倒伏是制约密植玉米高效生产的重要问题,随着种植密度的增加,植株对空间和营养的竞争加剧,容易导致根系发育不良,增加倒伏的风险。如何提高密植群体玉米抗倒伏能力,仍是研究热点。乙烯利(ETH)被广泛应用于株型塑造从而增强植株抗倒伏能力,但目前关于乙烯利如何调控根系构型从而提高根系固着强度和植株抗倒伏性的研究不足。
近期,中国农业大学农学院作物化控中心李召虎教授团队完成的题为“Classification of fruit shape based on decision tree model and identification of QTLs and genes controlling fruit shape in eggplant”的研究在Journal of Integrative Agriculture(《农业科学学报(英文)》,JIA)优先在线发表。

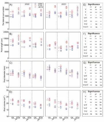
该研究于2022和2023年开展了两年的夏玉米田间试验,以先玉335、郑单958和京农科728为试验材料,在7展叶期叶面喷施乙烯利,通过测定节根发育动态、根系形态结构指标、根锚定力学特性及田间倒伏率探究了乙烯利对玉米根系发育、形态特征及固着强度的调控效应。
结果表明,乙烯利处理可提早节根的发育起始时间、加快节根发育速率、缩短根层发育时间,诱导形成额外一层节根但不显著影响各层的节根数量。同时,乙烯利处理显著增加了玉米根系总长和侧根数量,但降低了根平均直径和根体积。此外,乙烯利处理增加了根夹角、根顶角和根底角,减小了根系最大宽度和中位宽度,从而形成了更加陡直紧凑的根系构型。



点击链接查看全文:
Cite the article:
Shu Mu, Mengfan Yang, Xinlong Lin, Qinghua Han, Siyu Chen, Yushi Zhang, Mingcai Zhang, Zhaohu Li. 2026. Ethephon mediates root morphology traits for shaping steep root architecture to enhance root anchorage in maize. Journal of Integrative Agriculture, Doi:10.1016/j.jia.2026.01.031
| 图文由作者团队提供




Journal of Integrative Agriculture(《农业科学学报(英文)》, JIA)由中华人民共和国农业农村部主管,中国农业科学院与中国农学会主办,中国农业科学院农业信息研究所承办。综合性英文学术期刊,月刊。创刊于2002年,现任主编为中国科学院院士陈化兰。JIA主要栏目有作物科学、园艺、植物保护、动物科学、动物医学、农业生态环境、食品科学、农业经济与管理等。刊稿类型有综述、研究论文、简报以及评述等。全部论文在Elsevier-ScienceDirect (SD) 平台OA出版。最新SCI影响因子4.4,位于SCI-JCR农业综合学科Q1区。中科院分区农林科学1区。2016年以来先后获得中国科协等部委 “提升计划”“登峰计划”“卓越计划”项目支持。
欢迎加入JIA交流群


星标我们🌟,求分享、点赞+在看