

文章信息
标题:Green manure co-application boosts arid agroecosystem sustainability: Mixed sowing of feed rape and hairy vetch modulates N input and enzymes for optimized wheat production
标题译中文:绿肥配施促进了旱地农业生态系统的可持续性:饲料油菜和毛苕子混播调节N输入和酶,以优化小麦生产
一作:Ru Yu
通讯:Hongyuan Zhang老师
发表时间:2026年1月

主要创新
饲料油菜与毛叶苕子配施提高了春小麦产量和产量稳定性
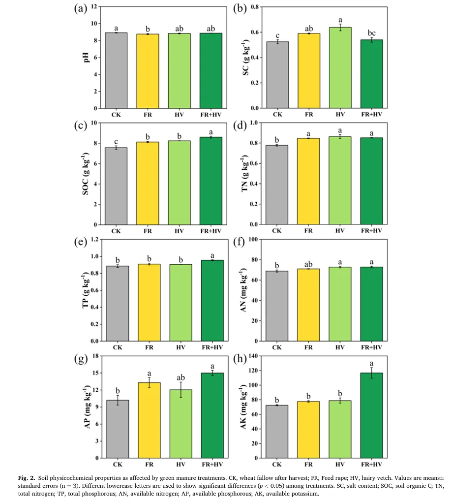
饲用油菜和毛苕子配施增加了C和N的投入,改善了土壤质量
绿肥氮输入促进了土壤酶活性,最终提高了小麦产量。

【目的】本研究的目的是通过9年的田间试验,研究小麦-绿肥种植制度的产量表现和产量稳定性,并阐明(包括C、N投入量、养分相关酶、土壤质量指数)的关键土壤生态机制,以确定最佳的绿肥还田策略。
【方法】本研究以典型低肥力农田(河套灌区)为研究对象,通过9年( 2015 - 2023年)田间试验,设置3种绿肥种植体系(饲料油菜( FR ))、毛叶苕子( HV )、饲料油菜与毛叶苕子混播( FR + HV )和1个常规处理(小麦收获后休闲, CK),从绿肥生物量、酶活性、SQI、小麦产量及产量稳定性等方面揭示其对碳氮投入的影响。





【结论】这项为期9年的连续田间调查通过系统地阐明绿肥介导的作物增强机制,为优化以绿肥为基础的可持续农业种植制度提供了关键的经验证据。我们的研究结果表明,绿肥种植和翻压增强了土壤C、N和P的固持,同时提高了酶活性水平,从而使春小麦生产力比常规休耕提高了5.1 - 21.1 %。与单作绿肥相比,饲料油菜与毛叶苕子混作具有更好的农业效果,土壤质量提高8.5 % ~ 8.8 %,产量构成因素(穗粒数、千粒重)提高3.5 % ~ 12.7 %,年际间产量稳定性提高23.0 % ~ 24.8 %。PLS - PM模型表明,绿肥腐解氮输入是土壤酶活化的关键介质,亮氨酸氨基肽酶和碱性磷酸酶活性与籽粒产量呈正相关。这些结果共同表明,双品种绿肥配施(饲料油菜和毛叶苕子)在春小麦系统中实现了土壤质量提升和产量放大的最佳协同,为以河套灌区为代表的干旱灌区提供了一种有效的生态集约化策略。

https://doi.org/10.1016/j.fcr.2026.110389




