当前位置:首页>农业>FH|东北农业大学:油脂不饱和度对双凝胶线性 / 非线性流变行为及稳定性的影响

FH|东北农业大学:油脂不饱和度对双凝胶线性 / 非线性流变行为及稳定性的影响

  • 2026-03-30 07:02:54
FH|东北农业大学:油脂不饱和度对双凝胶线性 / 非线性流变行为及稳定性的影响

Food Hydrocolloids| 油脂不饱和度对双凝胶线性 / 非线性流变行为及稳定性的影响

近日,东北农业大学团队在《Food Hydrocolloids》期刊上发表了题为《The unsaturation degree of oils effects the linear/non-linear rheological behavior and stability of bigel》的研究性论文(一区,IF:12.4)。该研究以橄榄油、红花油、亚麻籽油为模型油,制备单甘酯基 oleogel 与羟丙基甲基纤维素水凝胶复合双凝胶(bigel),系统探究了油脂不饱和度对 bigel 微观结构、热稳定性及线性 / 非线性流变行为的影响,揭示了低不饱和度油脂(橄榄油)因脂肪酸链线性结构促进凝胶因子有序堆积,强化界面作用与网络强度,而高不饱和度油脂因链结构弯曲破坏组装稳定性的机制,为健康脂肪替代品的配方优化提供了理论支撑。

Background

食探未来——食品人都在关注的公众号!

双凝胶(bigel)是通过可控混合条件将油凝胶(oleogel)与水凝胶(hydrogel)复合形成的半固体双相体系,整合了两类凝胶网络的结构优势,能抑制液滴迁移、提升体系稳定性,同时实现塑性流动与弹性恢复的优化平衡,其润滑性和流变学特性与动物脂肪相似,因此常作为高脂食品(如蛋黄酱、沙拉酱、奶油)的部分或完全替代品,在保持相似口感和加工性能的同时降低热量摄入,具有重要的健康食品应用价值。

双凝胶的优良结构与宏观性能由配方和加工参数共同调控,包括油凝胶与水凝胶比例、相结构与浓度、添加剂、混合温度及储存条件等。油凝胶作为核心结构单元,其油相占比通常超过 90%,其物理化学性质会显著影响油凝胶的微观结构与稳定性,进而决定双凝胶的质地、流变学特性及整体性能。脂肪酸不饱和度作为油脂的关键属性,会从根本上塑造油脂的物理化学性质,进而调控油凝胶及其他含油体系的微观结构与宏观性能,但这种影响具有显著的体系依赖性:在动物蜡基油凝胶中,高不饱和度油脂可增强凝胶因子堆积与相互作用,提升网络密度和机械强度;而在植物蜡和硬脂酸体系中,高不饱和度油脂会干扰晶体成核并破坏网络形成;在复合体系中,油脂不饱和度还可通过调控油水界面行为影响体系稳定性,但改性与未改性的界面活性物质(如蛋白质)对油脂不饱和度的响应存在差异,导致相关研究结论不一致。

目前,关于油脂对双凝胶影响的研究较为有限,已有研究表明高饱和油(如椰子油)会限制单甘酯基油凝胶网络形成,而不饱和油(如橄榄油)可与单甘酯形成稳定的 β- 晶体网络并提升双凝胶硬度;同时,油脂分子与水凝胶因子的相互作用也不可忽视,如高极性大豆油可增强与明胶的结合,富含二酰甘油的大豆油能与羟丙基甲基纤维素(HPMC)更高效相互作用,进而改善双凝胶性能。这些研究表明,油脂会通过油凝胶特性及与水凝胶的相互作用,影响双凝胶的质地、机械稳定性、保油性和加工耐受性,这对涂抹酱、人造黄油替代品等结构化脂肪体系的性能至关重要。然而,现有研究多基于小振幅振荡剪切条件开展,对大变形下油脂不饱和度影响双凝胶稳定性的机制尚未明确,而这一机制对双凝胶基材料的实际应用至关重要。因此,系统阐明油脂不饱和度对双凝胶结构与性能的调控作用,不仅是理解其构效关系的核心,也能为双凝胶配方中油脂的合理选择提供理论依据,成为本论文开展的核心背景。

Results

食探未来——食品人都在关注的公众号!

油脂不饱和度对双凝胶微观结构与稳定性的影响

油脂不饱和度显著影响双凝胶(bigel)的微观结构与稳定性,且强度随油脂不饱和度升高而降低。低不饱和度的橄榄油(C18:1)形成的双凝胶(OO-BGs)具有最致密均匀的网络结构、最窄的粒径分布及最低的分子迁移率,其横向弛豫时间范围最窄、热焓值最高,热稳定性最优;而高不饱和度的红花油(C18:2)和亚麻籽油(C18:3)形成的双凝胶(SO-BGs、LO-BGs)结构松散,存在明显空隙与分层现象,分子约束力弱,稳定性较差,其中亚麻籽油双凝胶的结构完整性与稳定性最弱。

油脂不饱和度对双凝胶流变行为的影响

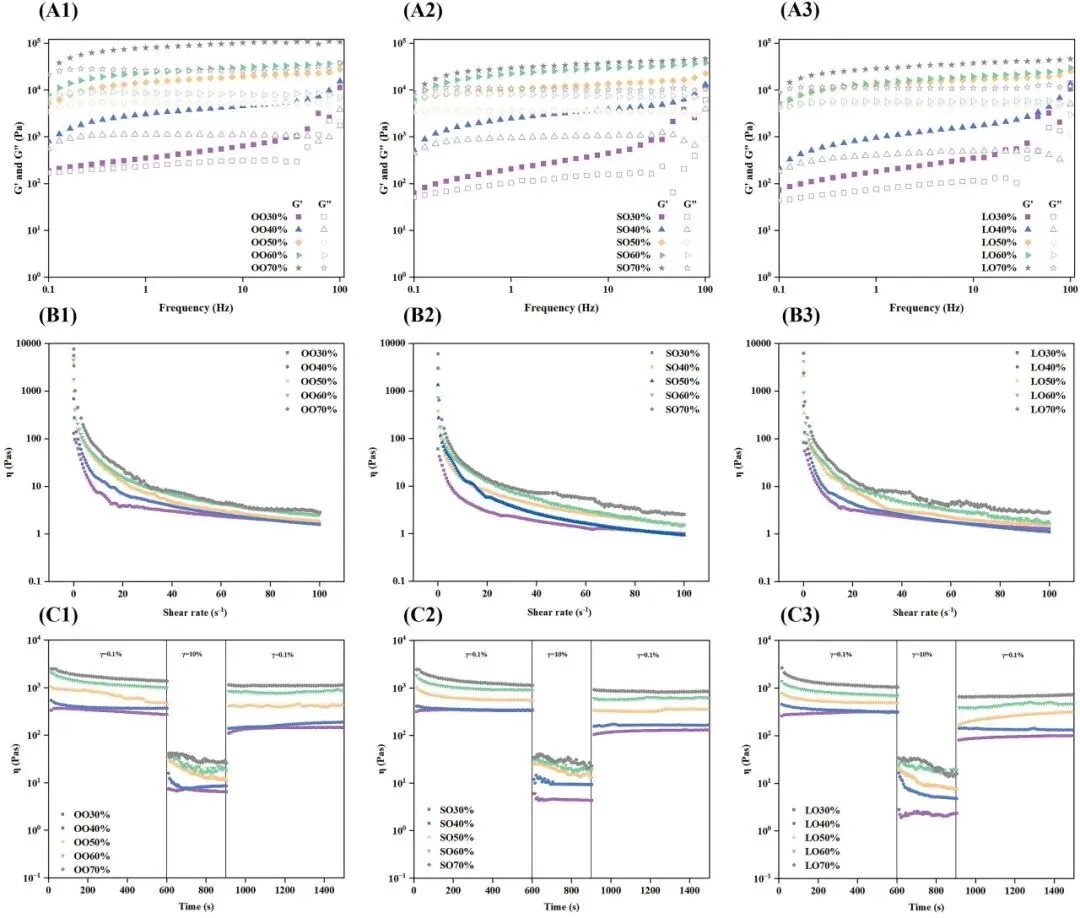
油脂不饱和度主导双凝胶的线性与非线性流变行为。OO-BGs 表现出最高的弹性模量、屈服应力与稠度系数,频率依赖性最低,剪切变稀行为显著,且在触变性测试中结构恢复度最优,展现出极强的抗变形能力;在大振幅振荡剪切下,其弹性 Lissajous-Bowditch(LB)曲线面积最小,应变硬化程度最高,粘性 LB 曲线收缩最早,剪切 thinning 效应最显著,加工适应性最优。相比之下,SO-BGs 与 LO-BGs 的弹性与屈服应力更低,结构易在剪切作用下发生不可逆破坏,其中 LO-BGs 的流变性能最差,大变形下易软化坍塌,成型性不佳。

油脂不饱和度调控双凝胶性能的机制

油脂不饱和度通过分子结构与界面作用调控双凝胶性能。橄榄油的单不饱和脂肪酸(C18:1)具有线性分子结构,能促进单甘酯(MG)的有序堆积,强化 oleogel 网络强度,同时其羧基易延伸至水相,与羟丙基甲基纤维素(HPMC)形成更强的氢键与范德华力,提升界面膜致密性;且橄榄油体系中凝胶因子的扩散、渗透与重排速率最快,界面压力最高,进一步稳固双凝胶结构。而高不饱和度油脂的脂肪酸链因多双键呈现弯曲构型,破坏凝胶因子有序组装,削弱分子间作用力与界面相互作用,导致双凝胶结构松散、性能劣化。

图文赏析

Graphical abstract

Fig. 1. Schematic diagram of the micro-structure of bigels. (A1∼A5, B1∼B5, C1∼C5) CLSM images; (a1∼a5, b1∼b5, c1∼c5) 3D-CLSM images; A, B, and C represent OO-BGs, SO-BGs, and LO-BGs, respectively; b4-1 and c4-1 are magnified images of the regions within the white boxes in b4 and c4, respectively; the scale bar is 100 μm. 1∼5 indicates a gradual increase in oleogel content.

Fig. 2. Microstructural stability of bigels. (A1∼A3) Distribution of transverse relaxation times of OO-BGs, SO-BGs, and LO-BGs, respectively; (B1∼B3) DSC thermograms of OO-BGs, SO-BGs, and LO-BGs, respectively.

Fig. 3. Rheological properties of bigels. (A1∼A3) Frequency scanning of OO-BGs, SO-BGs, and LO-BGs, respectively; (B1∼B3) Viscosity of OO-BGs, SO-BGs, and LO-BGs, respectively; (C1∼C3) Thixotropic recovery of OO-BGs, SO-BGs, and LO-BGs, respectively.

Fig. 4. Strain scanning of bigel in linear and nonlinear regions. (A1∼A3) Strain scanning of OO-BGs, SO-BGs, and LO-BGs, respectively; (B) Critical strain (γc); (C) G′ value at the endpoint of LVR; (D) Yield stress (τ0).

Fig. 5. The strain elastic characteristics of bigels. (A) Elastic LB curve at an oscillation frequency of 1.0 Hz, showing strain amplitudes ranging from 1% to 500%; (B1∼B5) Heat maps of the normalized e3/e1 values, illustrating the different regions of strain stiffening/softening of bigels. (C1∼C5) Stiffening index S values. 1∼5 indicates a gradual increase in oleogel content.

Fig. 6. The strain viscosity characteristics of bigels. (A) Viscosity LB curve at an oscillation frequency of 1.0 Hz, showing strain amplitudes ranging from 1% to 500%; (B1∼B5) Heat maps of the normalized v3/v1 values, illustrating the different regions of strain stiffening/softening of bigels. (C1∼C5) Stiffening index T values. 1∼5 indicates a gradual increase in oleogel content.

Fig. 7. The adsorption dynamics of the gelator at different oil-water interfaces and the multiple light scattering results of different bigel systems: (A1) The π versus root time (t1/2); (A2) The ln [(π10800-πt)/(π10800-π0)] versus time plot. The slopes of Kdiff, Kp and Kr represent the diffusion rate, the penetration, and the structural rearrangement rate, respectively. (B1∼B3) The backscattering light (ΔBS) intensity changes and (C) The Turbiscan Stability Index (TSI) of different bigel systems during 2 h.

Fig. 8. Schematic diagram of intermolecular interactions in the bigel. (A) FT-IR spectra of three bigel systems; (A1) enlarged view of the peak vibration at 3300 cm−1; (A2) enlarged view of the peak vibration in the range of 2850-2950 cm−1. (B1-B3) Schematic representation of the binding of OO, SO, and LO with MG; (b1-b3) Schematic representation of the binding of OO, SO, and LO with HPMC. (C) Schematic illustrating the interfacial behaviour mechanisms of fatty acids with varying degrees of unsaturation.

原文链接

https://doi.org/10.1016/j.foodhyd.2026.112532

免责声明:「原创」仅代表原创编译,水平有限,仅供学术交流,本平台不主张原文的版权,如有侵权,请联系删除。文献解读或作者简历如有疏漏之处,我们深表歉意,请作者团队及时联系《食探未来》主编(微信号:shitanweilai8077),我们会在第一时间进行修改或撤稿重发,感谢您的谅解!

1

最新文章

随机文章

基本 文件 流程 错误 SQL 调试
  1. 请求信息 : 2026-04-12 20:49:11 HTTP/2.0 GET : https://h.mffb.com.cn/a/480298.html
  2. 运行时间 : 0.107681s [ 吞吐率:9.29req/s ] 内存消耗:4,530.70kb 文件加载:140
  3. 缓存信息 : 0 reads,0 writes
  4. 会话信息 : SESSION_ID=8ea708515b38ee137e57c2c84e97b23e
  1. /yingpanguazai/ssd/ssd1/www/h.mffb.com.cn/public/index.php ( 0.79 KB )
  2. /yingpanguazai/ssd/ssd1/www/h.mffb.com.cn/vendor/autoload.php ( 0.17 KB )
  3. /yingpanguazai/ssd/ssd1/www/h.mffb.com.cn/vendor/composer/autoload_real.php ( 2.49 KB )
  4. /yingpanguazai/ssd/ssd1/www/h.mffb.com.cn/vendor/composer/platform_check.php ( 0.90 KB )
  5. /yingpanguazai/ssd/ssd1/www/h.mffb.com.cn/vendor/composer/ClassLoader.php ( 14.03 KB )
  6. /yingpanguazai/ssd/ssd1/www/h.mffb.com.cn/vendor/composer/autoload_static.php ( 4.90 KB )
  7. /yingpanguazai/ssd/ssd1/www/h.mffb.com.cn/vendor/topthink/think-helper/src/helper.php ( 8.34 KB )
  8. /yingpanguazai/ssd/ssd1/www/h.mffb.com.cn/vendor/topthink/think-validate/src/helper.php ( 2.19 KB )
  9. /yingpanguazai/ssd/ssd1/www/h.mffb.com.cn/vendor/topthink/think-orm/src/helper.php ( 1.47 KB )
  10. /yingpanguazai/ssd/ssd1/www/h.mffb.com.cn/vendor/topthink/think-orm/stubs/load_stubs.php ( 0.16 KB )
  11. /yingpanguazai/ssd/ssd1/www/h.mffb.com.cn/vendor/topthink/framework/src/think/Exception.php ( 1.69 KB )
  12. /yingpanguazai/ssd/ssd1/www/h.mffb.com.cn/vendor/topthink/think-container/src/Facade.php ( 2.71 KB )
  13. /yingpanguazai/ssd/ssd1/www/h.mffb.com.cn/vendor/symfony/deprecation-contracts/function.php ( 0.99 KB )
  14. /yingpanguazai/ssd/ssd1/www/h.mffb.com.cn/vendor/symfony/polyfill-mbstring/bootstrap.php ( 8.26 KB )
  15. /yingpanguazai/ssd/ssd1/www/h.mffb.com.cn/vendor/symfony/polyfill-mbstring/bootstrap80.php ( 9.78 KB )
  16. /yingpanguazai/ssd/ssd1/www/h.mffb.com.cn/vendor/symfony/var-dumper/Resources/functions/dump.php ( 1.49 KB )
  17. /yingpanguazai/ssd/ssd1/www/h.mffb.com.cn/vendor/topthink/think-dumper/src/helper.php ( 0.18 KB )
  18. /yingpanguazai/ssd/ssd1/www/h.mffb.com.cn/vendor/symfony/var-dumper/VarDumper.php ( 4.30 KB )
  19. /yingpanguazai/ssd/ssd1/www/h.mffb.com.cn/vendor/topthink/framework/src/think/App.php ( 15.30 KB )
  20. /yingpanguazai/ssd/ssd1/www/h.mffb.com.cn/vendor/topthink/think-container/src/Container.php ( 15.76 KB )
  21. /yingpanguazai/ssd/ssd1/www/h.mffb.com.cn/vendor/psr/container/src/ContainerInterface.php ( 1.02 KB )
  22. /yingpanguazai/ssd/ssd1/www/h.mffb.com.cn/app/provider.php ( 0.19 KB )
  23. /yingpanguazai/ssd/ssd1/www/h.mffb.com.cn/vendor/topthink/framework/src/think/Http.php ( 6.04 KB )
  24. /yingpanguazai/ssd/ssd1/www/h.mffb.com.cn/vendor/topthink/think-helper/src/helper/Str.php ( 7.29 KB )
  25. /yingpanguazai/ssd/ssd1/www/h.mffb.com.cn/vendor/topthink/framework/src/think/Env.php ( 4.68 KB )
  26. /yingpanguazai/ssd/ssd1/www/h.mffb.com.cn/app/common.php ( 0.03 KB )
  27. /yingpanguazai/ssd/ssd1/www/h.mffb.com.cn/vendor/topthink/framework/src/helper.php ( 18.78 KB )
  28. /yingpanguazai/ssd/ssd1/www/h.mffb.com.cn/vendor/topthink/framework/src/think/Config.php ( 5.54 KB )
  29. /yingpanguazai/ssd/ssd1/www/h.mffb.com.cn/config/app.php ( 0.95 KB )
  30. /yingpanguazai/ssd/ssd1/www/h.mffb.com.cn/config/cache.php ( 0.78 KB )
  31. /yingpanguazai/ssd/ssd1/www/h.mffb.com.cn/config/console.php ( 0.23 KB )
  32. /yingpanguazai/ssd/ssd1/www/h.mffb.com.cn/config/cookie.php ( 0.56 KB )
  33. /yingpanguazai/ssd/ssd1/www/h.mffb.com.cn/config/database.php ( 2.48 KB )
  34. /yingpanguazai/ssd/ssd1/www/h.mffb.com.cn/vendor/topthink/framework/src/think/facade/Env.php ( 1.67 KB )
  35. /yingpanguazai/ssd/ssd1/www/h.mffb.com.cn/config/filesystem.php ( 0.61 KB )
  36. /yingpanguazai/ssd/ssd1/www/h.mffb.com.cn/config/lang.php ( 0.91 KB )
  37. /yingpanguazai/ssd/ssd1/www/h.mffb.com.cn/config/log.php ( 1.35 KB )
  38. /yingpanguazai/ssd/ssd1/www/h.mffb.com.cn/config/middleware.php ( 0.19 KB )
  39. /yingpanguazai/ssd/ssd1/www/h.mffb.com.cn/config/route.php ( 1.89 KB )
  40. /yingpanguazai/ssd/ssd1/www/h.mffb.com.cn/config/session.php ( 0.57 KB )
  41. /yingpanguazai/ssd/ssd1/www/h.mffb.com.cn/config/trace.php ( 0.34 KB )
  42. /yingpanguazai/ssd/ssd1/www/h.mffb.com.cn/config/view.php ( 0.82 KB )
  43. /yingpanguazai/ssd/ssd1/www/h.mffb.com.cn/app/event.php ( 0.25 KB )
  44. /yingpanguazai/ssd/ssd1/www/h.mffb.com.cn/vendor/topthink/framework/src/think/Event.php ( 7.67 KB )
  45. /yingpanguazai/ssd/ssd1/www/h.mffb.com.cn/app/service.php ( 0.13 KB )
  46. /yingpanguazai/ssd/ssd1/www/h.mffb.com.cn/app/AppService.php ( 0.26 KB )
  47. /yingpanguazai/ssd/ssd1/www/h.mffb.com.cn/vendor/topthink/framework/src/think/Service.php ( 1.64 KB )
  48. /yingpanguazai/ssd/ssd1/www/h.mffb.com.cn/vendor/topthink/framework/src/think/Lang.php ( 7.35 KB )
  49. /yingpanguazai/ssd/ssd1/www/h.mffb.com.cn/vendor/topthink/framework/src/lang/zh-cn.php ( 13.70 KB )
  50. /yingpanguazai/ssd/ssd1/www/h.mffb.com.cn/vendor/topthink/framework/src/think/initializer/Error.php ( 3.31 KB )
  51. /yingpanguazai/ssd/ssd1/www/h.mffb.com.cn/vendor/topthink/framework/src/think/initializer/RegisterService.php ( 1.33 KB )
  52. /yingpanguazai/ssd/ssd1/www/h.mffb.com.cn/vendor/services.php ( 0.14 KB )
  53. /yingpanguazai/ssd/ssd1/www/h.mffb.com.cn/vendor/topthink/framework/src/think/service/PaginatorService.php ( 1.52 KB )
  54. /yingpanguazai/ssd/ssd1/www/h.mffb.com.cn/vendor/topthink/framework/src/think/service/ValidateService.php ( 0.99 KB )
  55. /yingpanguazai/ssd/ssd1/www/h.mffb.com.cn/vendor/topthink/framework/src/think/service/ModelService.php ( 2.04 KB )
  56. /yingpanguazai/ssd/ssd1/www/h.mffb.com.cn/vendor/topthink/think-trace/src/Service.php ( 0.77 KB )
  57. /yingpanguazai/ssd/ssd1/www/h.mffb.com.cn/vendor/topthink/framework/src/think/Middleware.php ( 6.72 KB )
  58. /yingpanguazai/ssd/ssd1/www/h.mffb.com.cn/vendor/topthink/framework/src/think/initializer/BootService.php ( 0.77 KB )
  59. /yingpanguazai/ssd/ssd1/www/h.mffb.com.cn/vendor/topthink/think-orm/src/Paginator.php ( 11.86 KB )
  60. /yingpanguazai/ssd/ssd1/www/h.mffb.com.cn/vendor/topthink/think-validate/src/Validate.php ( 63.20 KB )
  61. /yingpanguazai/ssd/ssd1/www/h.mffb.com.cn/vendor/topthink/think-orm/src/Model.php ( 23.55 KB )
  62. /yingpanguazai/ssd/ssd1/www/h.mffb.com.cn/vendor/topthink/think-orm/src/model/concern/Attribute.php ( 21.05 KB )
  63. /yingpanguazai/ssd/ssd1/www/h.mffb.com.cn/vendor/topthink/think-orm/src/model/concern/AutoWriteData.php ( 4.21 KB )
  64. /yingpanguazai/ssd/ssd1/www/h.mffb.com.cn/vendor/topthink/think-orm/src/model/concern/Conversion.php ( 6.44 KB )
  65. /yingpanguazai/ssd/ssd1/www/h.mffb.com.cn/vendor/topthink/think-orm/src/model/concern/DbConnect.php ( 5.16 KB )
  66. /yingpanguazai/ssd/ssd1/www/h.mffb.com.cn/vendor/topthink/think-orm/src/model/concern/ModelEvent.php ( 2.33 KB )
  67. /yingpanguazai/ssd/ssd1/www/h.mffb.com.cn/vendor/topthink/think-orm/src/model/concern/RelationShip.php ( 28.29 KB )
  68. /yingpanguazai/ssd/ssd1/www/h.mffb.com.cn/vendor/topthink/think-helper/src/contract/Arrayable.php ( 0.09 KB )
  69. /yingpanguazai/ssd/ssd1/www/h.mffb.com.cn/vendor/topthink/think-helper/src/contract/Jsonable.php ( 0.13 KB )
  70. /yingpanguazai/ssd/ssd1/www/h.mffb.com.cn/vendor/topthink/think-orm/src/model/contract/Modelable.php ( 0.09 KB )
  71. /yingpanguazai/ssd/ssd1/www/h.mffb.com.cn/vendor/topthink/framework/src/think/Db.php ( 2.88 KB )
  72. /yingpanguazai/ssd/ssd1/www/h.mffb.com.cn/vendor/topthink/think-orm/src/DbManager.php ( 8.52 KB )
  73. /yingpanguazai/ssd/ssd1/www/h.mffb.com.cn/vendor/topthink/framework/src/think/Log.php ( 6.28 KB )
  74. /yingpanguazai/ssd/ssd1/www/h.mffb.com.cn/vendor/topthink/framework/src/think/Manager.php ( 3.92 KB )
  75. /yingpanguazai/ssd/ssd1/www/h.mffb.com.cn/vendor/psr/log/src/LoggerTrait.php ( 2.69 KB )
  76. /yingpanguazai/ssd/ssd1/www/h.mffb.com.cn/vendor/psr/log/src/LoggerInterface.php ( 2.71 KB )
  77. /yingpanguazai/ssd/ssd1/www/h.mffb.com.cn/vendor/topthink/framework/src/think/Cache.php ( 4.92 KB )
  78. /yingpanguazai/ssd/ssd1/www/h.mffb.com.cn/vendor/psr/simple-cache/src/CacheInterface.php ( 4.71 KB )
  79. /yingpanguazai/ssd/ssd1/www/h.mffb.com.cn/vendor/topthink/think-helper/src/helper/Arr.php ( 16.63 KB )
  80. /yingpanguazai/ssd/ssd1/www/h.mffb.com.cn/vendor/topthink/framework/src/think/cache/driver/File.php ( 7.84 KB )
  81. /yingpanguazai/ssd/ssd1/www/h.mffb.com.cn/vendor/topthink/framework/src/think/cache/Driver.php ( 9.03 KB )
  82. /yingpanguazai/ssd/ssd1/www/h.mffb.com.cn/vendor/topthink/framework/src/think/contract/CacheHandlerInterface.php ( 1.99 KB )
  83. /yingpanguazai/ssd/ssd1/www/h.mffb.com.cn/app/Request.php ( 0.09 KB )
  84. /yingpanguazai/ssd/ssd1/www/h.mffb.com.cn/vendor/topthink/framework/src/think/Request.php ( 55.78 KB )
  85. /yingpanguazai/ssd/ssd1/www/h.mffb.com.cn/app/middleware.php ( 0.25 KB )
  86. /yingpanguazai/ssd/ssd1/www/h.mffb.com.cn/vendor/topthink/framework/src/think/Pipeline.php ( 2.61 KB )
  87. /yingpanguazai/ssd/ssd1/www/h.mffb.com.cn/vendor/topthink/think-trace/src/TraceDebug.php ( 3.40 KB )
  88. /yingpanguazai/ssd/ssd1/www/h.mffb.com.cn/vendor/topthink/framework/src/think/middleware/SessionInit.php ( 1.94 KB )
  89. /yingpanguazai/ssd/ssd1/www/h.mffb.com.cn/vendor/topthink/framework/src/think/Session.php ( 1.80 KB )
  90. /yingpanguazai/ssd/ssd1/www/h.mffb.com.cn/vendor/topthink/framework/src/think/session/driver/File.php ( 6.27 KB )
  91. /yingpanguazai/ssd/ssd1/www/h.mffb.com.cn/vendor/topthink/framework/src/think/contract/SessionHandlerInterface.php ( 0.87 KB )
  92. /yingpanguazai/ssd/ssd1/www/h.mffb.com.cn/vendor/topthink/framework/src/think/session/Store.php ( 7.12 KB )
  93. /yingpanguazai/ssd/ssd1/www/h.mffb.com.cn/vendor/topthink/framework/src/think/Route.php ( 23.73 KB )
  94. /yingpanguazai/ssd/ssd1/www/h.mffb.com.cn/vendor/topthink/framework/src/think/route/RuleName.php ( 5.75 KB )
  95. /yingpanguazai/ssd/ssd1/www/h.mffb.com.cn/vendor/topthink/framework/src/think/route/Domain.php ( 2.53 KB )
  96. /yingpanguazai/ssd/ssd1/www/h.mffb.com.cn/vendor/topthink/framework/src/think/route/RuleGroup.php ( 22.43 KB )
  97. /yingpanguazai/ssd/ssd1/www/h.mffb.com.cn/vendor/topthink/framework/src/think/route/Rule.php ( 26.95 KB )
  98. /yingpanguazai/ssd/ssd1/www/h.mffb.com.cn/vendor/topthink/framework/src/think/route/RuleItem.php ( 9.78 KB )
  99. /yingpanguazai/ssd/ssd1/www/h.mffb.com.cn/route/app.php ( 1.72 KB )
  100. /yingpanguazai/ssd/ssd1/www/h.mffb.com.cn/vendor/topthink/framework/src/think/facade/Route.php ( 4.70 KB )
  101. /yingpanguazai/ssd/ssd1/www/h.mffb.com.cn/vendor/topthink/framework/src/think/route/dispatch/Controller.php ( 4.74 KB )
  102. /yingpanguazai/ssd/ssd1/www/h.mffb.com.cn/vendor/topthink/framework/src/think/route/Dispatch.php ( 10.44 KB )
  103. /yingpanguazai/ssd/ssd1/www/h.mffb.com.cn/app/controller/Index.php ( 4.81 KB )
  104. /yingpanguazai/ssd/ssd1/www/h.mffb.com.cn/app/BaseController.php ( 2.05 KB )
  105. /yingpanguazai/ssd/ssd1/www/h.mffb.com.cn/vendor/topthink/think-orm/src/facade/Db.php ( 0.93 KB )
  106. /yingpanguazai/ssd/ssd1/www/h.mffb.com.cn/vendor/topthink/think-orm/src/db/connector/Mysql.php ( 5.44 KB )
  107. /yingpanguazai/ssd/ssd1/www/h.mffb.com.cn/vendor/topthink/think-orm/src/db/PDOConnection.php ( 52.47 KB )
  108. /yingpanguazai/ssd/ssd1/www/h.mffb.com.cn/vendor/topthink/think-orm/src/db/Connection.php ( 8.39 KB )
  109. /yingpanguazai/ssd/ssd1/www/h.mffb.com.cn/vendor/topthink/think-orm/src/db/ConnectionInterface.php ( 4.57 KB )
  110. /yingpanguazai/ssd/ssd1/www/h.mffb.com.cn/vendor/topthink/think-orm/src/db/builder/Mysql.php ( 16.58 KB )
  111. /yingpanguazai/ssd/ssd1/www/h.mffb.com.cn/vendor/topthink/think-orm/src/db/Builder.php ( 24.06 KB )
  112. /yingpanguazai/ssd/ssd1/www/h.mffb.com.cn/vendor/topthink/think-orm/src/db/BaseBuilder.php ( 27.50 KB )
  113. /yingpanguazai/ssd/ssd1/www/h.mffb.com.cn/vendor/topthink/think-orm/src/db/Query.php ( 15.71 KB )
  114. /yingpanguazai/ssd/ssd1/www/h.mffb.com.cn/vendor/topthink/think-orm/src/db/BaseQuery.php ( 45.13 KB )
  115. /yingpanguazai/ssd/ssd1/www/h.mffb.com.cn/vendor/topthink/think-orm/src/db/concern/TimeFieldQuery.php ( 7.43 KB )
  116. /yingpanguazai/ssd/ssd1/www/h.mffb.com.cn/vendor/topthink/think-orm/src/db/concern/AggregateQuery.php ( 3.26 KB )
  117. /yingpanguazai/ssd/ssd1/www/h.mffb.com.cn/vendor/topthink/think-orm/src/db/concern/ModelRelationQuery.php ( 20.07 KB )
  118. /yingpanguazai/ssd/ssd1/www/h.mffb.com.cn/vendor/topthink/think-orm/src/db/concern/ParamsBind.php ( 3.66 KB )
  119. /yingpanguazai/ssd/ssd1/www/h.mffb.com.cn/vendor/topthink/think-orm/src/db/concern/ResultOperation.php ( 7.01 KB )
  120. /yingpanguazai/ssd/ssd1/www/h.mffb.com.cn/vendor/topthink/think-orm/src/db/concern/WhereQuery.php ( 19.37 KB )
  121. /yingpanguazai/ssd/ssd1/www/h.mffb.com.cn/vendor/topthink/think-orm/src/db/concern/JoinAndViewQuery.php ( 7.11 KB )
  122. /yingpanguazai/ssd/ssd1/www/h.mffb.com.cn/vendor/topthink/think-orm/src/db/concern/TableFieldInfo.php ( 2.63 KB )
  123. /yingpanguazai/ssd/ssd1/www/h.mffb.com.cn/vendor/topthink/think-orm/src/db/concern/Transaction.php ( 2.77 KB )
  124. /yingpanguazai/ssd/ssd1/www/h.mffb.com.cn/vendor/topthink/framework/src/think/log/driver/File.php ( 5.96 KB )
  125. /yingpanguazai/ssd/ssd1/www/h.mffb.com.cn/vendor/topthink/framework/src/think/contract/LogHandlerInterface.php ( 0.86 KB )
  126. /yingpanguazai/ssd/ssd1/www/h.mffb.com.cn/vendor/topthink/framework/src/think/log/Channel.php ( 3.89 KB )
  127. /yingpanguazai/ssd/ssd1/www/h.mffb.com.cn/vendor/topthink/framework/src/think/event/LogRecord.php ( 1.02 KB )
  128. /yingpanguazai/ssd/ssd1/www/h.mffb.com.cn/vendor/topthink/think-helper/src/Collection.php ( 16.47 KB )
  129. /yingpanguazai/ssd/ssd1/www/h.mffb.com.cn/vendor/topthink/framework/src/think/facade/View.php ( 1.70 KB )
  130. /yingpanguazai/ssd/ssd1/www/h.mffb.com.cn/vendor/topthink/framework/src/think/View.php ( 4.39 KB )
  131. /yingpanguazai/ssd/ssd1/www/h.mffb.com.cn/vendor/topthink/framework/src/think/Response.php ( 8.81 KB )
  132. /yingpanguazai/ssd/ssd1/www/h.mffb.com.cn/vendor/topthink/framework/src/think/response/View.php ( 3.29 KB )
  133. /yingpanguazai/ssd/ssd1/www/h.mffb.com.cn/vendor/topthink/framework/src/think/Cookie.php ( 6.06 KB )
  134. /yingpanguazai/ssd/ssd1/www/h.mffb.com.cn/vendor/topthink/think-view/src/Think.php ( 8.38 KB )
  135. /yingpanguazai/ssd/ssd1/www/h.mffb.com.cn/vendor/topthink/framework/src/think/contract/TemplateHandlerInterface.php ( 1.60 KB )
  136. /yingpanguazai/ssd/ssd1/www/h.mffb.com.cn/vendor/topthink/think-template/src/Template.php ( 46.61 KB )
  137. /yingpanguazai/ssd/ssd1/www/h.mffb.com.cn/vendor/topthink/think-template/src/template/driver/File.php ( 2.41 KB )
  138. /yingpanguazai/ssd/ssd1/www/h.mffb.com.cn/vendor/topthink/think-template/src/template/contract/DriverInterface.php ( 0.86 KB )
  139. /yingpanguazai/ssd/ssd1/www/h.mffb.com.cn/runtime/temp/32b793ebdcbdb96aeb8bb24c123b0bef.php ( 11.98 KB )
  140. /yingpanguazai/ssd/ssd1/www/h.mffb.com.cn/vendor/topthink/think-trace/src/Html.php ( 4.42 KB )
  1. CONNECT:[ UseTime:0.000415s ] mysql:host=127.0.0.1;port=3306;dbname=h_mffb;charset=utf8mb4
  2. SHOW FULL COLUMNS FROM `fenlei` [ RunTime:0.000567s ]
  3. SELECT * FROM `fenlei` WHERE `fid` = 0 [ RunTime:0.000296s ]
  4. SELECT * FROM `fenlei` WHERE `fid` = 63 [ RunTime:0.000964s ]
  5. SHOW FULL COLUMNS FROM `set` [ RunTime:0.000485s ]
  6. SELECT * FROM `set` [ RunTime:0.004403s ]
  7. SHOW FULL COLUMNS FROM `article` [ RunTime:0.000650s ]
  8. SELECT * FROM `article` WHERE `id` = 480298 LIMIT 1 [ RunTime:0.000448s ]
  9. UPDATE `article` SET `lasttime` = 1775998151 WHERE `id` = 480298 [ RunTime:0.002014s ]
  10. SELECT * FROM `fenlei` WHERE `id` = 64 LIMIT 1 [ RunTime:0.001593s ]
  11. SELECT * FROM `article` WHERE `id` < 480298 ORDER BY `id` DESC LIMIT 1 [ RunTime:0.001590s ]
  12. SELECT * FROM `article` WHERE `id` > 480298 ORDER BY `id` ASC LIMIT 1 [ RunTime:0.003002s ]
  13. SELECT * FROM `article` WHERE `id` < 480298 ORDER BY `id` DESC LIMIT 10 [ RunTime:0.004524s ]
  14. SELECT * FROM `article` WHERE `id` < 480298 ORDER BY `id` DESC LIMIT 10,10 [ RunTime:0.003734s ]
  15. SELECT * FROM `article` WHERE `id` < 480298 ORDER BY `id` DESC LIMIT 20,10 [ RunTime:0.015640s ]
0.109251s