胡麻是中国西北和华北地区重要的油料经济作物,然而,高种植密度、风暴等极端天气导致的频繁倒伏,严重限制其籽粒产量并阻碍机械化收割,是制约中国北方胡麻增产增效的重要因素之一。作物倒伏与否和茎秆中木质素含量密切相关,然而,如何准确评估胡麻氮钾素供应特性以提高胡麻生育后期抗倒伏特性,仍是当前研究的难点。前人研究多集中在禾本科作物上,而关于氮、钾肥如何交互作用以调控胡麻茎秆木质素代谢,从而影响抗倒伏性的分子生理机制尚不清楚,亟需建立一种基于胡麻生理需求的氮钾精准配施与动态调控体系。

氮钾肥互作对胡麻茎秆木质素生物合成、抗倒伏性及籽粒产量具有显著的协同调控效应。本研究从“养分管理-分子生理-结构力学-最终产量”角度,强调了在胡麻抗倒伏管理中实现氮钾协同调控的关键作用,尤其指出在低/中氮肥配施中钾肥处理显著促进了木质素合成积累,提高了陇中旱作农业区胡麻的抗倒伏能力和籽粒产量,为旱作区胡麻抗逆高产高效栽培提供了理论依据与技术支撑。

图1不同氮/钾肥互作处理对胡麻茎秆木质素生物合成相关基因表达量的影响

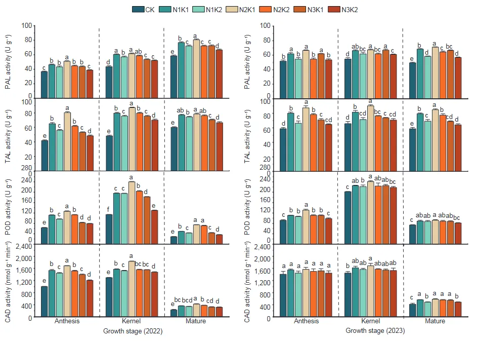
图2 不同氮/钾肥互作处理对胡麻茎秆木质素生物合成相关酶活性的影响

图3 不同氮/钾肥互作处理对胡麻茎秆抗折力和抗倒伏指数的影响
甘肃农业大学吴兵教授为该文章通讯作者,已毕业硕士研究生李喜强为该文章第一作者。
该研究得到了国家自然科学基金(31760363)、农业农村部现代农业产业技术体系专项(CARS-14-1-16)、甘肃省教育科技创新产业支持计划(2021CYZC-38)、甘肃省干旱生境作物学重点实验室; 甘肃农业大学(GSCS-2020-Z6)。
点击链接查看全文:
Cite the article:
Teng Li, Shumei Wang, Qing Liu, Xuepeng Zhang, Lin Chen, Yuanquan Chen, Wangsheng Gao, Peng Sui. 2026. Effects of changing assimilate supply on starch synthesis in maize kernels under high temperature stress. Journal of Integrative Agriculture, 25(2): 639-647.

高玉红教授(第2排左5);吴兵教授(第2排左4)
| 图文由作者团队提供




Journal of Integrative Agriculture(《农业科学学报(英文)》, JIA)由中华人民共和国农业农村部主管,中国农业科学院与中国农学会主办,中国农业科学院农业信息研究所承办。综合性英文学术期刊,月刊。创刊于2002年,现任主编为中国科学院院士陈化兰。JIA主要栏目有作物科学、园艺、植物保护、动物科学、动物医学、农业生态环境、食品科学、农业经济与管理等。刊稿类型有综述、研究论文、简报以及评述等。全部论文在Elsevier-ScienceDirect (SD) 平台OA出版。最新SCI影响因子4.4,位于SCI-JCR农业综合学科Q1区。中科院分区农林科学1区。2016年以来先后获得中国科协等部委 “提升计划”“登峰计划”“卓越计划”项目支持。
欢迎加入JIA交流群


星标我们🌟,求分享、点赞+在看