(一)阿维菌素对 F0 代生殖及激素水平的抑制
研究首先测定了阿维菌素对桃蛀螟新羽化成虫的毒力,确定了 LC1、LC10 和 LC30 的亚致死浓度。处理结果显示,阿维菌素显著降低了亲代雌虫的产卵量和交配率,且呈现剂量依赖效应。解剖发现,处理组雌虫的卵巢发育受到显著抑制,卵巢管长度变短,管内卵粒数减少。
机制研究表明,阿维菌素处理导致20-羟基蜕皮酮(20E)和保幼激素(JH)的滴度显著下降。受此影响,卵黄原蛋白(Vg)及其受体(VgR)的含量及基因表达量也随之显著下调,直接阻碍了卵母细胞的成熟与发育。
图1. 不同浓度阿维菌素对桃蛀螟亲代(F0)生殖的影响。(A) 阿维菌素对产卵量的影响。(B) 阿维菌素对交配率的影响。(C) 处理后卵巢的解剖照片。(D, E) 阿维菌素对卵巢内卵粒数和卵巢管长度的影响。误差棒表示独立生物学实验的平均值 ± 标准误(SEM)。不同字母表示在 P < 0.05 水平上存在显著差异。
图 2. 不同浓度阿维菌素(LC1、LC10、LC30)对桃蛀螟亲代(F0)激素滴度以及卵黄原蛋白(Vg)和其受体(VgR)含量的影响。(A, B) 阿维菌素处理后的 20-羟基蜕皮酮(20E)和保幼激素(JH)滴度。(C, D) 阿维菌素处理后的 Vg 和 VgR 含量。误差棒表示独立生物学实验的平均值 ± 标准误(SEM)。不同字母表示经 SPSS 26.0 软件进行 ANOVA 分析及 Tukey 多重比较后,在 P < 0.05 水平上存在显著差异。
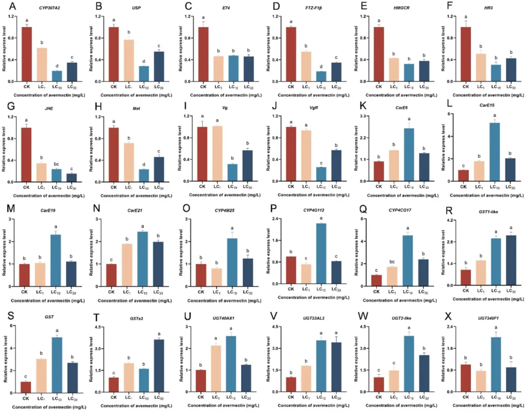
(二)解毒酶活性与转录组响应
为了应对阿维菌素的胁迫,桃蛀螟体内的解毒代谢系统被激活。生化检测显示,CarE、P450、GST 和 UGT 四大解毒酶系的活性在处理后不同时间点均有显著升高 。转录组测序进一步验证了这一结果:
激素合成通路:20E合成基因(如 CYP307A2, CYP18A1)和JH合成通路基因(如 HMGCR, JHE)在处理组中显著下调 。
解毒代谢基因:多个解毒酶家族基因(如 CarE15, CYP4M25, GSTs3, UGT40AX1 等)表现出显著上调,表明昆虫在分配更多能量用于解毒代谢,从而可能导致生殖投入减少。
图 3. 不同浓度阿维菌素(LC1、LC10、LC30)对桃蛀螟亲代(F0)解毒酶活性的影响。(A) 羧酸酯酶活性水平;(B) 细胞色素 P450 酶活性水平;(C) 谷胱甘肽 S-转移酶活性水平;(D) UDP-糖基转移酶活性水平。误差棒表示独立生物学实验的平均值 ± 标准误(SEM)。不同字母表示经 SPSS 26.0 软件进行 ANOVA 分析及 Tukey 多重比较后,在 P < 0.05 水平上存在显著差异。
图 4. 亲代(F0)RNA-seq 通路分析。(A) 20E 信号通路;(B) JH 信号通路;(C) CarE 家族;(D) P450 家族;(E) GST 家族;(F) UGT 家族。(G) 转录组测序与 qRT-PCR 结果之间基因表达水平的比较(X 轴代表基因名称,Y 轴代表 LC30 处理组与对照组之间的 Log2(FC) 比值。黑色柱表示 qRT-PCR 结果,红色柱表示 RNA-seq 结果)。
图 5. 亚致死浓度阿维菌素处理后桃蛀螟亲代($F_{0}$)24 个基因的 qRT-PCR 表达水平检测。(A–D) 20E 信号通路相关基因;(E–H) JH 信号通路相关基因;(I, J) 编码 Vg 和 VgR 的基因;(K–N) CarE 家族基因;(O–Q) P450 家族基因;(R–T) GST 家族基因;(U–X) UGT 家族基因。误差棒表示独立生物学实验的平均值 ± 标准误(SEM)。不同字母表示经 SPSS 26.0 软件进行 ANOVA 分析及 Tukey 多重比较后,在 P < 0.05 水平上存在显著差异。
(三)显著的跨代效应
亲代暴露于亚致死浓度的阿维菌素后,对子代 F1 产生了明显的负面影响:
1. F1 代卵的孵化率显著降低
2. 卵期和幼虫期的发育历期显著延长,而成虫寿命缩短
3. F1代蛹重减轻,单雌产卵量显著下降
4. 子代雌虫同样表现出卵巢发育受阻、激素(20E)水平下降以及 Vg/VgR 表达受抑的现象
图 6. 不同浓度阿维菌素(LC1、LC10、LC30)对桃蛀螟子代(F1)的影响。(A) 孵化率;(B) 化蛹率;(C) 羽化率;(D) 雌雄性比;(E, F, G) 卵、幼虫和蛹的发育历期;(H) 成虫寿命;(I) F1 代繁殖力;(J) 蛹重;(K) F1 代蛹(形态图)。误差棒表示独立生物学实验的平均值 ± 标准误(SEM)。不同字母表示在 P < 0.05 水平上存在显著差异。
图 7. 阿维菌素对桃蛀螟子代(F1)卵巢发育及 JH、20E、Vg 和 VgR 水平的影响。(A, B) 卵巢内卵粒数和卵巢管长度。(C, D) 20E 和 JH 滴度。(E, F) Vg 和 VgR 含量。(G, H) Vg 和 VgR 的相对表达水平。误差棒表示独立生物学实验的平均值 ± 标准误(SEM)。不同字母表示在 P < 0.05 水平上存在显著差异。
(四)种群参数的改变
基于年龄-阶段两性生命表的分析揭示了阿维菌素对桃蛀螟种群增长的长期抑制作用。在 LC10 和 LC30处理组中,内禀增长率(r)、净增殖率(R0)和周限增长率(λ)均显著低于对照组,而总产卵前期(TPOP)和平均世代周期(T)显著延长。这意味着亚致死浓度的阿维菌素能够有效延缓桃蛀螟种群的扩增速度。
表2. 阿维菌素 LC1、LC10、LC30 对桃蛀螟子代(F1)内禀增长率 (r)、周限增长率 (λ)、净增殖率 (R0)、繁殖力 (F)、总产卵前期 (TPOP) 和平均世代周期 (T) 的影响 。

图 8. 阿维菌素 LC1、LC10、LC30 处理对桃蛀螟子代(F1)年龄-阶段特异性存活率 (sxj) 的影响。(A) 对照 (CK);(B) LC1 处理;(C) LC10 处理;(D) LC30 处理。
图 9. 阿维菌素 LC1、LC10、LC30 处理对桃蛀螟子代(F1)特定年龄存活率 (lx)、雌虫特定年龄繁殖力 (fx)、种群特定年龄繁殖力 (mx) 和特定年龄产雌率 (lxmx) 的影响。(A) 对照 (CK);(B) LC1 处理;(C) LC10 处理;(D) LC30 处理。
图 10. 阿维菌素 LC1、LC10、LC30 处理对桃蛀螟子代(F1)年龄-阶段特异性期望寿命 (exj) 的影响。(A) 对照 (CK);(B) LC1 处理;(C) LC10 处理;(D) LC30 处理。
图 11. 阿维菌素LC1、LC10、LC30处理对桃蛀螟子代(F1)年龄-阶段特异性生殖值 (vxj) 的影响。(A) 对照 (CK);(B) LC1 处理;(C) LC10 处理;(D) LC30 处理。