中国农业新基建发展水平的区域差异、动态演进及驱动因素
王菲1,2王梓豪1刘天军1
1.西北农林科技大学 经济管理学院;2.湖州师范学院 经济管理学院

▲ 上图为第一作者近照
摘 要农业新型基础设施建设对培育农业新质生产力和推进农业高质量发展至关重要。基于2011-2022年2159个县域的面板数据,从“内源驱动-外源发展”视角构建农业新基建发展水平的评价指标体系并测度,综合运用Dagum基尼系数、莫兰指数、空间核密度及空间杜宾模型,揭示农业新基建发展水平的区域差异、分布动态演进规律及其驱动因素。研究表明:(1)农业新基建发展水平稳步上升但尚存在较大的提升空间,整体呈现“东部>中部>西部>东北”的空间分布格局;(2)总体差异呈逐年下降趋势,超变密度为差异首要来源;(3)不考虑空间因素时,农业新基建发展水平的分布流动性明显,考虑空间因素时,低发展水平县域的正空间相关性较强,而高发展水平县域的正空间相关性失效;(4)农业新基建发展水平受经济发展、技术创新、金融发展和环境质量等多因素共同影响。
关键词农业新基建发展;区域差异;空间动态演进;驱动因素;新质生产力本文来源:王菲,王梓豪,刘天军.中国农业新基建发展水平的区域差异、动态演进及驱动因素[J].华中农业大学学报(社会科学版),2026(1):72-84

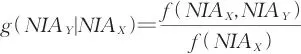
的计算见式(1),其中,
(
)表示
(
)区域内各县域
(
)的农业新基建发展水平;
表示所有县域均值;
和
分别表示县域和区域的总个数,取值为2159和4;
(
)表示
(
)区域内部的县域个数。![]() | (1) |
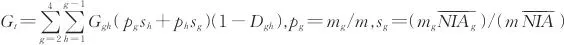
区域组内基尼系数
、组内差异贡献
,式(3)展示了
、
区域的组间基尼系数
及组间净差异贡献
。超变密度贡献
如式(4)所示,其中,
代表了区域间净影响力
占最大可能值
的比例,计算公式为
。
(
)为
(
)区域的累积密度分布函数;
表示
、
两区域内部所有被观测县域
的数学期望值,计算公式为
;
表示
、
两区域内部所有被观测县域
的数学期望值,计算公式为
。![]() | (2) |
![]() | (3) |
![]() | (4) |
![]() | (5) |
为空间邻接权重矩阵;
为所有空间权重的集合;平均值
;
为空间县域数;
为
县域的农业新基建发展水平。
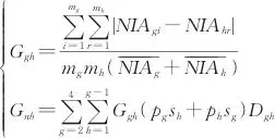
(
)和
(
)分别为X(Y)轴对应的农业新基建发展水平随机变量及其均值;
为联合核密度函数;
为
条件下
的分布。![]() | (6) |
![]() | (7) |
为农业新基建发展水平的空间滞后项系数;
为驱动因素;
和
为估计系数;
为县域固定效应,
为时间固定效应;
为县域
在
年的随机误差项。![]() | (8) |





注:①数据由Matlab软件计算整理而得。②限于篇幅,此处仅汇报隔年的测度结果。③总体基尼系数=组内差异基尼系数+组间净差异基尼系数+超变密度。






注:①***、**和*分别代表在1%、5%和10%的显著性水平。②为降低异方差的影响,实证分析模型中变量均使用取对数值。

注:表格所示回归系数均为双向固定效应下的空间杜宾模型回归结果。

DOI:10.13300/j.cnki.hnwkxb.2026.01.007
注:限于篇幅,参考文献、脚注已省略;封面图来源于网络
更多请关注网站:http://hnxbw.cnjournals.net
《华中农业大学学报(社会科学版)》源头可追溯至1956年创刊的《华中农学院学报》,初期文理内容兼收,至1981年复刊后始分文理版公开发行,是农业部属高校创办的第一本哲社学报。本刊由教育部主管、华中农业大学主办,是中文社会科学引文索引(CSSCI)来源期刊、中文核心期刊要目总览来源期刊、中国权威学术期刊(RCCSE)、中国国际影响力优秀学术期刊,入选全国高校百强社科期刊,现为双月刊,逢单月5日出版。
《华中农业大学学报(社会科学版)》采用在线投稿系统,网上投稿、查稿,所有刊文均可全文上网浏览及下载。网址:http://hnxbw.cnjournals.net ,微信公众号:hzauskxb。




