当前位置:首页>林业>国家林业和草原科学数据中心发布:城乡梯度森林土壤分析数据集

国家林业和草原科学数据中心发布:城乡梯度森林土壤分析数据集

  • 2026-03-27 09:11:19
国家林业和草原科学数据中心发布:城乡梯度森林土壤分析数据集
 导 语 

林草行业正处在智能化转型的关键阶段,高质量数据集是人工智能的基石,是驱动AI for Science的核心能源,为了推动数据驱动的林草科学研究新范式,国家林业和草原科学数据中心陆续发布系列林草专题高质量科学数据集,该数据集聚焦林草资源监测、生物多样性保护、生态系统评估等多个核心领域,汇聚长期观测、调查和研究成果,通过标准化、科学化和标准化的数据加工处理和共享使用,以期为林草人工智能和行业大模型的发展提供核心基础支撑,实现林草科学数据从“数据收集”走向“智能发现”,使数据变为知识、让知识驱动创新,不断深化AI for Science-数据驱动的林草科学研究新范式,助力林草高质量发展。

摘要

土壤作为陆地生态系统的重要组成成分,是人类赖以生存的物质基础。城市化进程加剧导致土壤质量降低,与之相应的土壤环境要素、微生物群落及酶活性会发生显著改变。城乡梯度土壤的性质能敏感地反映城市化进程带来的环境影响,是监测和评估区域环境质量变化的理想指标。

本数据集以城区-近郊-乡村梯度下的马尾松林、针阔混交林和常绿阔叶林土壤作为研究对象,运用方差分析和回归分析等方法生成。数据内容涵盖土壤理化性质、酶活性、重金属含量及多指标的10年长期监测数据,数据记录数1496条。该数据集解析了影响土壤微生物生物量碳氮的驱动因子,揭示其对环境要素的响应规律,可以为南亚热带常绿阔叶林生态系统可持续管理提供理论参考。

关键词

城乡梯度;森林土壤;土壤理化性质;土壤生物量;土壤重金属;土壤酶活性

引言

土壤侵蚀一直是全球范围长期面临的主要生态系统问题,不仅导致了自然生态功能的退化,而且影响了社会经济的可持续发展。土壤保持措施可改善生态系统的结构和过程,进而减少由于降雨导致土壤侵蚀,是生态系统重要调节服务之一。对生态系统土壤保持能力进行评估,是明确土壤保持重要区域,实施土壤保持和其他相关生态保护措施的基础和前提。在以往相关研究中,研究者根据研究区域尺度及特点、数据来源和研究目的等因素选择的土壤保持能力评估指标不同,例如以植被生态功能指标为主的森林土壤保持能力评估体系、以土壤废弃及养分流失指标为主的农业土壤保持能力评估体系、以水文和植被指标为主的流域土壤保持能力评估体系、以及以通用或改进的土壤流失方程(USLE/RUSLE)为主的土壤保持能力评估体系等,因为USLE方程或RUSLE方程综合考虑了植被、气象、地形和土壤等因素的影响,在相关研究中应用最为广泛。

01
数据采集和处理方法

土壤温度和土壤含水量由样地100m处的地面自动气象站(美国,Campbell Scientific)连续观测获得,采集频率10min。

通过野外观测和室内分析,采用Excel2010和SPSS25.0进行数据录入、清洗与初步整理,方差分析中采用Duncan’s法进行多重比较。相关性分析采用Pearson相关系数法。基于标准化回归系数,应用R(4.0.1)进行多元线性回归,定量分析土壤含水量、土壤温度、土壤有机碳、全氮、可溶性碳、全磷和速效氮含量及PH值等在不同季节对微生物生物量碳氮影响的相对重要性。

土壤内稳态指数的计算(homeostasis index,H):

式中,为土壤养分含量或化学计量比(C、N或C:N));为微生物生物量碳和氮或化学计量比;为常数。当方程拟合不显著时认为是绝对稳态(P>0.05)。当方程拟合显著时,H可分为稳态(0<H<0.25)、弱稳态(0.25<H<0.5)、弱塑性(0.5<H<0.75)、塑性(0.75<H<1)和非稳态(H>1)。

微生物熵的计算公式:

式中,SMQ(Soil Microbial Quotient)为土壤微生物熵,MBC土壤微生碳生物量含量,SOC为有机碳含量。

02
数据样本描述

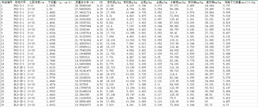
本数据集包括5个excel表格,内容涵盖城乡梯度土壤理化性质(如不同林分土壤PH、含水率、有机质等)、酶活性(如不同林分土壤过氧化氢酶、脲酶、酸性磷酸酶等)、重金属含量(如不同林分土壤铜、锌、铅、镉含量)及多指标的10年长期监测(如土壤微生物生物量碳和氮、土壤有机碳、总氮等)数据,时间跨度为2008-2017年,数据记录数为1496条。

表1 城乡梯度不同林分土壤理化性质表

表2 土壤微生物生物量碳和氮连续10年含量监测数据

图1 土壤微生物生物量碳和氮年际变化特征

表3 城乡梯度不同林分土壤酶活性

图2 城乡梯度不同林分类型土壤酶活性特征

03
数据质量控制

(1)数据采集阶段

为减少土壤空间差异带来的误差,土壤样品的采集,于每个土壤样品使用直径为8.5cm的不锈钢取样器,随机采集8个样品(0-20cm),充分混合后形成一个样品。然后将土样低温保存,4h内送至实验室,除去石块、碎屑、细根等杂质,用2mm的土壤筛过筛。然后分成三部分,第一部分风干,用于土壤化学性质分析;第二部分在4℃下保存,用于土壤生物特性分析;第三部分留为备用。每年分别于雨季8月份和旱季12月份进行土壤样品采集。

在数据采集阶段,选取混合样品,通过空间重复降低随机误差。取样器规格的标准化,确保不同样地间的样品体积/重量具有可比性。低温保存和4h送样,确保酶活性、微生物数据的时效性有保障。去除石块等杂质,直接排除非土壤基质的干扰,避免杂质影响有机质含量等指标的检测准确性。季节固定采样,消除“采样时间不统一”带来的季节干扰,为分析年际变化和季节效应提供稳定的时间基准。

(2)数据分析阶段

用电位计法(PHS-3C型)测定土壤pH,重复3次(依据《NY/T1377-2007》标准)。采用熏蒸法来测定土壤微生物碳氮含量。可溶性碳含量通过化学氧化法分析。

04
数据使用方法和建议

本数据集以表格形式存储,可以在Excel、SPSS、Power Query中调用和处理。通过以上工具的灵活搭配,可覆盖Excel土壤数据从“原始采集→清洗整理→分析建模→报告输出”的全流程需求,既提升效率,又保证数据处理的准确性和可重复性,尤其适合科研场景下的土壤数据分析工作。为土壤重金属污染评估、森林土壤碳汇功能评价、城乡梯度土地适宜性评价等提供数据支撑。

注:本数据集来源于中国林业科学研究院院基金项目中杨紫浓老师承担的“城乡梯度森林土壤重金属协同理化性质对酶活性的影响机制(CAFYBB2021SY004)”项目汇交数据。

05

数据获取与合作

🔗城乡梯度森林土壤分析数据集

序号
数据网站
1

城乡梯度不同林分土壤铜、锌、铅、镉含量数据集 

https://www.forestdata.cn/dataDetail.html?id=e18bb67e-d413-4371-aeec-190b9cf3710a

2

城乡梯度不同林分土壤过氧化氢酶、脲酶、酸性磷酸酶和脱氢酶活性数据集

https://www.forestdata.cn/dataDetail.html?id=bc3e39c8-0636-4966-ab4a-a6f777c9b86c

3

城乡梯度不同林分土壤PH、含水率、有机质、总氮、总磷、阳离子交换量、黏粒、粉粒和砂粒含量数据集

https://www.forestdata.cn/dataDetail.html?id=65c1d61f-0530-4dfd-9ff7-2f504dd40101

4

南亚热带常绿阔叶林土壤微生物生物量碳和氮连续10年含量监测数据集

https://www.forestdata.cn/dataDetail.html?id=ff21c085-e9ae-4d97-80f6-c922138267b7

5

南亚热带常绿阔叶林土壤有机碳、总氮、总磷、可溶性碳、速效氮、pH、土壤温度和土壤含水量连续10年含量监测数据集

https://www.forestdata.cn/dataDetail.html?id=1b4c6b72-b36f-4706-b064-5e1c78dcba1f

*转载请注明来源

关于我们

国家林业和草原科学数据中心(NFGSDC)是科技部、财政部批准的20家国家级科学数据中心之一,是国家财政支持的公益性科技机构。林业数据中心在科技部、财政部、国家林业和草原局领导下开展数据中心自身服务能力建设和科学数据开放共享的运行服务工作,为国家科技创新、经济社会发展和国家安全提供林业科学数据支撑和技术服务。

国家林业和草原科学数据中心整合共享的数据涵盖森林资源、草原资源、湿地资源、荒漠资源、自然保护地、生态环境、林草保护、森林培育、木材科学、林产化工、科技项目、行业发展、国外林业、遥感数据等14大类别,共计1940个数据库(组),数据总量近50TB。

联系我们

010-62888745

010-62871547

官方网站

https://www.forestdata.cn

原创投稿

houreix@ifrit.ac.cn

点击“阅读原文”,获取更多免费数据集

最新文章

随机文章

基本 文件 流程 错误 SQL 调试
  1. 请求信息 : 2026-03-28 13:18:49 HTTP/2.0 GET : https://h.mffb.com.cn/a/469948.html
  2. 运行时间 : 0.098480s [ 吞吐率:10.15req/s ] 内存消耗:4,504.57kb 文件加载:140
  3. 缓存信息 : 0 reads,0 writes
  4. 会话信息 : SESSION_ID=c4121de554a65ad5902c014e0a7bc44d
  1. /yingpanguazai/ssd/ssd1/www/h.mffb.com.cn/public/index.php ( 0.79 KB )
  2. /yingpanguazai/ssd/ssd1/www/h.mffb.com.cn/vendor/autoload.php ( 0.17 KB )
  3. /yingpanguazai/ssd/ssd1/www/h.mffb.com.cn/vendor/composer/autoload_real.php ( 2.49 KB )
  4. /yingpanguazai/ssd/ssd1/www/h.mffb.com.cn/vendor/composer/platform_check.php ( 0.90 KB )
  5. /yingpanguazai/ssd/ssd1/www/h.mffb.com.cn/vendor/composer/ClassLoader.php ( 14.03 KB )
  6. /yingpanguazai/ssd/ssd1/www/h.mffb.com.cn/vendor/composer/autoload_static.php ( 4.90 KB )
  7. /yingpanguazai/ssd/ssd1/www/h.mffb.com.cn/vendor/topthink/think-helper/src/helper.php ( 8.34 KB )
  8. /yingpanguazai/ssd/ssd1/www/h.mffb.com.cn/vendor/topthink/think-validate/src/helper.php ( 2.19 KB )
  9. /yingpanguazai/ssd/ssd1/www/h.mffb.com.cn/vendor/topthink/think-orm/src/helper.php ( 1.47 KB )
  10. /yingpanguazai/ssd/ssd1/www/h.mffb.com.cn/vendor/topthink/think-orm/stubs/load_stubs.php ( 0.16 KB )
  11. /yingpanguazai/ssd/ssd1/www/h.mffb.com.cn/vendor/topthink/framework/src/think/Exception.php ( 1.69 KB )
  12. /yingpanguazai/ssd/ssd1/www/h.mffb.com.cn/vendor/topthink/think-container/src/Facade.php ( 2.71 KB )
  13. /yingpanguazai/ssd/ssd1/www/h.mffb.com.cn/vendor/symfony/deprecation-contracts/function.php ( 0.99 KB )
  14. /yingpanguazai/ssd/ssd1/www/h.mffb.com.cn/vendor/symfony/polyfill-mbstring/bootstrap.php ( 8.26 KB )
  15. /yingpanguazai/ssd/ssd1/www/h.mffb.com.cn/vendor/symfony/polyfill-mbstring/bootstrap80.php ( 9.78 KB )
  16. /yingpanguazai/ssd/ssd1/www/h.mffb.com.cn/vendor/symfony/var-dumper/Resources/functions/dump.php ( 1.49 KB )
  17. /yingpanguazai/ssd/ssd1/www/h.mffb.com.cn/vendor/topthink/think-dumper/src/helper.php ( 0.18 KB )
  18. /yingpanguazai/ssd/ssd1/www/h.mffb.com.cn/vendor/symfony/var-dumper/VarDumper.php ( 4.30 KB )
  19. /yingpanguazai/ssd/ssd1/www/h.mffb.com.cn/vendor/topthink/framework/src/think/App.php ( 15.30 KB )
  20. /yingpanguazai/ssd/ssd1/www/h.mffb.com.cn/vendor/topthink/think-container/src/Container.php ( 15.76 KB )
  21. /yingpanguazai/ssd/ssd1/www/h.mffb.com.cn/vendor/psr/container/src/ContainerInterface.php ( 1.02 KB )
  22. /yingpanguazai/ssd/ssd1/www/h.mffb.com.cn/app/provider.php ( 0.19 KB )
  23. /yingpanguazai/ssd/ssd1/www/h.mffb.com.cn/vendor/topthink/framework/src/think/Http.php ( 6.04 KB )
  24. /yingpanguazai/ssd/ssd1/www/h.mffb.com.cn/vendor/topthink/think-helper/src/helper/Str.php ( 7.29 KB )
  25. /yingpanguazai/ssd/ssd1/www/h.mffb.com.cn/vendor/topthink/framework/src/think/Env.php ( 4.68 KB )
  26. /yingpanguazai/ssd/ssd1/www/h.mffb.com.cn/app/common.php ( 0.03 KB )
  27. /yingpanguazai/ssd/ssd1/www/h.mffb.com.cn/vendor/topthink/framework/src/helper.php ( 18.78 KB )
  28. /yingpanguazai/ssd/ssd1/www/h.mffb.com.cn/vendor/topthink/framework/src/think/Config.php ( 5.54 KB )
  29. /yingpanguazai/ssd/ssd1/www/h.mffb.com.cn/config/app.php ( 0.95 KB )
  30. /yingpanguazai/ssd/ssd1/www/h.mffb.com.cn/config/cache.php ( 0.78 KB )
  31. /yingpanguazai/ssd/ssd1/www/h.mffb.com.cn/config/console.php ( 0.23 KB )
  32. /yingpanguazai/ssd/ssd1/www/h.mffb.com.cn/config/cookie.php ( 0.56 KB )
  33. /yingpanguazai/ssd/ssd1/www/h.mffb.com.cn/config/database.php ( 2.48 KB )
  34. /yingpanguazai/ssd/ssd1/www/h.mffb.com.cn/vendor/topthink/framework/src/think/facade/Env.php ( 1.67 KB )
  35. /yingpanguazai/ssd/ssd1/www/h.mffb.com.cn/config/filesystem.php ( 0.61 KB )
  36. /yingpanguazai/ssd/ssd1/www/h.mffb.com.cn/config/lang.php ( 0.91 KB )
  37. /yingpanguazai/ssd/ssd1/www/h.mffb.com.cn/config/log.php ( 1.35 KB )
  38. /yingpanguazai/ssd/ssd1/www/h.mffb.com.cn/config/middleware.php ( 0.19 KB )
  39. /yingpanguazai/ssd/ssd1/www/h.mffb.com.cn/config/route.php ( 1.89 KB )
  40. /yingpanguazai/ssd/ssd1/www/h.mffb.com.cn/config/session.php ( 0.57 KB )
  41. /yingpanguazai/ssd/ssd1/www/h.mffb.com.cn/config/trace.php ( 0.34 KB )
  42. /yingpanguazai/ssd/ssd1/www/h.mffb.com.cn/config/view.php ( 0.82 KB )
  43. /yingpanguazai/ssd/ssd1/www/h.mffb.com.cn/app/event.php ( 0.25 KB )
  44. /yingpanguazai/ssd/ssd1/www/h.mffb.com.cn/vendor/topthink/framework/src/think/Event.php ( 7.67 KB )
  45. /yingpanguazai/ssd/ssd1/www/h.mffb.com.cn/app/service.php ( 0.13 KB )
  46. /yingpanguazai/ssd/ssd1/www/h.mffb.com.cn/app/AppService.php ( 0.26 KB )
  47. /yingpanguazai/ssd/ssd1/www/h.mffb.com.cn/vendor/topthink/framework/src/think/Service.php ( 1.64 KB )
  48. /yingpanguazai/ssd/ssd1/www/h.mffb.com.cn/vendor/topthink/framework/src/think/Lang.php ( 7.35 KB )
  49. /yingpanguazai/ssd/ssd1/www/h.mffb.com.cn/vendor/topthink/framework/src/lang/zh-cn.php ( 13.70 KB )
  50. /yingpanguazai/ssd/ssd1/www/h.mffb.com.cn/vendor/topthink/framework/src/think/initializer/Error.php ( 3.31 KB )
  51. /yingpanguazai/ssd/ssd1/www/h.mffb.com.cn/vendor/topthink/framework/src/think/initializer/RegisterService.php ( 1.33 KB )
  52. /yingpanguazai/ssd/ssd1/www/h.mffb.com.cn/vendor/services.php ( 0.14 KB )
  53. /yingpanguazai/ssd/ssd1/www/h.mffb.com.cn/vendor/topthink/framework/src/think/service/PaginatorService.php ( 1.52 KB )
  54. /yingpanguazai/ssd/ssd1/www/h.mffb.com.cn/vendor/topthink/framework/src/think/service/ValidateService.php ( 0.99 KB )
  55. /yingpanguazai/ssd/ssd1/www/h.mffb.com.cn/vendor/topthink/framework/src/think/service/ModelService.php ( 2.04 KB )
  56. /yingpanguazai/ssd/ssd1/www/h.mffb.com.cn/vendor/topthink/think-trace/src/Service.php ( 0.77 KB )
  57. /yingpanguazai/ssd/ssd1/www/h.mffb.com.cn/vendor/topthink/framework/src/think/Middleware.php ( 6.72 KB )
  58. /yingpanguazai/ssd/ssd1/www/h.mffb.com.cn/vendor/topthink/framework/src/think/initializer/BootService.php ( 0.77 KB )
  59. /yingpanguazai/ssd/ssd1/www/h.mffb.com.cn/vendor/topthink/think-orm/src/Paginator.php ( 11.86 KB )
  60. /yingpanguazai/ssd/ssd1/www/h.mffb.com.cn/vendor/topthink/think-validate/src/Validate.php ( 63.20 KB )
  61. /yingpanguazai/ssd/ssd1/www/h.mffb.com.cn/vendor/topthink/think-orm/src/Model.php ( 23.55 KB )
  62. /yingpanguazai/ssd/ssd1/www/h.mffb.com.cn/vendor/topthink/think-orm/src/model/concern/Attribute.php ( 21.05 KB )
  63. /yingpanguazai/ssd/ssd1/www/h.mffb.com.cn/vendor/topthink/think-orm/src/model/concern/AutoWriteData.php ( 4.21 KB )
  64. /yingpanguazai/ssd/ssd1/www/h.mffb.com.cn/vendor/topthink/think-orm/src/model/concern/Conversion.php ( 6.44 KB )
  65. /yingpanguazai/ssd/ssd1/www/h.mffb.com.cn/vendor/topthink/think-orm/src/model/concern/DbConnect.php ( 5.16 KB )
  66. /yingpanguazai/ssd/ssd1/www/h.mffb.com.cn/vendor/topthink/think-orm/src/model/concern/ModelEvent.php ( 2.33 KB )
  67. /yingpanguazai/ssd/ssd1/www/h.mffb.com.cn/vendor/topthink/think-orm/src/model/concern/RelationShip.php ( 28.29 KB )
  68. /yingpanguazai/ssd/ssd1/www/h.mffb.com.cn/vendor/topthink/think-helper/src/contract/Arrayable.php ( 0.09 KB )
  69. /yingpanguazai/ssd/ssd1/www/h.mffb.com.cn/vendor/topthink/think-helper/src/contract/Jsonable.php ( 0.13 KB )
  70. /yingpanguazai/ssd/ssd1/www/h.mffb.com.cn/vendor/topthink/think-orm/src/model/contract/Modelable.php ( 0.09 KB )
  71. /yingpanguazai/ssd/ssd1/www/h.mffb.com.cn/vendor/topthink/framework/src/think/Db.php ( 2.88 KB )
  72. /yingpanguazai/ssd/ssd1/www/h.mffb.com.cn/vendor/topthink/think-orm/src/DbManager.php ( 8.52 KB )
  73. /yingpanguazai/ssd/ssd1/www/h.mffb.com.cn/vendor/topthink/framework/src/think/Log.php ( 6.28 KB )
  74. /yingpanguazai/ssd/ssd1/www/h.mffb.com.cn/vendor/topthink/framework/src/think/Manager.php ( 3.92 KB )
  75. /yingpanguazai/ssd/ssd1/www/h.mffb.com.cn/vendor/psr/log/src/LoggerTrait.php ( 2.69 KB )
  76. /yingpanguazai/ssd/ssd1/www/h.mffb.com.cn/vendor/psr/log/src/LoggerInterface.php ( 2.71 KB )
  77. /yingpanguazai/ssd/ssd1/www/h.mffb.com.cn/vendor/topthink/framework/src/think/Cache.php ( 4.92 KB )
  78. /yingpanguazai/ssd/ssd1/www/h.mffb.com.cn/vendor/psr/simple-cache/src/CacheInterface.php ( 4.71 KB )
  79. /yingpanguazai/ssd/ssd1/www/h.mffb.com.cn/vendor/topthink/think-helper/src/helper/Arr.php ( 16.63 KB )
  80. /yingpanguazai/ssd/ssd1/www/h.mffb.com.cn/vendor/topthink/framework/src/think/cache/driver/File.php ( 7.84 KB )
  81. /yingpanguazai/ssd/ssd1/www/h.mffb.com.cn/vendor/topthink/framework/src/think/cache/Driver.php ( 9.03 KB )
  82. /yingpanguazai/ssd/ssd1/www/h.mffb.com.cn/vendor/topthink/framework/src/think/contract/CacheHandlerInterface.php ( 1.99 KB )
  83. /yingpanguazai/ssd/ssd1/www/h.mffb.com.cn/app/Request.php ( 0.09 KB )
  84. /yingpanguazai/ssd/ssd1/www/h.mffb.com.cn/vendor/topthink/framework/src/think/Request.php ( 55.78 KB )
  85. /yingpanguazai/ssd/ssd1/www/h.mffb.com.cn/app/middleware.php ( 0.25 KB )
  86. /yingpanguazai/ssd/ssd1/www/h.mffb.com.cn/vendor/topthink/framework/src/think/Pipeline.php ( 2.61 KB )
  87. /yingpanguazai/ssd/ssd1/www/h.mffb.com.cn/vendor/topthink/think-trace/src/TraceDebug.php ( 3.40 KB )
  88. /yingpanguazai/ssd/ssd1/www/h.mffb.com.cn/vendor/topthink/framework/src/think/middleware/SessionInit.php ( 1.94 KB )
  89. /yingpanguazai/ssd/ssd1/www/h.mffb.com.cn/vendor/topthink/framework/src/think/Session.php ( 1.80 KB )
  90. /yingpanguazai/ssd/ssd1/www/h.mffb.com.cn/vendor/topthink/framework/src/think/session/driver/File.php ( 6.27 KB )
  91. /yingpanguazai/ssd/ssd1/www/h.mffb.com.cn/vendor/topthink/framework/src/think/contract/SessionHandlerInterface.php ( 0.87 KB )
  92. /yingpanguazai/ssd/ssd1/www/h.mffb.com.cn/vendor/topthink/framework/src/think/session/Store.php ( 7.12 KB )
  93. /yingpanguazai/ssd/ssd1/www/h.mffb.com.cn/vendor/topthink/framework/src/think/Route.php ( 23.73 KB )
  94. /yingpanguazai/ssd/ssd1/www/h.mffb.com.cn/vendor/topthink/framework/src/think/route/RuleName.php ( 5.75 KB )
  95. /yingpanguazai/ssd/ssd1/www/h.mffb.com.cn/vendor/topthink/framework/src/think/route/Domain.php ( 2.53 KB )
  96. /yingpanguazai/ssd/ssd1/www/h.mffb.com.cn/vendor/topthink/framework/src/think/route/RuleGroup.php ( 22.43 KB )
  97. /yingpanguazai/ssd/ssd1/www/h.mffb.com.cn/vendor/topthink/framework/src/think/route/Rule.php ( 26.95 KB )
  98. /yingpanguazai/ssd/ssd1/www/h.mffb.com.cn/vendor/topthink/framework/src/think/route/RuleItem.php ( 9.78 KB )
  99. /yingpanguazai/ssd/ssd1/www/h.mffb.com.cn/route/app.php ( 1.72 KB )
  100. /yingpanguazai/ssd/ssd1/www/h.mffb.com.cn/vendor/topthink/framework/src/think/facade/Route.php ( 4.70 KB )
  101. /yingpanguazai/ssd/ssd1/www/h.mffb.com.cn/vendor/topthink/framework/src/think/route/dispatch/Controller.php ( 4.74 KB )
  102. /yingpanguazai/ssd/ssd1/www/h.mffb.com.cn/vendor/topthink/framework/src/think/route/Dispatch.php ( 10.44 KB )
  103. /yingpanguazai/ssd/ssd1/www/h.mffb.com.cn/app/controller/Index.php ( 4.81 KB )
  104. /yingpanguazai/ssd/ssd1/www/h.mffb.com.cn/app/BaseController.php ( 2.05 KB )
  105. /yingpanguazai/ssd/ssd1/www/h.mffb.com.cn/vendor/topthink/think-orm/src/facade/Db.php ( 0.93 KB )
  106. /yingpanguazai/ssd/ssd1/www/h.mffb.com.cn/vendor/topthink/think-orm/src/db/connector/Mysql.php ( 5.44 KB )
  107. /yingpanguazai/ssd/ssd1/www/h.mffb.com.cn/vendor/topthink/think-orm/src/db/PDOConnection.php ( 52.47 KB )
  108. /yingpanguazai/ssd/ssd1/www/h.mffb.com.cn/vendor/topthink/think-orm/src/db/Connection.php ( 8.39 KB )
  109. /yingpanguazai/ssd/ssd1/www/h.mffb.com.cn/vendor/topthink/think-orm/src/db/ConnectionInterface.php ( 4.57 KB )
  110. /yingpanguazai/ssd/ssd1/www/h.mffb.com.cn/vendor/topthink/think-orm/src/db/builder/Mysql.php ( 16.58 KB )
  111. /yingpanguazai/ssd/ssd1/www/h.mffb.com.cn/vendor/topthink/think-orm/src/db/Builder.php ( 24.06 KB )
  112. /yingpanguazai/ssd/ssd1/www/h.mffb.com.cn/vendor/topthink/think-orm/src/db/BaseBuilder.php ( 27.50 KB )
  113. /yingpanguazai/ssd/ssd1/www/h.mffb.com.cn/vendor/topthink/think-orm/src/db/Query.php ( 15.71 KB )
  114. /yingpanguazai/ssd/ssd1/www/h.mffb.com.cn/vendor/topthink/think-orm/src/db/BaseQuery.php ( 45.13 KB )
  115. /yingpanguazai/ssd/ssd1/www/h.mffb.com.cn/vendor/topthink/think-orm/src/db/concern/TimeFieldQuery.php ( 7.43 KB )
  116. /yingpanguazai/ssd/ssd1/www/h.mffb.com.cn/vendor/topthink/think-orm/src/db/concern/AggregateQuery.php ( 3.26 KB )
  117. /yingpanguazai/ssd/ssd1/www/h.mffb.com.cn/vendor/topthink/think-orm/src/db/concern/ModelRelationQuery.php ( 20.07 KB )
  118. /yingpanguazai/ssd/ssd1/www/h.mffb.com.cn/vendor/topthink/think-orm/src/db/concern/ParamsBind.php ( 3.66 KB )
  119. /yingpanguazai/ssd/ssd1/www/h.mffb.com.cn/vendor/topthink/think-orm/src/db/concern/ResultOperation.php ( 7.01 KB )
  120. /yingpanguazai/ssd/ssd1/www/h.mffb.com.cn/vendor/topthink/think-orm/src/db/concern/WhereQuery.php ( 19.37 KB )
  121. /yingpanguazai/ssd/ssd1/www/h.mffb.com.cn/vendor/topthink/think-orm/src/db/concern/JoinAndViewQuery.php ( 7.11 KB )
  122. /yingpanguazai/ssd/ssd1/www/h.mffb.com.cn/vendor/topthink/think-orm/src/db/concern/TableFieldInfo.php ( 2.63 KB )
  123. /yingpanguazai/ssd/ssd1/www/h.mffb.com.cn/vendor/topthink/think-orm/src/db/concern/Transaction.php ( 2.77 KB )
  124. /yingpanguazai/ssd/ssd1/www/h.mffb.com.cn/vendor/topthink/framework/src/think/log/driver/File.php ( 5.96 KB )
  125. /yingpanguazai/ssd/ssd1/www/h.mffb.com.cn/vendor/topthink/framework/src/think/contract/LogHandlerInterface.php ( 0.86 KB )
  126. /yingpanguazai/ssd/ssd1/www/h.mffb.com.cn/vendor/topthink/framework/src/think/log/Channel.php ( 3.89 KB )
  127. /yingpanguazai/ssd/ssd1/www/h.mffb.com.cn/vendor/topthink/framework/src/think/event/LogRecord.php ( 1.02 KB )
  128. /yingpanguazai/ssd/ssd1/www/h.mffb.com.cn/vendor/topthink/think-helper/src/Collection.php ( 16.47 KB )
  129. /yingpanguazai/ssd/ssd1/www/h.mffb.com.cn/vendor/topthink/framework/src/think/facade/View.php ( 1.70 KB )
  130. /yingpanguazai/ssd/ssd1/www/h.mffb.com.cn/vendor/topthink/framework/src/think/View.php ( 4.39 KB )
  131. /yingpanguazai/ssd/ssd1/www/h.mffb.com.cn/vendor/topthink/framework/src/think/Response.php ( 8.81 KB )
  132. /yingpanguazai/ssd/ssd1/www/h.mffb.com.cn/vendor/topthink/framework/src/think/response/View.php ( 3.29 KB )
  133. /yingpanguazai/ssd/ssd1/www/h.mffb.com.cn/vendor/topthink/framework/src/think/Cookie.php ( 6.06 KB )
  134. /yingpanguazai/ssd/ssd1/www/h.mffb.com.cn/vendor/topthink/think-view/src/Think.php ( 8.38 KB )
  135. /yingpanguazai/ssd/ssd1/www/h.mffb.com.cn/vendor/topthink/framework/src/think/contract/TemplateHandlerInterface.php ( 1.60 KB )
  136. /yingpanguazai/ssd/ssd1/www/h.mffb.com.cn/vendor/topthink/think-template/src/Template.php ( 46.61 KB )
  137. /yingpanguazai/ssd/ssd1/www/h.mffb.com.cn/vendor/topthink/think-template/src/template/driver/File.php ( 2.41 KB )
  138. /yingpanguazai/ssd/ssd1/www/h.mffb.com.cn/vendor/topthink/think-template/src/template/contract/DriverInterface.php ( 0.86 KB )
  139. /yingpanguazai/ssd/ssd1/www/h.mffb.com.cn/runtime/temp/32b793ebdcbdb96aeb8bb24c123b0bef.php ( 11.98 KB )
  140. /yingpanguazai/ssd/ssd1/www/h.mffb.com.cn/vendor/topthink/think-trace/src/Html.php ( 4.42 KB )
  1. CONNECT:[ UseTime:0.000562s ] mysql:host=127.0.0.1;port=3306;dbname=h_mffb;charset=utf8mb4
  2. SHOW FULL COLUMNS FROM `fenlei` [ RunTime:0.000801s ]
  3. SELECT * FROM `fenlei` WHERE `fid` = 0 [ RunTime:0.000323s ]
  4. SELECT * FROM `fenlei` WHERE `fid` = 63 [ RunTime:0.000312s ]
  5. SHOW FULL COLUMNS FROM `set` [ RunTime:0.000487s ]
  6. SELECT * FROM `set` [ RunTime:0.000188s ]
  7. SHOW FULL COLUMNS FROM `article` [ RunTime:0.000635s ]
  8. SELECT * FROM `article` WHERE `id` = 469948 LIMIT 1 [ RunTime:0.000414s ]
  9. UPDATE `article` SET `lasttime` = 1774675129 WHERE `id` = 469948 [ RunTime:0.004642s ]
  10. SELECT * FROM `fenlei` WHERE `id` = 66 LIMIT 1 [ RunTime:0.000227s ]
  11. SELECT * FROM `article` WHERE `id` < 469948 ORDER BY `id` DESC LIMIT 1 [ RunTime:0.000447s ]
  12. SELECT * FROM `article` WHERE `id` > 469948 ORDER BY `id` ASC LIMIT 1 [ RunTime:0.000390s ]
  13. SELECT * FROM `article` WHERE `id` < 469948 ORDER BY `id` DESC LIMIT 10 [ RunTime:0.001710s ]
  14. SELECT * FROM `article` WHERE `id` < 469948 ORDER BY `id` DESC LIMIT 10,10 [ RunTime:0.015113s ]
  15. SELECT * FROM `article` WHERE `id` < 469948 ORDER BY `id` DESC LIMIT 20,10 [ RunTime:0.005978s ]
0.100071s