
点击视频查看课程介绍
小红书:续一设计考研咨询/续一川农风景园林考研
B站up主:续一考研

根据四川农业大学2026年招收攻读硕士学位研究生复试录取工作办法有关要求,结合学院2026年硕士研究生复试工作实际,2026年硕士研究生招生复试工作安排如下。
一、组织与管理
学院成立2026年招收硕士学位研究生复试工作领导小组与纪检监督小组,领导小组负责对学院复试工作的领导和统筹管理,纪检监督小组负责对学院复试工作全程监督与检查。
二、复试形式及基本要求
1.采用线下复试形式。
2.复试过程中,如发现考生有违反复试要求或影响复试评分的行为,复试将立即停止;情节严重的,复试成绩将记为0分,取消其录取资格。
3.考生在复试过程中不得录音录像。如发现私自录音录像在网络或者个人群体之间传播,将追究相关法律责任,并取消其录取资格。
三、复试成绩比重及内容
(一)成绩构成比例
总成绩按100分计,考生最后总成绩计算公式:
总成绩=初试总成绩折算成百分制的得分×50%+复试成绩×50%。
复试成绩=专业水平测试成绩×20%+综合素质考评成绩×80%
(二)复试内容
1.专业水平测试(100分),组织形式为笔试,时间120分钟。
2.综合素质考评(100分),组织形式为面试,原则上每名考生面试时长不少于20分钟。
(三)同等学力加试
加试时间3月31日14:30—18:30。加试采用闭卷考试方式进行,各科满分为100分,时间120分钟,具体安排单独通知到考生。
四、复试安排
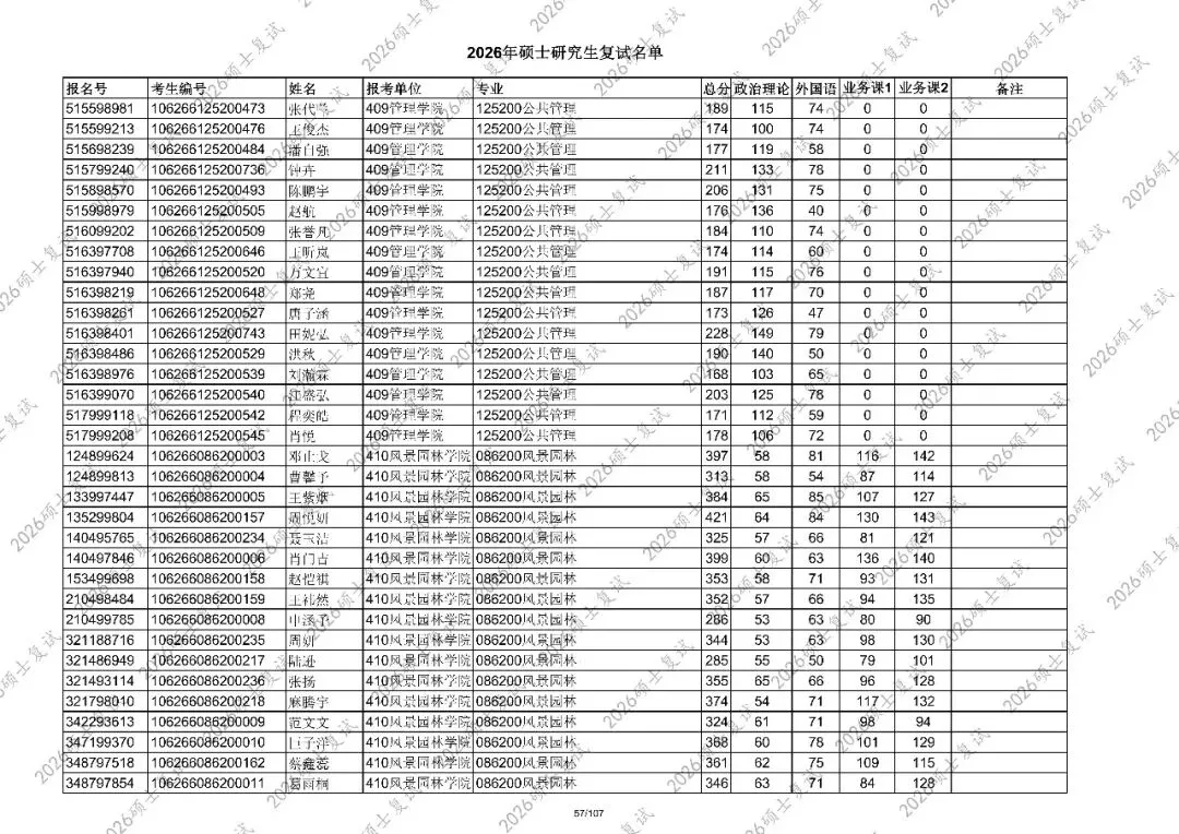
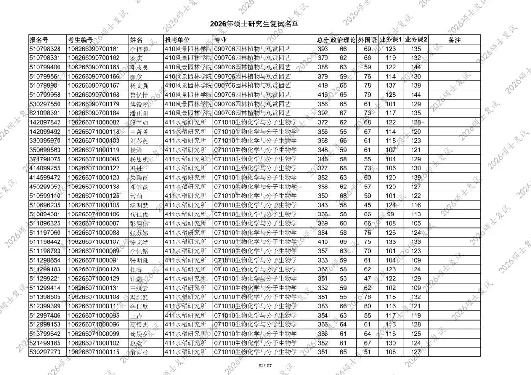
复试资格详见研究生院网站通知《2026年硕士研究生招生复试分数线》(https://yan.sicau.edu.cn/info/1025/14179.htm),复试名单见该通知附件。
(一)复试报到:
缴纳复试费:进入复试的考生须按时完成缴费,具体如下:
1.登录缴费平台
登录缴费平台:https://op.sicau.edu.cn/ ,(缴费开始时间:3月26日中午12点后)。
用户名:26+考研报名号(学校初试成绩查询中可查报名号<点击查询>),默认密码:身份证号码后6位。点击校外人员登录

缴费金额120元。考生登录缴费系统后点击“学费缴费”,根据提示完成。学校将根据缴费名单准备相应的复试数据,请考生在规定的时间内完成交费。
(二)资格审查与提交
1.身份验证(现场出示、查验身份证等有效证件,人脸识别)
2.复试资格审查提交材料(依顺序整理妥当待审):
(1)身份证正反面复印件(复印在A4纸张同一面上)
(2)思想政治与品德考核表(需盖鲜章)
(3)诚信复试承诺书(需手写签名)
(4)不同类型考生须提交以下学历(学籍)材料:
往届生:学信网下载的有效期内的《教育部学历证书电子注册备案表》。
普通高等学校应届生:学信网下载的有效期内的《教育部学籍在线验证报告》。
成人高等教育、网络教育应届本科毕业生:学信网下载的《教育部学籍在线验证报告》和在读高校出具的成绩表。
入学前可取得国家承认本科毕业证书的自学考试考生:注册地自考办打印加盖公章的考生考籍表和专科学历的《教育部学历电子注册备案表》。
境外获得学历证书的考生:须提供教育部留学服务中心出具的学历认证报告。
学历(学籍)审核未通过且无法提供学信网下载的《教育部学历证书电子注册备案表》(应届生《教育部学籍在线验证报告》)的考生还须出具学历(学籍)认证报告。
报考“退役大学生士兵专项计划”考生除以上资料外,还需要提供入伍批准书,退出现役证,核验原件,交复印件。
3.资料提交
提交时间:2025年3月30日8:20-12:00
提交地点:四川农业大学成都校区第五教学楼513室
参加复试的上线考生,实名加入复试QQ群(群号:966251873,群名片为:专业代码姓名考生编号后4位,如086200张三1234,后续环节工作信息发布渠道)。
(三)复试测试内容及安排(环节详细安排QQ群通知)
1.复试分专业水平测试和综合素质考评两个环节。
2.专业水平测试
(1)测试时间:3月30日15:00-17:00
(2)测试地点:第四教学楼A区306 室、308室。
3.综合素质考评
(1)自我陈述,时间3-5分钟。
(2)英语能力测试,由考生随机抽取1-2个问题并按要求作答,时间3-5分钟。
(3)专业基础知识测试
重点考察考生分析问题和解决问题的能力、创新精神和创新能力。
园林植物与观赏园艺(090706):测试园林植物与观赏园艺相关知识,由考生随机抽取1-2个问题并按要求作答。
风景园林(086200):测试风景园林相关知识,由考生随机抽取1-2个问题并按要求作答。
(4)时间地点
时间:3月31日上午8:30
地点:四川农业大学成都校区第五教学楼515室、530室
(四)录取公示
1.录取原则
录取成绩由考生初试总成绩和复试成绩折合为百分制后加权计算,保留两位小数。将考生录取成绩分专业、降序排名,根据各专业招生计划名额,从高分到低分择优确定拟录取名单。
录取成绩相同的考生,按复试成绩、初试科目3与科目4总成绩、统考英语成绩依次排序录取。有下列情况之一者,不予录取:
(1)思想政治素质和品德考核不合格者
(2)体检不符合教育部规定者
(3)同等学力加试课程任意一科低于60分者
(4)报考资格不符合规定的(包括经考生确认的报考信息填写错误引起的)
(5)未通过或未完成学历(学籍)审核的考生
(6)复试成绩(总分100分)低于60分者
(7)存在任何学术不端行为,或考试诚信问题者
2.拟录取公示
按照录取原则录取后,拟录取名单在四川农业大学风景园林学院主页公示,公示时间不少于7日。
十、咨询监督
招生咨询电话:028-82652812
现场咨询地址:四川农业大学成都校区第五教学楼513室
纪检监督电话:028-86290877
十一、其它
1.考生可于拟录取后进行体检,任意二甲及以上医院皆可。体检项目和标准应按照教育部、卫生部、中国残联印发的《普通高等学校招生体检工作指导意见》(教学〔2003〕3号)和《教育部办公厅、卫生部办公厅关于普通高等学校招生学生入学身体检查取消乙肝项目检测有关问题的通知》(教学厅〔2010〕2 号)的规定执行。加盖公章的体检表原件请于拟录取名单公示后7个工作日内PDF扫描后以姓名命名发送到397922648@qq.com邮箱。
2.非全日制考生拟录取后十五日内须向学院提交定向协议纸质版一式三份。
3.更多信息请关注四川农业大学风景园林学院网页通知公告栏目(通知公告-四川农业大学风景园林学院)。本方案由四川农业大学风景园林学院负责解释,未尽事宜以教育部、四川省及学校的规定为准。
四川农业大学风景园林学院
2026年3月25日
附:
风景园林学院招生工作领导小组
组 长:李 西
副组长:饶远林 姜贝贝
成 员:蔡 军 宋会兴 孙大江 马 均 贾 茵
潘 翔 刘正刚 周书玉 张世成
风景园林学院纪检监督小组
组 长:姜贝贝
成 员:宋会兴 孙大江 李阳洋





