点击蓝字 关注我们
东北农业大学赵倩玉副教授、姜毓君教授团队:多糖基功能性微胶囊的制备:提高副干酪乳杆菌在消化、储存和应用过程中的活力
乳品科学教育部重点实验室:乳品安全与品质团队

期刊名称:Food Hydrocolloid
中科院分区:中科院一区
影响因子:12.4
研究背景
国际益生菌与益生元科学协会(ISAPP)将益生菌定义为给予足够剂量时能对宿主产生健康益处的活性微生物,其需达到一定活菌量才能发挥生理功能,但存活能力易受生产、加工、贮藏及消化等多种因素影响,而微胶囊化是提升其稳定性的有效策略;多糖是益生菌微胶囊的优选壁材,其中海藻酸钠(SA)可形成稳定包埋结构但纯品微胶囊存在缺陷,当归多糖(AP)作为药食同源多糖具有多种生物活性且可与SA形成相互作用,壳聚糖(CS)常作为涂层实现pH敏感控释,目前相关研究缺乏对壁材间相互作用机制的探讨,因此本研究采用离子凝胶法结合挤出工艺制备壳聚糖包覆的SA/AP复合微胶囊并包埋副干酪乳杆菌JY062,通过多种方法确定最佳复合比例、表征微胶囊特性、考察其体外消化释放及不同处理对益生菌存活率的影响,并将其应用于东北冻梨汁中评估效果,旨在为益生菌递送载体构建及功能性食品开发提供理论依据。
研究内容和方法
本研究采用离子凝胶法结合挤出工艺,制备壳聚糖包覆的海藻酸钠 / 当归多糖(CS-coated SA/AP)复合微胶囊,并用于包埋副干酪乳杆菌 JY062。通过测定微胶囊的包封率、流变特性及机械强度,确定 SA 与 AP 的最佳复合比例,并采用分子模拟验证二者间的相互作用。随后,通过粒径、扫描电镜(SEM)、傅里叶变换红外光谱(FTIR)、热重分析(TGA)及溶胀性能对各组微胶囊进行表征。其次,考察不同微胶囊的体外消化释放特性,分析冻干、热处理及贮藏过程对微胶囊内益生菌存活率的影响。最后,将微胶囊添加至东北特色饮品——冻梨汁中,系统评估巴氏杀菌及贮藏过程对饮料中益生菌存活率的影响,并探讨冻梨汁在贮藏期间 pH、总酸、黏度等品质指标的变化。
关键结论
(1)首先制备了不同复合比例的海藻酸钠/当归多糖(SA/AP)微胶囊,并基于包封率(EE)、流变特性及机械性能,筛选出SA/AP的最佳复合比例为8:1。
(2)通过分子模拟和傅里叶变换红外光谱(FTIR)证实,二者主要通过氢键和范德华力发生相互作用。
(3)考察了纯海藻酸钙凝胶(SAG)、SA/AP复合凝胶(SAPG)及添加壳聚糖(CS)涂层的SA/AP复合凝胶(SAPCG)的相关特性。所有微胶囊均呈圆形,且均具有良好的溶胀性能和热稳定性。不同之处在于,SAPG和SAPCG表现出更优的抗消化性、冻干耐受性、耐热性、模拟释放性能及贮藏稳定性。
(4)这两种微胶囊可有效避免巴氏杀菌及贮藏过程中冻梨汁中益生菌活性受损,且在4℃贮藏期间,对冻梨汁的pH值、总酸含量及黏度的影响极小。

图1. 益生菌微胶囊制备工艺示意图

图2.不同SA/AP复合比例制备的微胶囊照片(A)、包封率及载菌量(B)、储能模量G’(C)和损耗模量G''(D)

图3. 海藻酸钠(SA)与当归多糖(AP)结合用于IGMH密度泛函理论(DFT)计算的示意图。

图4. (A)微胶囊示意图;(B)微胶囊粒径;(C)微胶囊扫描电镜(SEM)图像(放大40倍);(D)微胶囊扫描电镜(SEM)截面图(放大1000倍);(E)微胶囊扫描电镜(SEM)截面图(放大10000倍)

图5.(A)不同物质的傅里叶变换红外光谱(FTIR);(B)微胶囊溶出率;(C)不同物质的热重分析(TGA)曲线;(D)不同物质的微分热重(DTG)曲线。

图6. 微胶囊的抗消化及模拟释放特性。(A)模拟胃液(SGF)处理120 min后微胶囊中益生菌活菌数(稀释10⁶倍);(B)模拟肠液(SIF)处理240 min后微胶囊中益生菌活菌数(稀释10⁶倍);(C)微胶囊对模拟胃液(SGF)的耐受性;(D)微胶囊对模拟肠液(SIF)的耐受性;(E)微胶囊中益生菌的模拟释放情况;(F)微胶囊中益生菌体内释放示意图。

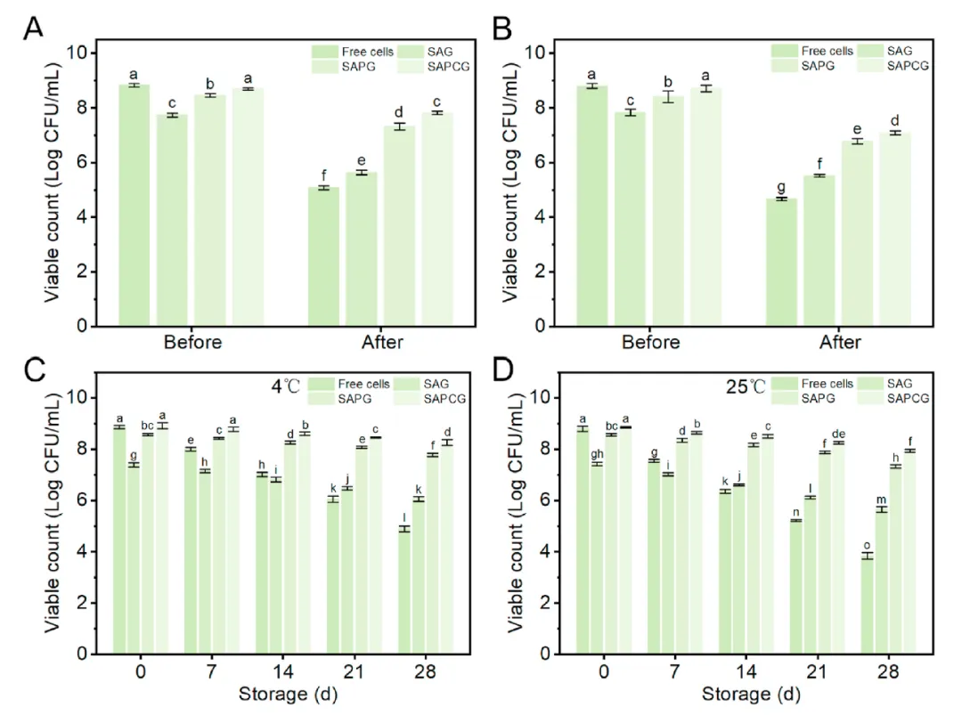
图7.微胶囊对冻干的耐受性(A)、对热处理的耐受性(B)、在4℃下的贮藏稳定性(C)、在25℃下的贮藏稳定性(D)。

图8. 益生菌微胶囊在冻梨汁中的应用。(A)添加微胶囊的冻梨汁贮藏前后照片;(B)巴氏杀菌对冻梨汁中细菌活性的影响;(C)4℃贮藏、(D)25℃贮藏对冻梨汁中细菌活性的影响;以及贮藏期间冻梨汁的pH值(E)、总酸含量(F)和黏度(G)变化。
创新点/应用前景
含CS涂层的SA/AP复合水凝胶可在多种环境下为益生菌提供保护,这对其在饮料及其他益生菌功能性产品中的应用具有重要指导意义。
原文链接
https://doi.org/10.1016/j.foodhyd.2025.112294

赵倩玉,东北农业大学食品学院,博士生导师,副教授。主要研究方向为乳品加工中有害物质的生成机制;功能活性成分的稳态化和靶向递送。近五年主持及参与国家级、省部级、校企合作等项目9项。发表SCI文章35篇,其中以第一作者及通讯作者共发表高水平学术论文29篇,一区 SCI 论文23篇(均为 Top 期刊),单篇影响因子最高为20.3。申请国家发明专利8项,其中授权3项,获得中国商业联合会科学技术奖一等奖、中国乳制品工业协会科学技术进步奖二等奖。

姜毓君,二级教授、博士生导师,东北农业大学副校长、国家市场监管总局婴配食品重点实验室主任、乳品科学教育部重点实验室主任。国家乳业工程技术研究中心主任、国家乳业技术创新中心乳品安全与品质研究中心主任、中国营养保健食品协会副会长。入选长江学者特聘教授、国家“万人计划”领军人才。荣获全国食品安全工作先进个人、中国食品科技学会科技创新奖——突出贡献奖。担任国务院食品安全委员会专家委员会委员、中国乳制品工业协会副理事长等。
主要从事乳制品、婴幼儿配方食品和特医食品等特殊食品和功能食品研究,先后承担国家和省部级课题20余项。获得省科技进步二等奖2项,中国和美国专利22件,主编或共同出版专著教材8部。以第一作者或通讯作者发表学术论文200余篇,其中多篇被选为本领域TOP期刊封面文章或高被引论文;牵头和参与多项国家食品安全法规标准和技术规范的制修订工作。
往期回顾
·Foods特刊“Impacts of Diet-Gut Microbiota Interactions on Health”(IF5.1 JCR1区)上线!
图片及文章来源:详见原文链接
来源:乳品科学教育部重点实验室公众号
编辑:刘璐
责编:杜鹏 刘璐
联系邮箱:627592615@qq.com
