1.时空变化分析
2001-2020年间,耕地GPP呈现显著的时空差异。2001年,低GPP等级(<143,000gC/m²)集中在中国东北、华北和西北部分地区(图3a);到2020年,高GPP等级(143,000-286,000gC/m²)在这些地区显著扩张(图3b),表明耕地生产力广泛提升。图3c显示,与2001年相比,各地均出现不同程度的增长,其中华北和西北地区增幅尤为明显。

可持续农业依赖于减少土壤侵蚀和维持土壤肥力。MLCPs的干预措施(包括梯田建设、盐碱地修复、灌溉基础设施建设和防护林营造)有效减少了径流,改善了土壤质量,缓解了侵蚀。图3d和图3e中,颜色从深红色(低SC,<15t/ha)到蓝色和紫色(高SC,>3000t/ha)代表SC逐步提升。2000年,中国西北和华北地区的耕地以深红色和黄褐色为主,与南方地区相比SC相对较低,这主要受气候和地形因素驱动。然而,变化图显示,北方和部分南方沿海地区以紫色和深粉色为主,对应SC增幅超过1055t/ha,凸显SC的显著提升(图3f)。以中国东北的松嫩平原为例,该核心农业区分布着大量盐碱地,此前制约了农业发展。自2007年吉林省西部重大土地开发复垦项目启动以来,五年内已修复约8.8万公顷盐碱地。持续的土地整治显著改善了土壤质量,表现为2000年的浅色向2018年的深色转变,与整体趋势一致。
NDVI是衡量植被活动和作物覆盖的常用指标。图3g显示,2000年北方和西北地区的耕地多为粉紫色,对应低NDVI值(5000-7000),而黑龙江、河南和山东的耕地则以深绿色为主,对应高NDVI值(9000-10,000);到2020年,大多数西北和北方地区的绿色调显著加深(NDVI增至9000-10,000;图3h)。在NDVI变化图中,西北和北方地区以绿色、橙色或红色为主,表明NDVI增幅超过2000,而部分南方地区则出现下降(图3i)。这一格局反映了植被覆盖的显著增加以及中国粮食生产中心的逐步北移。MLCPs实施前,北方耕地资源有限、植被覆盖较低;而一系列工程干预措施显著改善了NDVI,为农业生产提供了更充足的资源支持。
MLCPs对可持续农业生产和生态保护均产生了显著影响。在分析的实验组和对照组中(图4),黑龙江、吉林、河南(北方)、新疆、宁夏(西北)、青海(青藏高原)和湖北等省份的MLCPs实施后,单位作物产量有所提升,且项目区的产量增幅显著高于对应对照组。相反,陕西、甘肃(西北)和湖南、海南、云南(南方)等省份的对照组单位耕地产量出现下降,而实验组则呈现可衡量的改善。这些格局凸显了MLCPs对农业生产力的积极效应。从生态保护角度来看,MLCPs区域的基准NDVI值普遍低于邻近对照区域;实施后,大多数项目区的NDVI显著增加,但增幅总体小于对照组。这种差异可能源于许多MLCPs位于生态脆弱地区。为进一步验证这些结果,后续分析将采用交错DID模型,控制实验组和对照组之间的气候、社会经济和其他混杂变量。

2.实证结果
2.1.农业生产实证分析
中国的MLCPs显著提高了项目区的粮食产量,表现为TCP(p<0.01;表2模型1-3)和单位面积产量(CY,p<0.1;表2模型4-6)的显著改善。控制乡镇和年份固定效应以及其他协变量后,结果依然稳健。MLCPs实施使TCP提升约13.6%(模型3),CY提升4.3%(模型6)。

DID模型进一步纳入了产业升级、人口密度和道路基础设施发展等额外因素。TCP和单位面积产量的改善均与道路基础设施发展呈显著正相关(p<0.01;表2模型3)。过去二十年间,中国乡镇和郊区道路网络发生了巨大变化,完善的道路基础设施促进了生产要素的流动,从而提升了农业专业化水平和效率。相反,产业升级对TCP产生显著负向影响(p<0.01;表2模型3),这可归因于工业化驱动的劳动力从农业向非农部门转移,导致耕地撂荒,进而减少农业产出。
人口密度与TCP呈负相关,但与单位面积产量呈正相关(p<0.01;表2模型6)。较高的人口密度往往导致城市扩张和基础设施建设,侵占耕地并减少土地总体可利用量,从而降低TCP;然而,人口密度增长也提高了粮食生产需求,促使政府和农民采取更先进的技术和管理措施提升农业效率,进而增加单位面积产量。
MLCPs并非主要依赖耕地扩张,而是主要通过改善土壤质量提升TCP。本研究通过在回归模型中引入行政区域内耕地比例与DID项的交互项、以及SC与DID项的交互项,进一步考察了MLCPs影响粮食生产的机制。DID×耕地比例交互项的系数在统计上不显著(p>0.1;表3模型1-2),表明耕地比例扩大带来的TCP增长并非MLCPs的显著作用渠道;表3模型3-4中,DID×SC交互项显著为正(p<0.01),表明MLCPs显著提升了SC,进而改善了TCP;相反,表3模型5-6中,DID×SC交互项也保持显著为正(p<0.01),说明SC改善显著提高了CY。

这些发现进一步证实,MLCPs的核心价值超越了数量扩张,而侧重于农田质量的实质性提升。与主要以扩大耕地面积为目标的传统土地整治不同,MLCPs致力于通过土壤修复、改善灌溉基础设施、增强气候韧性和重新连接先前分散的地块,将碎片化的小块土地转变为连片的优质农田。这种转变不仅提高了耕地的生产潜力,还为农业机械化和规模化种植创造了条件,从而支持农业生产力的持续提升。这些发现与以往研究一致,即土地整治促进了农业规模化和机械化发展。
为进一步评估MLCPs对中国三大主要粮食作物的影响,本研究分析了其对水稻、小麦和玉米产量的作用。结果显示,MLCPs显著提高了小麦和玉米的总产量(p<0.05;表4模型2-3),但对水稻总产量无统计显著影响(p>0.1;表4模型1);然而,回归结果表明,MLCPs显著提高了水稻的单位面积产量(p<0.01;表4模型4)。

这种差异主要源于作物种植的空间分布。小麦和玉米主要种植在东北平原和华北平原,分析显示,黑龙江、吉林、河南、陕西等项目区域的耕地面积在MLCPs实施后发生了显著变化(附录A图S1)。由于这些地区是小麦和玉米的主要产区,MLCPs对其总产量的提升做出了重要贡献。相反,水稻生产主要集中在中国南方,2010-2020年间南方水稻播种总面积有所下降。尽管部分北方地区扩大了水稻种植,但南方项目区的水稻播种面积并未显著增加,导致水稻总产量的整体增长有限。
水稻单位面积产量的显著提升主要归因于盐碱地修复和农田水利工程。水稻种植依赖酸性土壤和充足的水资源供应,因此在宁夏中北部和吉林省西部实施的MLCPs专门针对盐碱地治理和农业灌溉基础设施建设,这些干预措施显著提升了土壤质量和灌溉能力,进而提高了水稻单位面积产量。为验证这些发现,本研究利用遥感数据分析了特定作物的GPP动态:吉林省玉米GPP的空间分布(图5b)、宁夏水稻GPP的核密度曲线(图5c)以及河南省小麦GPP的空间分布(图5d)。

总体而言,中国的MLCPs为大规模主要粮食作物生产做出了重要贡献。类似地,自20世纪80年代以来,农田整理一直是美国大规模粮食生产的关键驱动力,尤其是在玉米带、大平原和密西西比三角洲等连片农业区,这些地区的土地整治速度更为显著。1982-2012年间,这些地区的耕地中位面积平均增加了123%,反映了主要作物产区农田整理的强劲动力和趋势。
2.2.生态保护实证分析
MLCPs产生了显著的生态效应。具体而言,MLCPs实施使NDVI增加1.6%(p<0.05;表5模型1-3),FCD提高0.45吨碳/公顷(p<0.01;表5模型4-6)。纳入时间和乡镇固定效应以及一系列控制变量后,这些发现依然稳健。

机制分析表明,MLCPs显著扩大了项目区内的植被覆盖面积(p<0.01;表6模型1-2),改善了植被覆盖状况和当地生态条件;此外,MLCPs显著提升了项目区内的SC(p<0.01;表6模型3-4),进而促进了森林质量的改善。

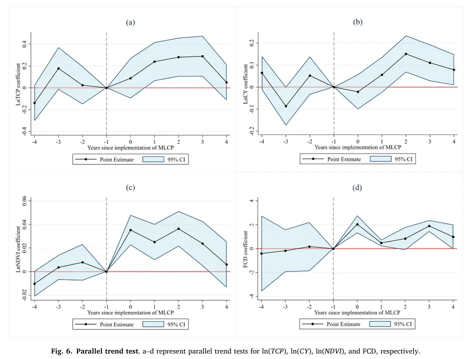
3.平行趋势检验
为评估DID模型潜在的平行趋势假设的有效性,本研究采用事件研究法,考察MLCPs处理组和对照组乡镇在粮食生产和生态指标方面的事前和事后趋势。结果显示,MLCPs实施前,处理组和对照组之间的趋势无显著差异(图6),证实平行趋势假设成立;MLCPs实施后,其对TCP、CY、NDVI和FCD的估计效应在统计上显著,且总体为正(p<0.05;图6)。

4.异质性分析
4.1.农业生产异质性分析
研究结果表明,MLCPs在地形起伏度较高的地区使TCP获得更大幅度的增长,而在平原地区CY的改善更为显著。具体而言,将DID变量与乡镇级地形起伏度的交互项纳入模型,结果证实存在异质性效应(p<0.01;表7模型1-2)。MLCPs通常采用科学修复技术,将生态脆弱的坡地荒地改造为高产农田,因此地形起伏度越大的地区,TCP增幅越显著;然而,这些复垦土地的CY仍低于平原农田。

4.2.生态环境异质性分析
为探究MLCPs效应的区域生态异质性,本研究基于样本乡镇的地理位置进行分组回归。研究结果表明,MLCPs显著改善了非南方地区的NDVI(p<0.01;表7模型3),但在南方地区未观察到统计显著效应(p>0.1;表7模型4)。北方地区普遍为干旱或半干旱气候,因此土地整治工作侧重于水土保持、荒漠化治理和土地改良,这些项目显著提升了北方地区的植被覆盖和生态韧性;相反,南方地区气候湿润、降水充沛、生态系统相对稳定,MLCPs对其NDVI无显著影响。
此外,MLCPs显著提高了南方地区的FCD(p<0.01;表7模型6),而在北方地区的相应效应不具有统计显著性(p>0.1;表7模型5)。这种差异可能源于南方项目侧重于河流和水域丰富的地区,强调水文修复和防洪减灾,因此南方地区的MLCPs往往整合农田灌溉、道路基础设施和生态保护,从而显著提升FCD。
与中国的做法类似,许多国家在土地整治实践中采用了NbS。在中国,盐碱地修复、农田灌溉基础设施建设等干预措施显著改善了土地质量和农业生产力;同样,欧洲国家的土地整治工作也日益融入生态保护目标。例如,荷兰和波兰将湿地修复、防洪项目和生态廊道建设纳入土地整治工作,这些整合措施不仅缓解了洪涝和干旱风险,还增强了景观多样性和生物栖息地质量。此外,在欧洲和美国,覆盖作物种植、保护性耕作和泥炭地再湿润等做法被广泛采用,以提升土壤健康和生态系统服务功能。研究表明,将10%的耕地转变为草地缓冲带,可大幅减少泥沙和养分流失,增强水资源调节能力,显著提高传粉昆虫数量和鸟类物种丰富度,且不会显著降低作物产量。总体而言,这些国际实践表明,将NbS纳入土地整治可同时促进农业生产力、生态修复和气候韧性,最终提升农业系统的可持续性。