0.000758s ]
    8. SELECT * FROM `article` WHERE `id` = 486357 LIMIT 1 [ RunTime:0.005943s ]
    9. UPDATE `article` SET `lasttime` = 1775442052 WHERE `id` = 486357 [ RunTime:0.004453s ]
    10. SELECT * FROM `fenlei` WHERE `id` = 64 LIMIT 1 [ RunTime:0.006992s ]
    11. SELECT * FROM `article` WHERE `id` < 486357 ORDER BY `id` DESC LIMIT 1 [ RunTime:0.007711s ]
    12. SELECT * FROM `article` WHERE `id` > 486357 ORDER BY `id` ASC LIMIT 1 [ RunTime:0.012182s ]
    13. SELECT * FROM `article` WHERE `id` < 486357 ORDER BY `id` DESC LIMIT 10 [ RunTime:0.016094s ]
    14. SELECT * FROM `article` WHERE `id` < 486357 ORDER BY `id` DESC LIMIT 10,10 [ RunTime:0.051275s ]
    15. SELECT * FROM `article` WHERE `id` < 486357 ORDER BY `id` DESC LIMIT 20,10 [ RunTime:0.065915s ]
    0.405791s