近期,沈阳农业大学农学院耕作制度团队完成的题为“Intercropping combined with reduced nitrogen increased proso millet grain yield by regulating nitrogen assimilation in Northwest China: A 3-year field experiment”的研究在Journal of Integrative Agriculture(《农业科学学报(英文)》,JIA)优先在线发表。

该研究设置2种种植模式(单作糜子、糜子/绿豆间作)和4个施氮水平(糜子施氮量分别为0、60、120和180 kg ha-1,分别记为N0、N1、N2和N3),在陕西榆林开展为期三年的田间试验,基于糜子叶片与根系氮代谢酶活性、植株氮吸收与转运利用效率、氮转运和氮同化相关基因表达、籽粒产量等指标,系统阐述了间作与施氮对糜子氮素周转的调控效应,为揭示间作实现氮肥减施提供了新思路。
01
间作与施氮对糜子生物量
积累及籽粒产量的影响
试验结果表明,间作和施氮并没有改变糜子生长的总体趋势,但显著影响了生育期内具体数值的大小。无论是生物量积累(图1)还是籽粒产量(图2),单作条件下高氮(N3)处理使其达到最大值,而间作条件下,中氮(N2)处理更有利于物质积累与生产力提升。

图1 冠层高度植被指数构建示意图

图2 间作与施氮对糜子根冠比及籽粒产量的影响
02
间作与施氮对糜子氮代谢酶
活性及相关基因表达的影响
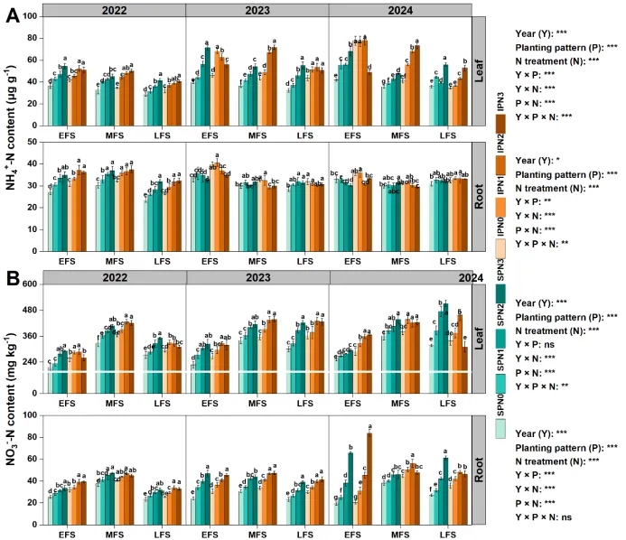
在氮代谢方面,间作与施氮显著提高糜子叶片与根系的谷氨酰胺合成酶(GS)、谷氨酸合成酶(GOGAT)、硝酸还原酶(NR)和亚硝酸还原酶(NiR)等酶活性,增加植株铵态氮和硝态氮含量(图3),其中氮肥对其产生的影响程度显著大于间作。进一步对相关基因表达量分析发现,间作与施氮条件下糜子叶片氮代谢酶相关基因的表达量普遍高于单作和N0,变化趋势与酶活性基本一致;对于根系而言,间作结合减氮可显著上调氮转运基因表达量,如PmNRT2.1、PmNRT2.2、PmNRT2.3、PmNRT2.4、PmNRT2.5、PmNRT2.6(图4)。


03
生理代谢驱动的糜子产量
调控的直接和间接途径
偏最小二乘路径模型(PLS-PM)与随机森林分析显示,从氮代谢维度来看,糜子籽粒产量的提升与酶活性、相关基因表达和矿质氮含量密切相关,其中叶片硝酸还原酶(P<0.01)和根系PmNRT1.9(P<0.01)基因扮演重要作用(图5)。

综上,该研究发现间作条件下适当减氮有利于增强糜子氮转运与代谢过程中关键基因表达量,有效调节了叶片与根系的氮代谢酶活性和矿质氮积累,进而提高了氮素从营养器官向籽粒的转运和籽粒产量。研究结果从功能基因表达的视角强调了植物氮代谢与生产力之间的密切关系,为间作和氮肥在农业中的应用提供了理论依据。
沈阳农业大学宫香伟副教授与西北农林科技大学冯佰利教授为该文章的通讯作者,硕士生季欣杰为论文第一作者。
该研究获得国家自然科学基金(32201920)和中国科协青年人才托举工程(2022QNRC001)的资助。
点击链接查看全文:
Cite the article:
Xinjie Ji, Jingwen Yang, Liyun Chang, Xuelian Wang, Yan Luo, Panpan Zhang, Xiangwei Gong, Baili Feng. 2026. Intercropping combined with reduced nitrogen increased proso millet grain yield by regulating nitrogen assimilation in Northwest China: A 3-year field experiment. Journal of Integrative Agriculture, Doi:10.1016/j.jia.2026.01.002
| 图文由作者团队提供




Journal of Integrative Agriculture(《农业科学学报(英文)》, JIA)由中华人民共和国农业农村部主管,中国农业科学院与中国农学会主办,中国农业科学院农业信息研究所承办。综合性英文学术期刊,月刊。创刊于2002年,现任主编为中国科学院院士陈化兰。JIA主要栏目有作物科学、园艺、植物保护、动物科学、动物医学、农业生态环境、食品科学、农业经济与管理等。刊稿类型有综述、研究论文、简报以及评述等。全部论文在Elsevier-ScienceDirect (SD) 平台OA出版。最新SCI影响因子4.4,位于SCI-JCR农业综合学科Q1区。中科院分区农林科学1区。2016年以来先后获得中国科协等部委 “提升计划”“登峰计划”“卓越计划”项目支持。
欢迎加入JIA交流群


星标我们🌟,求分享、点赞+在看