葡萄是主要经济果树之一,营养价值丰富,含矿质元素、糖类和维生素等多种营养成分。具有结果早、经济价值高、适应性强等特点,是推动农村产业结构调整、助力乡村振兴的重要产业。据FAO统计,2022年中国葡萄栽培面积为70.51 hm2,占全世界的12.3%,是第一大鲜食葡萄生产国。植物生长调节剂在果树生产中应用广泛,利用赤霉素进行无核处理是生产优质、大粒、无核葡萄果实的重要途径。葡萄赤霉素处理常伴随穗轴硬化,容易引发成熟期落粒问题。因此,研究赤霉素对葡萄穗轴形态变化,明确影响硬化的关键基因,对实现葡萄优质生产具有重要意义。

该研究以‘蜜汁’葡萄为试材,于花期进行赤霉素处理,以清水处理为对照,采集处理后15 d的穗轴中段,进行形态观察和转录组学分析,筛选木质素合成相关差异表达基因(DEGs),并进行qRT-PCR表达验证,测定其对应的酶活性和木质素含量,将表型指标、关键差异基因、相关酶活性和木质素含量进行相关性分析,最终确定穗轴硬化的关键基因。


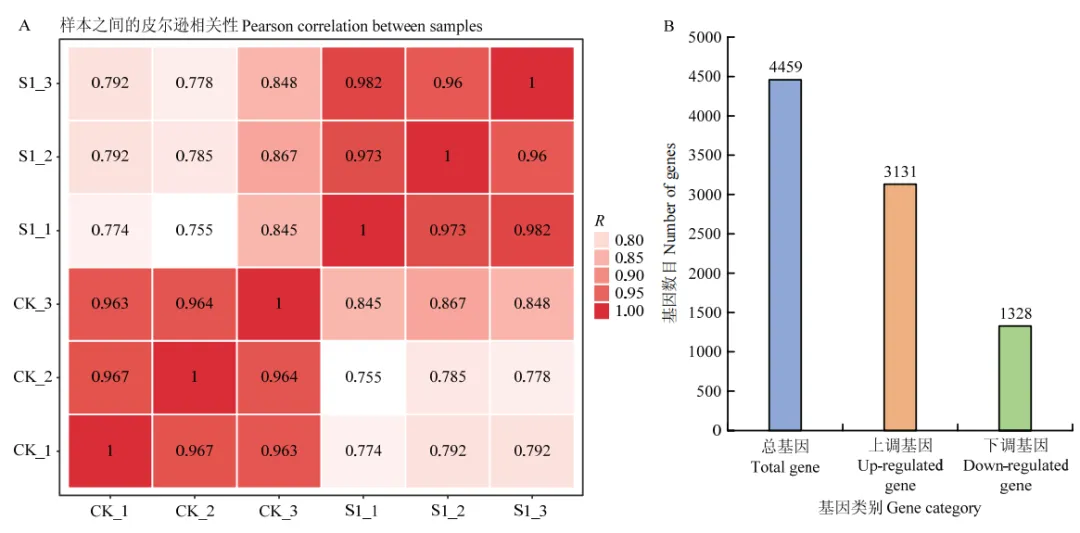
赤霉素处理后样本间基因表达水平相关系数热图和表达情况柱形图


吉林省农业科学院果树研究所温景辉研究员和申海林研究员为该文共同通讯作者,王思琪为第一作者。
该研究获得国家葡萄产业技术体系(cars29-8)、吉林省农业科技创新工程(CXGC2024RCY026)资助。
王思琪, 邹利人, 白瑞雯, 闫可, 王思洋, 齐晓光, 申海林, 温景辉. 赤霉素调控‘蜜汁’葡萄穗轴硬化关键基因的挖掘[J]. 中国农业科学, 2026, 59(1): 179-189.
WANG SiQi, ZOU LiRen, BAI RuiWen, YAN Ke, WANG SiYang, QI XiaoGuang, SHEN HaiLin, WEN JingHui. Screening of Key Genes Related to Gibberellic Acid Regulation of Rachis Hardening in Honey Grapes[J]. Scientia Agricultura Sinica, 2026, 59(1): 179-189.
↓长按扫码查看全文↓





欢迎投稿:http://www.chinaagrisci.com
欢迎订阅:
① 各地邮局订阅:邮发代号2-138;
② 编辑部期刊发行部:联系电话 010-82106247。


