
研究背景
胡椒属植物在食品、香料和草药中应用广泛,其中超过百种具有治疗皮肤病、胃肠道、泌尿、呼吸及肝脏疾病的药用价值。黑胡椒因其独特香气和药用价值被誉为“香料之王”。在中国,黑胡椒主要种植于海南,产量占全国90%以上。然而,在果实采收过程中产生的大量落叶以及为增产而修剪的旺盛枝叶,常被掩埋或焚烧以防虫害,这不仅造成了资源浪费,还存在环境污染风险。因此,开发黑胡椒叶片的药用活性成分,对于资源化利用农业废弃物和环境保护具有重要意义。目前对黑胡椒叶片化学成分的研究相对有限,主要集中于其精油分析。虽有报道显示黑胡椒叶提取物具有抗氧化、抗菌和抗炎作用,但其药理作用的物质基础尚不明确。前期研究表明,黑胡椒叶生物碱含量虽低于果实、果皮和茎,但其提取物在神经细胞模型中显示出良好的神经保护活性。考虑到神经炎症是多种神经系统疾病的核心病理机制,而小胶质细胞在其中的关键作用,利用脂多糖诱导的BV-2小胶质细胞模型筛选抗神经炎化合物是常用策略。因此,系统研究黑胡椒叶片中除生物碱外的其他成分(如木脂素、黄酮等)及其抗炎活性,有助于发现治疗神经炎症相关疾病的潜在先导化合物。
特色创新
本研究首次系统地对黑胡椒(Piper nigrum L.)叶片这一农业废弃资源进行生物活性导向的化学成分分离与抗炎活性研究,旨在挖掘其作为天然抗炎药物或保健品原料的潜力。从黑胡椒叶片中分离鉴定出31个化合物,其中包括3个结构新颖的木脂素(命名为Pipernigrumin A, B, C1/C2),以及24个首次从该植物中发现的化合物,极大地丰富了黑胡椒的植物化学图谱。采用抗炎活性导向的分离策略,高效地锁定了活性成分。同时,建立并验证了一种UPLC-TQ-ESI-MS/MS定量方法,用于同步测定叶片中8种代表性木脂素和黄酮类化合物的含量,并考察了不同采收月份的含量变化。不仅评估了提取物和单体化合物抑制一氧化氮(NO)产生的能力,还对活性最强的化合物进一步测定了其对关键促炎细胞因子(TNF-α, IL-6, IL-1β)的抑制作用,并初步探讨了C-9位立体构型与抗炎活性的潜在关系。研究明确了黑胡椒叶片中木脂素是其主要次生代谢物类别之一,含量相对稳定,为其从农业废弃物转化为高附加值天然产物原料提供了科学依据。
研究内容
1. 提取、分离与结构鉴定:研究采用95%和75%乙醇水溶液对干燥的黑胡椒叶片进行回流提取,提取物经硅胶柱层析初步分离后,综合运用多种柱色谱及半制备高效液相色谱技术进行系统分离。最终共分离得到31个化合物,通过核磁共振、高分辨质谱、紫外、红外、圆二色谱等多种波谱学手段,鉴定了它们的结构。其中包括3个新木脂素和28个已知化合物(涵盖20个木脂素、6个生物碱和5个黄酮)。值得注意的是,有24个化合物为首次从黑胡椒中发现。

2. 抗炎活性筛选与评价:
提取物活性: 采用LPS诱导的BV-2小胶质细胞模型,首先评价了黑胡椒叶甲醇提取物的抗炎活性。结果显示,该提取物能剂量依赖性地抑制NO产生,其IC50值(9.1 μg/mL)优于阳性对照L-NMMA(15.2 μg/mL),且在测试浓度下无明显细胞毒性。

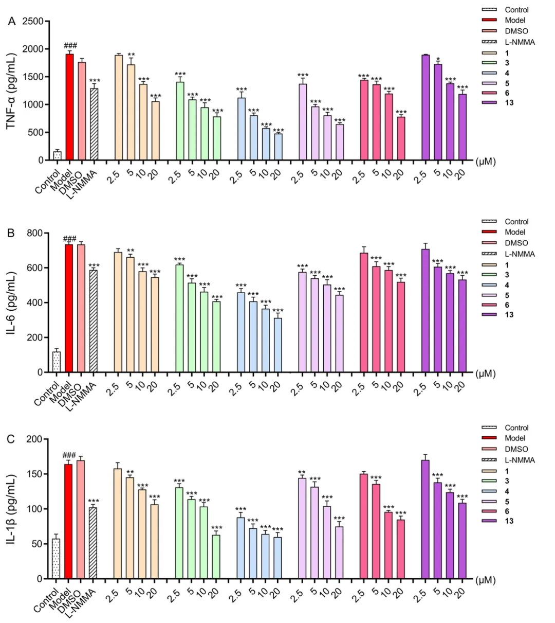
单体化合物活性: 在无毒浓度下,测试了所有31个单体化合物抑制NO产生的能力。结果显示,大多数化合物(除21和28-31外)均表现出抑制活性。其中,化合物1, 3-6, 13, 22的抑制率超过80%,被选作进一步研究。活性最强的化合物4,其IC50值低至2.7 μM,优于阳性对照L-NMMA(61.2 μM)以及已知抗炎药地塞米松(6.6 μM)和米诺环素(13.9 μM)。

构效关系初探与细胞因子抑制: 通过比较化合物4(C-9位R构型)与其异构体1(C-9位S构型)的活性差异(IC50: 2.7 vs 18.2 μM),初步推测C-9位的R构型可能对抗炎活性更有利。此外,对活性最强的几个化合物(1, 3-6, 13)进行了促炎细胞因子检测。结果表明,它们均能以剂量依赖的方式显著降低LPS诱导的TNF-α、IL-6和IL-1β的水平,其中化合物4的效果最为突出。这提示其抗炎机制可能与抑制NF-κB信号通路有关。

3. 代表性成分的定量分析:为评估资源价值,研究建立并验证了UPLC-TQ-ESI-MS/MS方法,用于同时定量分析叶片中8种代表性成分:6个木脂素(4, 6, 9, 14, 16, 17)和2个黄酮(29, 30)。该方法线性良好,精密度、准确度和重复性符合要求。对海南地区不同月份(3月、5月、8月、10月、12月)采收的叶片进行分析,发现黄酮30和木脂素9的平均含量较高。八种成分总含量的变异系数(CV)为9.15%,表明其全年含量相对稳定,不受海南旱雨季显著影响。这证明在果实采收期(5-8月)或修剪期(3-4月,9-10月)产生的大量叶片均可作为提取这些化合物的稳定原料。


本研究首次系统报道了黑胡椒叶片的抗炎活性,并通过活性导向分离发现了包括3个新木脂素在内的多种活性成分,其中化合物4显示出卓越的抗炎潜力。定量分析结果表明,木脂素是黑胡椒叶片中的一类主要活性成分,且含量稳定。这些发现不仅拓展了对黑胡椒化学和药理价值的认识,更重要的是为综合利用胡椒种植业的废弃叶片资源,开发天然抗炎药物或功能性食品提供了坚实的科学依据。未来研究需进一步深入阐明活性化合物(如化合物4)的作用靶点、体内药效及代谢机制。
文献引用:Xiong, L.; Ai, J.; Guo, H.; Chen, X.; Guo, Q.; Wang, Y.; Cao, B.; Wu, X. Novel Anti-inflammatory Lignans Identified in Piper nigrum L. Leaves via Bioactivity-Guided Isolation. J. Agric. Food Chem.2025, *73* (x), xxxx-xxxx. https://doi.org/10.1021/acs.jafc.5c12668.