当前位置:首页>林业>IJBM(Q2/8.5)|北京林业大学晁跃辉教授团队全基因组分析揭示蒺藜苜蓿非生物胁迫耐受性和激素信号传导的关键调控因子

IJBM(Q2/8.5)|北京林业大学晁跃辉教授团队全基因组分析揭示蒺藜苜蓿非生物胁迫耐受性和激素信号传导的关键调控因子

  • 2026-05-18 02:58:04
IJBM(Q2/8.5)|北京林业大学晁跃辉教授团队全基因组分析揭示蒺藜苜蓿非生物胁迫耐受性和激素信号传导的关键调控因子
点击上方蓝字"译景小筑",关注我们

文献标题:Genome-wide analysis of the type-B ARRs gene family reveals key regulators of abiotic stress tolerance and hormone signaling in Medicago truncatula

文献译名:B型ARRs基因家族的全基因组分析揭示了蒺藜苜蓿非生物胁迫耐受性和激素信号传导的关键调控因子

期刊名称:International Journal of Biological Macromolecules

发表时间:2026 年1月9日

影响因子:8.5(Q2)

论文一作:沈良英

一作单位:北京林业大学 草业与草原学院

通讯作者:晁跃辉教授、盖云鹏教授、韩烈保教授

通讯邮箱:chaoyuehui@bjfu.edu.cn、gaiyunpeng@bjfu.edu.cn、hanliebao@163.com

项目基金:作者谨此感谢华南农业大学陈程杰副教授提供的生物信息学技术支持。本研究得到了国家重点研发计划项目( 2023YFD1200302 )、国家自然科学基金项目(31971770和32573613)、中央高校基本科研业务费专项资金项目( ZZK202503 )、内蒙古自治区“揭榜挂帅”项目“优质苜蓿新品种选育及产业化示范”( 2022JBGS0020 )、北京林业大学"5·5"工程科研创新团队项目( BLRC2023A04 )、内蒙古自治区科技重大专项项目专题“抗寒高产苜蓿新品种培育”(2022JBGS00160302) 的资助。

01

研究背景

细胞分裂素(Cytokinin)是调控植物生长发育的核心激素,其信号主要通过B型响应调控因子(Type-B ARRs)传导。type-B ARRs作为关键转录因子,在结构上高度保守,包含N端接收结构域、MYB样DNA结合结构域和C端反式激活结构域,使其能够在细胞分裂、器官建成和胁迫响应中发挥核心作用。蒺藜苜蓿Medicago truncatula)因其基因组较小、遗传转化高效、生命周期短等优点,已成为研究豆科植物遗传学,特别是共生固氮等过程的理想模式植物。因此,系统性研究蒺藜苜蓿中的B型ARRs基因家族,对于理解其生长发育和环境适应机制具有重要意义。

目前,对type-B ARRs功能的研究主要集中在模式植物拟南芥中,揭示了其在细胞分裂素信号通路中的关键作用,如ARR1ARR10ARR12共同调控根系和茎尖分生组织的生长发育。研究还发现,type-B ARRs基因家族不仅参与发育调控,还介导植物对盐、干旱等多种非生物胁迫的响应,并与其他激素信号通路存在复杂的交互作用。尽管B型ARRs基因家族已在水稻、大豆、紫花苜蓿等多种植物中被鉴定,但对蒺藜苜蓿的type-B ARRs基因家族成员的鉴定、分类和功能探究缺乏系统性分析。这一研究空白限制了我们对豆科植物生长发育中细胞分裂素信号调控途径及在逆境胁迫方面作用的深入理解。

B型ARRs的功能研究面临着诸多挑战。首先,家族成员之间存在广泛的功能冗余,导致单基因突变体的表型不明显,增加了功能解析的难度。其次,单个B型ARRs在不同胁迫条件下可能扮演正调控或负调控的双重角色,其精确调控机制尚不完全清楚本研究旨在系统性地鉴定和表征蒺藜苜蓿中的B型ARRs基因家族,通过生物信息学分析其理化性质、进化关系、基因结构和顺式作用元件,并结合表达谱分析和初步功能验证,阐明其在非生物胁迫和激素响应中的潜在作用。这项工作不仅填补了蒺藜苜蓿中B型ARRs研究的空白,也为利用这些关键基因进行豆科牧草的遗传改良、提高其胁迫耐受性和生产力提供了重要的理论基础和候选基因资源。

该研究对蒺藜苜蓿 Type-B ARRs 基因家族进行全基因组分析,鉴定出 15 个分布于 6 条染色体的成员,通过系统进化、表达模式及功能验证,揭示了 MtARR7/10 作为正调控因子、MtARR15 作为负调控因子参与非生物胁迫耐受性和激素信号传导的分子机制,为豆科植物抗逆育种提供了理论基础和基因资源。

02

研究方法

2.1 B型MtARRs的鉴定、进化及结构生物信息学分析

本研究首先通过结合双向BLASTP同源比对和HMM模型搜索的方法,在蒺藜苜蓿基因组中系统性地鉴定了B型ARR基因家族成员,并通过多数据库验证确保了其保守结构域的完整性。随后,利用一系列生物信息学工具对这些基因和蛋白进行了全面表征:分析了其理化性质基因结构保守基序染色体定位;预测了其蛋白质的二、三级结构亚细胞定位。在进化层面,通过构建种内和种间系统发育树,并结合与紫花苜蓿、拟南芥等物种的共线性分析,探讨了MtARRs基因家族的进化关系扩张机制选择压力(Ka/Ks计算)。最后,通过分析其启动子区域,预测了调控基因表达的顺式作用元件,为后续功能研究提供了线索。

2.2 MtARRs基因时空表达模式及亚细胞定位分析

为探究MtARRs基因的功能,本研究从两个层面分析了其表达模式。首先,利用转录组数据M. truncatula Gene Expression Atlas),初步评估了MtARR基因在不同组织、非生物胁迫(冷、干旱)及激素处理下的表达模式。其次,通过实时荧光定量PCR(qRT-PCR)实验,对候选基因在不同组织(根、茎、叶等)以及多种激素(ABA、MeJA、SA等)和非生物胁迫(盐、渗透、低温)处理下的时序表达动态进行了精确验证。为了确认其作为转录因子的基本特征,通过构建MtARR-YFP融合蛋白,在烟草叶片中进行了亚细胞定位实验,并利用激光共聚焦显微镜观察其在细胞内的分布。

2.3 B型MtARRs转录活性及功能验证

为从功能上验证MtARRs的作用,本研究开展了以酵母为体系的系列实验。首先,通酵母双杂系统验证了MtARR10蛋白是否具备转录自激活活性,这是其作为转录因子的一个关键特性。接着,为了评估部分MtARR基因在逆境胁迫响应中的作用,将MtARR7MtARR10MtARR15在酿酒酵母中进行异源表达,并通过在含NaCl(盐胁迫)和PEG6000(渗透胁迫)的培养基上进行生长表型分析,评价它们对酵母抗逆性的影响。所有实验均设立了严格的对照和至少三次生物学重复,并采用单因素方差分析或t检验进行统计学分析(p < 0.05),以确保结论的可靠性。

03

研究结果

3.1. B型MtARRs的鉴定、染色体分布及特征分析

  • 基因鉴定:通过三种互补方法,共鉴定出15个推定的B型MtARR基因。

  • 数据库验证:所有候选基因经数据库验证,确认为有效的家族成员(图S1)。

  • 染色体分布:15个基因不均勻地分布于蒺藜苜蓿的6条染色体上,其中4号染色体上存在一个包含6个基因的密集簇,而5号和6号染色体上无分布(图S2;表S1)。

  • 蛋白表征:编码蛋白的理化性质差异显著,分子量范围为25.36 kDa至75.52 kDa,等电点范围从酸性(4.88)到碱性(8.70)(表S2)。

  • 亲疏水性:所有MtARR蛋白的亲水性平均值(GRAVY)均为负值,表明其为耐脱水蛋白。

  • 亚细胞定位:预测所有15个MtARR蛋白均定位于细胞核内(表S2)。

通过结合基于AtARRs序列相似性的双向最佳匹配法、保守结构域鉴定和HMM模型筛选三种互补策略,在蒺藜苜蓿中鉴定出15个推定的B型MtARRs基因,并通过数据库验证确认为有效的家族成员,其数量与其他植物物种如紫花苜蓿(16个)和水稻(13个)相近(图S1)。这15个基因根据其染色体位置顺序命名为MtARR1MtARR15,它们不均匀地分布在蒺藜苜蓿的6条染色体上,且基因数量与染色体长度不相关(图S2;表S1)。蛋白理化性质分析显示,其编码序列(CDS)长度和蛋白大小差异显著,分子量介于25.36 kDa至75.52 kDa之间,等电点(pIs)从酸性到碱性均有分布。所有MtARR蛋白的GRAVY值均为负,表明其为耐脱水蛋白,且均被预测定位于细胞核(表S2)。

3.2 B型MtARRs的系统发育进化分析与多序列比对

  • 进化分析:构建了包含蒺藜苜蓿、紫花苜蓿、拟南芥等六个物种的系统发育树(图1;表S2)。

  • 亚族分类:根据拟南芥的功能分类,15个MtARR成员被划分到四个主要分支中的两个,大部分属于分支I,MtARR8/9属于分支III,而分支II和IV中无MtARRs分布。

  • 同源关系MtARRs与其在另一豆科植物(紫花苜蓿)和单子叶植物中的同源蛋白关系比与拟南芥的更近。

  • 序列相似性MtARRAtARR蛋白序列的相似性分析显示,部分潜在直系同源对具有较高的一致性,如AtARR1MtARR10的相似性为64.82%(图S3)。

  • 结构域保守:多序列比对显示,所有成员均含有高度保守的N端响应调控(REC)结构域和C端MYB样DNA结合结构域(图2)。

  • 序列变异:连接功能结构域的接头区以及N端和C端区域在序列和长度上表现出显著的变异性。

为探究B型ARRs的进化关系,构建了包含蒺藜苜蓿(15个MtARRs)、紫花苜蓿(16个MsARRs)、多年生黑麦草(12个LpARRs)、玉米(12个ZmARRs)、水稻(7个OsARRs)和拟南芥(12个AtARRs)全长蛋白序列的系统发育树(图1;表S2)。根据B型AtARR基因家族的功能分类,该树状拓扑将蛋白分为四个主要分支,其中MtARR成员聚类于其中的两个分支,大部分属于分支I,MtARR8/9属于分支III,而分支II和IV中则没有MtARRs分布。通常,MtARRs与其在另一豆科植物(紫花苜蓿)和单子叶植物物种中的同源蛋白亲缘关系比与拟南芥的更近。此外,序列相似性矩阵分析揭示了MtARRAtARR蛋白序列之间不同程度的一致性,其中一些潜在的直系同源对显示出较高的相似性,例如AtARR1MtARR10之间的相似性为64.82%(图S3)。

图1. 跨多个植物物种的B型ARR蛋白的种间系统发育分析和理化性质表征。MtARRs的系统发育树是使用MEGA v7.0软件通过最大似然法(ML)构建的,并进行了1000次自举重复,包括来自蒺藜苜蓿、紫花苜蓿、拟南芥、玉米、水稻和多年生黑麦草的B型ARRs。中央蓝色背景表示MtARRs的成员,不同颜色的分支代表不同的B型ARRs亚家族,ARR的ID根据先前的研究命名。最外圈表示家族分类,不同的亚家族显示不同颜色的聚类分支。不同颜色的方形网格表示不同成员的理化性质和亚细胞定位位置。底部表格显示了重复基因的Ka/Ks值。

对15个家族成员的全长氨基酸序列进行系统性结构特征分析,结果显示,尽管它们的总长度差异显著,但所有成员均包含B型ARRs两个特征结构域:一个高度保守的N端响应调控(REC)结构域和一个C端MYB样DNA结合结构域(图2)。此外,在几乎所有MtARRs中,C端MYB结构域附近都鉴定出一个高度保守的卷曲螺旋结构。对保守区域的深入分析表明,REC结构域内对磷酸中继至关重要的关键氨基酸残基,如天冬氨酸(D)磷酸化位点和负责稳定磷酸化状态的赖氨酸(K)残基,表现出高度的保守性。与这些功能域的高度保守形成鲜明对比的是,连接它们的接头区域以及N端和C端区域在序列和长度上均显示出显著的变异性。这种以保守功能域散布于可变区域为特征的结构组织表明,B型MtARR蛋白家族可能通过序列分化进化出了功能特异性,同时保留了其核心的信号转导和转录调控功能。

图2. B型MtARRs蛋白的多序列比对。 最保守的结构域用相同颜色和更高的一致性标记。α螺旋显示为黑色螺旋。延伸链显示为黑色箭头。“η”代表无规卷曲,“TT”代表β转角。

3.3 B型MtARRs的保守基序、结构域构架和基因结构

  • 基序分析:在MtARR蛋白中鉴定出8个不同的保守基序,其中基序1、2、5共同对应REC结构域,而基序3和4对应MYB样DNA结合结构域(图3 A, B)。

  • 结构域构架:所有15个MtARRs均包含典型的B型ARR结构,即一个N端响应调控(REC)结构域(PF00072)和一个C端MYB样DNA结合结构域(PF00249)(图3 C)。

  • 基因结构MtARR家族的内含子数量和长度表现出相当大的多样性,而同一系统发育分支内的基因则表现出非常相似的外显子-内含子模式(图3 D)。

  • 基序保守性:序列标识图显示,构成这些基序的氨基酸残基在特定位置高度保守(图3 E)。

对15个B型MtARRs保守基序结构域构架基因结构进行了分析(图3)。共鉴定出8个不同的基序,其中基序1、2和5共同对应于接收器REC结构域,而基序3和4对应于MYB样DNA结合结构域。这些基序的分布在同一系统发育分支的成员中高度一致,但在不同分支间则显示出显著差异(图3 A, B)。此外,所有15个MtARRs均包含典型的B型ARR结构,即一个N端响应调控(REC)结构域(PF00072)和一个C端MYB样DNA结合结构域(PF00249),证实了它们作为真正的B型ARR蛋白的身份(图3 C)。基因结构分析显示,内含子的数量和长度在MtARR家族中存在相当大的多样性,而同一亚族分支内的基因则表现出非常相似的外显子-内含子模式,进一步支持了进化分组的合理性(图3 D)。序列Logo显示,构成这些基序的氨基酸残基在特定位置高度保守(图3 E)。

图3. 蒺藜苜蓿中B型MtARRs家族成员的基序组成、保守结构域和基因结构分析。 (A) 使用邻接法和1000次自举重复构建的B型MtARRs种内系统发育关系,分支颜色区分不同进化枝。(B) 15个B型MtARRs的功能基序组成。8个基序由不同颜色的矩形框表示。(C) MtARRs中功能保守结构域PF00072和PF00249的组织结构,分别由深蓝色和深青绿色框表示。(D) MtARRs的内含子-外显子组织结构。内含子和外显子分别由断裂线和棕色框表示。(E) 已鉴定基序的序列标识图,图中彩色字母的大小代表相应氨基酸在该基序中的出现频率,字母越大,频率越高。

3.4 B型MtARRs的蛋白质二、三级结构预测分析

  • 二级结构MtARRs蛋白的二级结构主要由α-螺旋(15.81%–41.18%)和无规卷曲(39.37%–77.48%)组成,约占整个序列的80%(表S4)。

  • 三级结构:所有MtARR蛋白显示出相似的整体空间构象,与二级结构预测高度一致(图S4)。

  • 模型质量:基于SWISS-MODEL的同源建模结果显示,模型质量评估指标(GMQE为0.51–0.55,QMEANDisCo Global评分为0.36–0.42)表明MtARR蛋白三维结构模型质量较高(表S5)。

蛋白质结构分析显示MtARRs蛋白的二级结构具有鲜明特征,主要由占整个序列约80%的α-螺旋(15.81%–41.18%)和无规卷曲(39.37%–77.48%)构成(表S4)。进一步的三级结构预测表明,所有MtARR蛋白均显示出相似的整体空间构象,其α-螺旋和无规卷曲在三维结构中的分布特征与二级结构预测高度一致(图S4)。基于SWISS-MODEL的同源建模结果显示,各目标蛋白与其最佳模板的序列相似性在70% - 82%之间,表明进化同源性高。模型质量评估指标(GMQE在0.51–0.55范围内,QMEANDisCo Global评分稳定分布在0.36–0.42范围内)表明,所构建的MtARR蛋白三维结构模型质量较高(表S5)。

3.5 B型MtARRs的基因复制与共线性分析

  • 基因复制:种内共线性分析揭示了4对旁系同源基因(MtARR1/2MtARR6/7MtARR10/11MtARR12/13),表明基因复制是该家族扩张的关键因素(图4 A)。

  • 进化关系:种间共线性分析显示,蒺藜苜蓿与紫花苜蓿具有高度共线性,与拟南芥也存在大量直系同源对,而与水稻的共线性关系则很少,凸显了双子叶和单子叶植物之间的显著进化分歧(图4 B)。

  • 选择压力:旁系和直系同源基因对的非同义替换率(Ka)与同义替换率(Ks)之比(Ka/Ks)均显著小于1.0,表明B型ARR基因在这些物种中经历了强烈的纯化选择压力(图4 C;表S6)。

为了探究MtARR基因家族的扩增机制,对15个B型MtARR基因的染色体分布和共线性进行了分析。在蒺藜苜蓿内部,种内共线性分析揭示了四对旁系同源基因,表明基因复制事件(可能是串联、全基因组或片段复制)是该家族进化的驱动力(图4 A)。为了将这些发现置于更广泛的进化背景中,进行了蒺藜苜蓿与三种代表性植物(拟南芥、水稻和紫花苜蓿)的比较性种间共线性分析。结果显示,蒺藜苜蓿与紫花苜蓿之间存在高度共线性,与拟南芥也存在大量直系同源对,而与水稻的共线性关系则非常有限,这凸显了双子叶和单子叶植物谱系之间的显著进化分歧(图4 B)。对这些基因的选择压力评估显示,所有旁系和直系同源基因对的Ka/Ks比值均显著小于1.0,表明B型ARR基因在这些物种的进化过程中受到了强烈的纯化选择(图4 C;表S6)。

图4. B型ARR基因的染色体分布与共线性分析。 (A) 蒺藜苜蓿中B型ARRs的染色体定位和种内共线性的环形图。基因分布在六条染色体(Chr1 – Chr6)上,共线基因对由灰色线连接。红色基因名表示存在共线关系,而黑色名称代表非共线基因。内环代表每条染色体的基因密度梯度。(B) 蒺藜苜蓿与3种代表性植物(拟南芥、水稻和紫花苜蓿)之间B型ARRs的共线性分析。背景中的灰色线表示蒺藜苜蓿和其他植物基因组中的共线区块,而蓝色线则突出显示了同源的ARR基因对。(C) 四个物种中直系同源和旁系同源基因对的Ka/Ks值分布,显示了纯化选择压力(Ka/Ks < 1.0)。误差棒代表标准差,方框内的水平线表示中值。

3.6 B型MtARR启动子的顺式作用元件分析

  • 元件鉴定:在15个MtARR基因的启动子区域共鉴定出43类、348个独立的顺式作用元件(表S7)。

  • 功能分类:这些元件被分为三类:生长发育元件、激素响应元件和胁迫响应元件。

  • 元件丰度:与光响应(G-Box和Box4)、脱落酸响应(ABRE)和无氧响应(ARE)相关的元件最为丰富。

  • 分布特征:元件在启动子区域的分布不均匀,在转录起始位点上游的近端区域(约前500 bp)密度更高(图5 B)。

  • 调控复杂性:所有15个基因均包含三大功能类别的元件,且不同元件的组合和数量各异,如MtARR10拥有最丰富的元件类型和数量,暗示了复杂精密的调控网络(图5 A, C)。

为探究B型MtARR基因的潜在调控机制,对其转录起始位点上游2000 bp的启动子区域进行了分析(图5)。共鉴定出43种、总计348个顺式作用元件,这些元件可分为三大功能类别:(1) 生长发育元件,(2) 激素响应元件,(3) 胁迫响应元件(表S7)。其中,与光响应(G-Box、Box4)、脱落酸响应(ABRE)和无氧响应(ARE)相关的元件最为丰富。这些元件在启动子区域的分布不均匀,通常在转录起始位点上游的近端区域(约前500 bp)呈现更高的密度(图5 B)。每个基因的元件数量和类型差异显著,其中MtARR10拥有的元件数量最多(图5 A)。维恩图分析进一步揭示了调控功能的重叠与特异性,所有15个B型MtARR基因均包含三大功能类别的元件,表明它们在协调这些不同生物信号中发挥着整合作用(图5 C)。综上所述,B型MtARR基因启动子中顺式作用元件的多样化组成、数量和分布,暗示了一个复杂而精密的调控网络。

图5. 蒺藜苜蓿中B型ARRs基因家族顺式作用元件的综合分析。 (A) 每个MtARRs中顺式作用元件的数量和功能分类。图中展示了在每个MtARRs中鉴定出的43种顺式作用元件的分布;元件由不同颜色的方框表示。(B) 所有15个MtARR基因2000 bp启动子区域内顺式作用元件的定量分布,显示了位置偏好和聚类模式。综合图例用颜色编码显示了所有43种元件类型。(C) MtARRs的维恩图,展示了三大功能类别(生长/发育、激素信号和胁迫响应通路)中顺式调控元件的重叠和特异性,揭示了调控的复杂性和潜在的串扰。

3.7 B型MtARR基因的时空表达谱

  • 组织特异性:公共转录组数据显示,15个MtARR基因在六种发育组织中表现出显著不同的表达模式,如MtARR7在根中特异性高表达,MtARR10在花中高表达(图6 A)。

  • 胁迫响应:在干旱胁迫下,包括MtARR3/4/5/6/7/10在内的一组基因显著上调(图6 B)。

  • 激素响应MtARR7受细胞分裂素(CK)显著诱导,而MtARR4/5/7/10等一组基因则被茉莉酸甲酯(MeJA)强烈上调(图6 C)。

  • 表达验证:RT-qPCR结果验证了所选基因在不同组织中的广泛表达和时空表达差异,并根据表达模式将其分为三类(图7)。

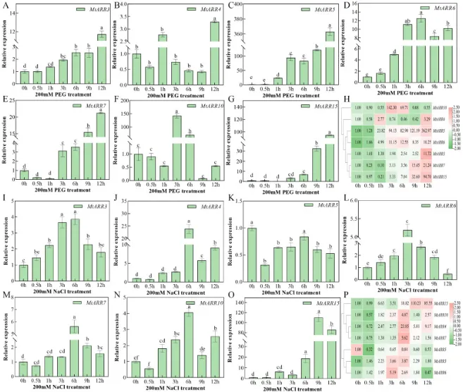
  • 胁迫表达动态:在干旱、盐和低温胁迫下,所选MtARRs基因的表达水平均表现出动态变化。值得注意的是,MtARR4MtARR10在干旱和盐胁迫下的表达趋势高度相似(图8;图S5)。

  • 激素表达动态:在多种激素(ETH、ABA、SA、MeJA、IAA、6-BA)处理后,MtARRs基因均表现出响应,但响应模式各异,暗示它们在不同激素信号转导通路中可能扮演不同角色(图S6)。

为阐明B型MtARR基因的潜在功能,利用公共转录组数据分析了它们在不同组织、非生物胁迫和激素处理下的表达谱,结果揭示了高度异质化的模式(图6,表S8&9)。在组织特异性表达方面MtARR7在根中表现出极高的表达,而MtARR10在花中高表达(图6 A)。在非生物胁迫条件下,一组基因(包括MtARR3/4/5/6/7/10)在干旱胁迫下显著上调(图6 B)。激素诱导的表达变化显示,MtARR7被细胞分裂素(CK)急剧诱导,而一组基因(包括MtARR4/5/7/10)则被茉莉酸甲酯(MeJA)强烈上调(图6 C)。

图6. MtARR基因在不同条件下的时空表达谱分析。 (A) 在六个发育阶段/组织中的组织特异性表达模式:芽、根瘤、叶片、花、根和豆荚。表达值经过log₂转换,并以蓝到红的色阶表示低到高表达水平的热图呈现。(B) 在非生物胁迫条件(4°C低温和干旱胁迫)下多个时间点(0小时、2小时、6小时、12小时)的时间表达动态。数据来源于蒺藜苜蓿基因表达图谱,显示了家族成员间的差异性胁迫响应。(C) 经六种植物激素处理后的激素诱导表达变化:细胞分裂素(CK)、茉莉酸甲酯(MeJA)、赤霉酸(GA)、乙烯(ET)、吲哚-3-乙酸(IAA)和6-苄基氨基嘌呤(6-BA),在不同时间间隔进行。表达数据经过归一化和聚类,以揭示激素特异性响应模式和潜在的调控网络。

RT-qRCR进一步验证了MtARR3/4/5/6/7/10/15在蒺藜苜蓿不同组织中的表达模式,结果表明这些基因广泛表达但具有不同的时空表达模式,并可大致分为三类(图7 A, B)。

图7. 选定的MtARR基因(MtARR3MtARR4MtARR5MtARR6MtARR7MtARR10MtARR15)在九个不同蒺藜苜蓿器官(根、茎、叶、花、SP、AB、ML和种子)中的组织特异性表达验证和可视化。 SP,种皮;AB,顶芽;ML,成熟叶。每个组织中的颜色强度对应于通过qRT-PCR分析确定的相对表达水平,并带有组织特异性注释:顶芽、花、叶、茎、成熟叶、豆荚、荚果皮、根和种子。(B) qRT-PCR验证的表达数据的层次聚类热图,显示了基于组织特异性模式的三个不同表达组。

在胁迫处理下,MtARR3/5/7/15的表达水平在干旱胁迫下普遍上调。在盐胁迫下,MtARR4MtARR10的表达急剧增加后下降,随后在后期再次上升,且两者在干旱和盐胁迫下的表达趋势高度相似(图8)。在低温胁迫下,MtARRs基因的表达整体呈现先降后升再回落的趋势(图S5)。在多种激素处理后,MtARRs的表达也发生了显著变化,例如MtARR4/6/10在ABA诱导下显著增加,表明它们可能在ABA信号转导中发挥重要作用(图S6)。

图8. MtARR基因在非生物胁迫条件下的时间表达谱。 七个代表性MtARR基因(MtARR3/4/5/6/7/10/15)在(A-G) 200 mM聚乙二醇(PEG)处理诱导的干旱胁迫和(I-O) 200 mM NaCl处理诱导的盐胁迫下,在12小时时间进程(0、0.5、1、3、6、9和12小时)中的定量RT-PCR分析。相对表达水平使用2-ΔΔCt方法计算,以MtActin为参考基因,并对0小时对照进行归一化。误差棒代表三个生物学重复的标准误。条形图上方的不同字母表示统计学上的显著差异(p < 0.05,单因素方差分析后进行邓肯多重范围检验)。(H, P) 分别显示了七个MtARR基因在干旱和盐胁迫条件下的共表达关系的相关性矩阵。颜色强度和数值代表皮尔逊相关系数,红色表示正相关,绿色表示负相关。

3.8 亚细胞定位与转录活性分析

  • 亚细胞定位:生物信息学预测和实验验证均表明,MtARR7MtARR10MtARR15均为核定位蛋白,这与其作为转录调控因子的潜在作用一致(图9 A)。

  • 转录自激活:利用GAL4系统的酵母实验证实,MtARR10蛋白具有很强的转录自激活活性(图9 C)。

  • 激活域分析MtARR10的全长、N端和C端片段均能激活报告基因,表明其N端和C端区域内均可能存在独立的激活域(图9 B, C)。

为了确定MtARR7/10/15蛋白的亚细胞定位,首先通过生物信息学工具预测其为核蛋白。随后,通过将其全长编码序列与绿色荧光蛋白(GFP)融合,并在植物细胞中瞬时表达,实验性地验证了这一预测。荧光显微镜观察显示,35S::MtARR7-YFP、35S::MtARR10-YFP和35S::MtARR15-YFP的绿色荧光信号均专一地定位于细胞核内(图9 A)。为确定MtARR10蛋白是否具有转录自激活活性,进行了基于酵母GAL4系统的实验。结果显示,表达全长MtARR10及其独立的N端和C端结构域的酵母均能在报告培养基上变蓝,表明MtARR10具有很强的转录自激活活性,并且该功能可能由其N端和C端区域内的不同激活域介导(图9 B, C)。

图9. 亚细胞定位与转录激活。 (A) 3个MtARRs蛋白在烟草叶片中的亚细胞定位。该图显示了明场、叶绿素自发荧光、GFP荧光以及合并通道的荧光显微镜图像(从左到右)。比例尺代表20 μm。(B) pGBKT7-MtARR10重组载体的构建示意图,显示了MtARR10基因在Smal I限制性位点后的插入情况。(C) MtARR10蛋白在酵母细胞中的转录激活分析。将不同载体转化到酵母中,并在色氨酸缺陷培养基(SD/−Trp)和含有X-α-gal的选择性培养基(SD/−Trp/−X-α-gal)上生长。载体如下:pGBKT7-MtNAC47,阳性对照(+);pGBKT7-Lam,阴性对照(−);pGBKT7,空载体;pGBKT7-MtARR10,全长蛋白;pGBKT7-MtARR10-N,N端结构域(氨基酸1–1023);pGBKT7-MtARR10-C,C端结构域(氨基酸1024–2046)。

3.9 通过酵母过表达系统观察胁迫响应

  • 功能验证:通过在酿酒酵母中异源表达MtARR基因,评估其在非生物胁迫响应中的作用。

  • 正向调控:转化了pYES2-MtARR7/10的酵母菌株在盐胁迫(高浓度NaCl)和渗透胁迫(高浓度PEG6000)下,均表现出比空载体对照显著增强的耐受性(图10)。

  • 负向调控:相比之下,表达pYES2-MtARR15的菌株在盐胁迫下耐受性没有改善,而在渗透胁迫下则表现出超敏表型,生长受到显著抑制(图10)。

  • 功能分化:这些结果有力地表明,这些MtARR基因在响应非生物胁迫方面存在功能分化,MtARR7MtARR10作为盐和渗透胁迫耐受性的正调控因子,而MtARR15则作为负调控因子。

为了功能性地验证MtARR基因在非生物胁迫响应中的作用,评估了在盐和渗透胁迫条件下转化了pYES2-NTB(空载体对照)、pYES2-MtARR7/10/15的酿酒酵母INVSC1菌株的生长特性。在盐胁迫下,转化了pYES2-MtARR7/10的酵母菌株表现出显著增强的耐受性。相反,表达pYES2-MtARR15的菌株则未显示出盐耐受性的改善(图10 A)。在由PEG6000模拟的渗透胁迫下,携带pYES2-MtARR7/10的菌株表现出优于对照的生长性能。相反,pYES2-MtARR15的表达导致了超敏表型,其生长受到显著抑制(图10 B)。这些结果强烈暗示了这些MtARR基因在响应非生物胁迫方面存在功能分化:MtARR7MtARR10作为盐和渗透胁迫耐受性的正调控因子,而MtARR15则似乎作为负调控因子。

图10. 通过酵母异源表达对MtARRs胁迫耐受性的功能验证。 转化了pYES2-NTB(空载体对照)或pYES2-MtARRsMtARR7MtARR10MtARR15)的酿酒酵母INVSC1菌株在(A)盐胁迫条件(0–5 M NaCl)和(B)渗透胁迫条件(0–45% PEG6000)下的生长性能。酵母培养物经过系列稀释(10⁻⁴、10⁻⁵、10⁻⁶)后,点样于补充了半乳糖以诱导蛋白表达的SD/-Ura选择性培养基上。

04

研究创新性

  • 首次对蒺藜苜蓿B型ARR基因家族的系统性鉴定与厘清本研究区别于以往可能存在的零散报道或不一致的鉴定结果,采用双向BLASTP、HMM模型和保守结构域验证相结合的三重严谨方法,在最新的蒺藜苜蓿基因组(MtrunA17r5.0-ANR)中,首次准确、完整地鉴定出15个B型MtARR家族成员。研究不仅明确了其成员数量,还精确绘制了它们在染色体上的分布图谱,并对其理化性质、基因结构、蛋白构象等进行了全面的生物信息学表征,为后续研究奠定了坚实的基础。

  • 首次揭示关键MtARR成员在非生物胁迫响应中的功能分化本研究最具突破性的创新之一在于通过实验首次揭示了不同MtARR成员在逆境胁迫中的功能异质性。通过酵母异源表达系统,研究证实了MtARR7MtARR10是盐胁迫和渗透胁迫耐受性的正调控因子,能够显著增强酵母的存活能力。与此形成鲜明对比的是,MtARR15则被鉴定为负调控因子,其表达反而削弱了酵母的胁迫耐受性。这一发现首次为蒺藜苜蓿中的type-B ARRs赋予了具体的生物学功能,并有力证明了该家族内部存在着功能分化,而非简单的功能冗余。

  • 首次对MtARR基因家族的调控网络进行了全面预测本研究首次对全部15个MtARR基因启动子区域的顺式作用元件进行了系统挖掘和分类,鉴定出大量与生长发育、激素响应(特别是ABA和MeJA)以及非生物胁迫(干旱、低温、缺氧等)相关的元件。通过对这些元件的组成、数量和分布进行综合分析,研究首次描绘出了一个复杂的、多层次的转录调控网络蓝图,并特别指出了MtARR10等基因可能作为整合多种信号通路的核心节点。这为理解MtARRs如何响应内外信号、实现差异化表达提供了重要的理论预测。

  • 首次系统阐明了MtARR基因家族在蒺藜苜蓿中的进化历史通过深入的种内和种间共线性分析,本研究首次系统地揭示了蒺藜苜蓿中B型ARR基因家族的扩增机制,明确指出WGD事件是其家族扩张的主要驱动力。同时,通过计算Ka/Ks比值,研究证实了该家族在进化过程中受到了强烈的纯化选择压力,表明其核心功能在长期进化中是高度保守和重要的。这为从进化角度理解MtARR基因的功能和重要性提供了首次的、直接的证据。提出进化适应假说,研究推测,这种家族的扩张可能与豆科植物特有的、受细胞分裂素精密调控的生物学过程(如根瘤共生固氮)有关。这为理解该基因家族在豆科植物中的进化意义提供了新的思路。

05

关键点

  • 鉴定了15个type-B MtARR基因,分布于紫花苜蓿基因组的六条染色体上。 
  • 系统分析了MtARR基因的进化关系,发现这些基因主要集中在Clade I和Clade III,未发现Clade II和Clade IV的成员。 
  • MtARR基因的启动子区域含有与生长发育、激素响应及环境胁迫相关的多种顺式作用元件。 
  • 通过转录组数据分析,发现MtARR基因在不同组织及胁迫条件下的表达模式高度异质化,表明其可能具有独特的功能。 
  • MtARR7和MtARR10基因的异源过表达增强了酵母的盐胁迫和渗透胁迫耐受性,而MtARR15表现为负调控作用。 
  • MtARR10蛋白具有转录自激活活性,其N端和C端均参与该功能。 
  • B型ARRs基因家族成员在细胞分裂、分化及器官发生等细胞分子调控中具有重要作用。 
  • 研究表明,MtARR10在ABA和渗透胁迫条件下的表达显著上调,暗示其可能通过ABA信号通路介导干旱胁迫响应。 
  • 实验表明,MtARR7、MtARR10和MtARR15均定位于细胞核内,支持其作为转录因子的功能。 
  • 研究建议通过CRISPR/Cas9基因编辑技术对MtARR7、MtARR10和MtARR15进行同源验证,以进一步明确其功能。

审核|林蘖亙

阅读科研文献,荟萃前沿进展

欢迎关注、转发、投稿、点赞

最新文章

随机文章

基本 文件 流程 错误 SQL 调试
  1. 请求信息 : 2026-05-20 07:10:54 HTTP/2.0 GET : https://h.mffb.com.cn/a/460633.html
  2. 运行时间 : 0.229103s [ 吞吐率:4.36req/s ] 内存消耗:4,725.71kb 文件加载:140
  3. 缓存信息 : 0 reads,0 writes
  4. 会话信息 : SESSION_ID=cf178dc856867c824139063316d62de2
  1. /yingpanguazai/ssd/ssd1/www/h.mffb.com.cn/public/index.php ( 0.79 KB )
  2. /yingpanguazai/ssd/ssd1/www/h.mffb.com.cn/vendor/autoload.php ( 0.17 KB )
  3. /yingpanguazai/ssd/ssd1/www/h.mffb.com.cn/vendor/composer/autoload_real.php ( 2.49 KB )
  4. /yingpanguazai/ssd/ssd1/www/h.mffb.com.cn/vendor/composer/platform_check.php ( 0.90 KB )
  5. /yingpanguazai/ssd/ssd1/www/h.mffb.com.cn/vendor/composer/ClassLoader.php ( 14.03 KB )
  6. /yingpanguazai/ssd/ssd1/www/h.mffb.com.cn/vendor/composer/autoload_static.php ( 4.90 KB )
  7. /yingpanguazai/ssd/ssd1/www/h.mffb.com.cn/vendor/topthink/think-helper/src/helper.php ( 8.34 KB )
  8. /yingpanguazai/ssd/ssd1/www/h.mffb.com.cn/vendor/topthink/think-validate/src/helper.php ( 2.19 KB )
  9. /yingpanguazai/ssd/ssd1/www/h.mffb.com.cn/vendor/topthink/think-orm/src/helper.php ( 1.47 KB )
  10. /yingpanguazai/ssd/ssd1/www/h.mffb.com.cn/vendor/topthink/think-orm/stubs/load_stubs.php ( 0.16 KB )
  11. /yingpanguazai/ssd/ssd1/www/h.mffb.com.cn/vendor/topthink/framework/src/think/Exception.php ( 1.69 KB )
  12. /yingpanguazai/ssd/ssd1/www/h.mffb.com.cn/vendor/topthink/think-container/src/Facade.php ( 2.71 KB )
  13. /yingpanguazai/ssd/ssd1/www/h.mffb.com.cn/vendor/symfony/deprecation-contracts/function.php ( 0.99 KB )
  14. /yingpanguazai/ssd/ssd1/www/h.mffb.com.cn/vendor/symfony/polyfill-mbstring/bootstrap.php ( 8.26 KB )
  15. /yingpanguazai/ssd/ssd1/www/h.mffb.com.cn/vendor/symfony/polyfill-mbstring/bootstrap80.php ( 9.78 KB )
  16. /yingpanguazai/ssd/ssd1/www/h.mffb.com.cn/vendor/symfony/var-dumper/Resources/functions/dump.php ( 1.49 KB )
  17. /yingpanguazai/ssd/ssd1/www/h.mffb.com.cn/vendor/topthink/think-dumper/src/helper.php ( 0.18 KB )
  18. /yingpanguazai/ssd/ssd1/www/h.mffb.com.cn/vendor/symfony/var-dumper/VarDumper.php ( 4.30 KB )
  19. /yingpanguazai/ssd/ssd1/www/h.mffb.com.cn/vendor/topthink/framework/src/think/App.php ( 15.30 KB )
  20. /yingpanguazai/ssd/ssd1/www/h.mffb.com.cn/vendor/topthink/think-container/src/Container.php ( 15.76 KB )
  21. /yingpanguazai/ssd/ssd1/www/h.mffb.com.cn/vendor/psr/container/src/ContainerInterface.php ( 1.02 KB )
  22. /yingpanguazai/ssd/ssd1/www/h.mffb.com.cn/app/provider.php ( 0.19 KB )
  23. /yingpanguazai/ssd/ssd1/www/h.mffb.com.cn/vendor/topthink/framework/src/think/Http.php ( 6.04 KB )
  24. /yingpanguazai/ssd/ssd1/www/h.mffb.com.cn/vendor/topthink/think-helper/src/helper/Str.php ( 7.29 KB )
  25. /yingpanguazai/ssd/ssd1/www/h.mffb.com.cn/vendor/topthink/framework/src/think/Env.php ( 4.68 KB )
  26. /yingpanguazai/ssd/ssd1/www/h.mffb.com.cn/app/common.php ( 0.03 KB )
  27. /yingpanguazai/ssd/ssd1/www/h.mffb.com.cn/vendor/topthink/framework/src/helper.php ( 18.78 KB )
  28. /yingpanguazai/ssd/ssd1/www/h.mffb.com.cn/vendor/topthink/framework/src/think/Config.php ( 5.54 KB )
  29. /yingpanguazai/ssd/ssd1/www/h.mffb.com.cn/config/app.php ( 0.95 KB )
  30. /yingpanguazai/ssd/ssd1/www/h.mffb.com.cn/config/cache.php ( 0.78 KB )
  31. /yingpanguazai/ssd/ssd1/www/h.mffb.com.cn/config/console.php ( 0.23 KB )
  32. /yingpanguazai/ssd/ssd1/www/h.mffb.com.cn/config/cookie.php ( 0.56 KB )
  33. /yingpanguazai/ssd/ssd1/www/h.mffb.com.cn/config/database.php ( 2.48 KB )
  34. /yingpanguazai/ssd/ssd1/www/h.mffb.com.cn/vendor/topthink/framework/src/think/facade/Env.php ( 1.67 KB )
  35. /yingpanguazai/ssd/ssd1/www/h.mffb.com.cn/config/filesystem.php ( 0.61 KB )
  36. /yingpanguazai/ssd/ssd1/www/h.mffb.com.cn/config/lang.php ( 0.91 KB )
  37. /yingpanguazai/ssd/ssd1/www/h.mffb.com.cn/config/log.php ( 1.35 KB )
  38. /yingpanguazai/ssd/ssd1/www/h.mffb.com.cn/config/middleware.php ( 0.19 KB )
  39. /yingpanguazai/ssd/ssd1/www/h.mffb.com.cn/config/route.php ( 1.89 KB )
  40. /yingpanguazai/ssd/ssd1/www/h.mffb.com.cn/config/session.php ( 0.57 KB )
  41. /yingpanguazai/ssd/ssd1/www/h.mffb.com.cn/config/trace.php ( 0.34 KB )
  42. /yingpanguazai/ssd/ssd1/www/h.mffb.com.cn/config/view.php ( 0.82 KB )
  43. /yingpanguazai/ssd/ssd1/www/h.mffb.com.cn/app/event.php ( 0.25 KB )
  44. /yingpanguazai/ssd/ssd1/www/h.mffb.com.cn/vendor/topthink/framework/src/think/Event.php ( 7.67 KB )
  45. /yingpanguazai/ssd/ssd1/www/h.mffb.com.cn/app/service.php ( 0.13 KB )
  46. /yingpanguazai/ssd/ssd1/www/h.mffb.com.cn/app/AppService.php ( 0.26 KB )
  47. /yingpanguazai/ssd/ssd1/www/h.mffb.com.cn/vendor/topthink/framework/src/think/Service.php ( 1.64 KB )
  48. /yingpanguazai/ssd/ssd1/www/h.mffb.com.cn/vendor/topthink/framework/src/think/Lang.php ( 7.35 KB )
  49. /yingpanguazai/ssd/ssd1/www/h.mffb.com.cn/vendor/topthink/framework/src/lang/zh-cn.php ( 13.70 KB )
  50. /yingpanguazai/ssd/ssd1/www/h.mffb.com.cn/vendor/topthink/framework/src/think/initializer/Error.php ( 3.31 KB )
  51. /yingpanguazai/ssd/ssd1/www/h.mffb.com.cn/vendor/topthink/framework/src/think/initializer/RegisterService.php ( 1.33 KB )
  52. /yingpanguazai/ssd/ssd1/www/h.mffb.com.cn/vendor/services.php ( 0.14 KB )
  53. /yingpanguazai/ssd/ssd1/www/h.mffb.com.cn/vendor/topthink/framework/src/think/service/PaginatorService.php ( 1.52 KB )
  54. /yingpanguazai/ssd/ssd1/www/h.mffb.com.cn/vendor/topthink/framework/src/think/service/ValidateService.php ( 0.99 KB )
  55. /yingpanguazai/ssd/ssd1/www/h.mffb.com.cn/vendor/topthink/framework/src/think/service/ModelService.php ( 2.04 KB )
  56. /yingpanguazai/ssd/ssd1/www/h.mffb.com.cn/vendor/topthink/think-trace/src/Service.php ( 0.77 KB )
  57. /yingpanguazai/ssd/ssd1/www/h.mffb.com.cn/vendor/topthink/framework/src/think/Middleware.php ( 6.72 KB )
  58. /yingpanguazai/ssd/ssd1/www/h.mffb.com.cn/vendor/topthink/framework/src/think/initializer/BootService.php ( 0.77 KB )
  59. /yingpanguazai/ssd/ssd1/www/h.mffb.com.cn/vendor/topthink/think-orm/src/Paginator.php ( 11.86 KB )
  60. /yingpanguazai/ssd/ssd1/www/h.mffb.com.cn/vendor/topthink/think-validate/src/Validate.php ( 63.20 KB )
  61. /yingpanguazai/ssd/ssd1/www/h.mffb.com.cn/vendor/topthink/think-orm/src/Model.php ( 23.55 KB )
  62. /yingpanguazai/ssd/ssd1/www/h.mffb.com.cn/vendor/topthink/think-orm/src/model/concern/Attribute.php ( 21.05 KB )
  63. /yingpanguazai/ssd/ssd1/www/h.mffb.com.cn/vendor/topthink/think-orm/src/model/concern/AutoWriteData.php ( 4.21 KB )
  64. /yingpanguazai/ssd/ssd1/www/h.mffb.com.cn/vendor/topthink/think-orm/src/model/concern/Conversion.php ( 6.44 KB )
  65. /yingpanguazai/ssd/ssd1/www/h.mffb.com.cn/vendor/topthink/think-orm/src/model/concern/DbConnect.php ( 5.16 KB )
  66. /yingpanguazai/ssd/ssd1/www/h.mffb.com.cn/vendor/topthink/think-orm/src/model/concern/ModelEvent.php ( 2.33 KB )
  67. /yingpanguazai/ssd/ssd1/www/h.mffb.com.cn/vendor/topthink/think-orm/src/model/concern/RelationShip.php ( 28.29 KB )
  68. /yingpanguazai/ssd/ssd1/www/h.mffb.com.cn/vendor/topthink/think-helper/src/contract/Arrayable.php ( 0.09 KB )
  69. /yingpanguazai/ssd/ssd1/www/h.mffb.com.cn/vendor/topthink/think-helper/src/contract/Jsonable.php ( 0.13 KB )
  70. /yingpanguazai/ssd/ssd1/www/h.mffb.com.cn/vendor/topthink/think-orm/src/model/contract/Modelable.php ( 0.09 KB )
  71. /yingpanguazai/ssd/ssd1/www/h.mffb.com.cn/vendor/topthink/framework/src/think/Db.php ( 2.88 KB )
  72. /yingpanguazai/ssd/ssd1/www/h.mffb.com.cn/vendor/topthink/think-orm/src/DbManager.php ( 8.52 KB )
  73. /yingpanguazai/ssd/ssd1/www/h.mffb.com.cn/vendor/topthink/framework/src/think/Log.php ( 6.28 KB )
  74. /yingpanguazai/ssd/ssd1/www/h.mffb.com.cn/vendor/topthink/framework/src/think/Manager.php ( 3.92 KB )
  75. /yingpanguazai/ssd/ssd1/www/h.mffb.com.cn/vendor/psr/log/src/LoggerTrait.php ( 2.69 KB )
  76. /yingpanguazai/ssd/ssd1/www/h.mffb.com.cn/vendor/psr/log/src/LoggerInterface.php ( 2.71 KB )
  77. /yingpanguazai/ssd/ssd1/www/h.mffb.com.cn/vendor/topthink/framework/src/think/Cache.php ( 4.92 KB )
  78. /yingpanguazai/ssd/ssd1/www/h.mffb.com.cn/vendor/psr/simple-cache/src/CacheInterface.php ( 4.71 KB )
  79. /yingpanguazai/ssd/ssd1/www/h.mffb.com.cn/vendor/topthink/think-helper/src/helper/Arr.php ( 16.63 KB )
  80. /yingpanguazai/ssd/ssd1/www/h.mffb.com.cn/vendor/topthink/framework/src/think/cache/driver/File.php ( 7.84 KB )
  81. /yingpanguazai/ssd/ssd1/www/h.mffb.com.cn/vendor/topthink/framework/src/think/cache/Driver.php ( 9.03 KB )
  82. /yingpanguazai/ssd/ssd1/www/h.mffb.com.cn/vendor/topthink/framework/src/think/contract/CacheHandlerInterface.php ( 1.99 KB )
  83. /yingpanguazai/ssd/ssd1/www/h.mffb.com.cn/app/Request.php ( 0.09 KB )
  84. /yingpanguazai/ssd/ssd1/www/h.mffb.com.cn/vendor/topthink/framework/src/think/Request.php ( 55.78 KB )
  85. /yingpanguazai/ssd/ssd1/www/h.mffb.com.cn/app/middleware.php ( 0.25 KB )
  86. /yingpanguazai/ssd/ssd1/www/h.mffb.com.cn/vendor/topthink/framework/src/think/Pipeline.php ( 2.61 KB )
  87. /yingpanguazai/ssd/ssd1/www/h.mffb.com.cn/vendor/topthink/think-trace/src/TraceDebug.php ( 3.40 KB )
  88. /yingpanguazai/ssd/ssd1/www/h.mffb.com.cn/vendor/topthink/framework/src/think/middleware/SessionInit.php ( 1.94 KB )
  89. /yingpanguazai/ssd/ssd1/www/h.mffb.com.cn/vendor/topthink/framework/src/think/Session.php ( 1.80 KB )
  90. /yingpanguazai/ssd/ssd1/www/h.mffb.com.cn/vendor/topthink/framework/src/think/session/driver/File.php ( 6.27 KB )
  91. /yingpanguazai/ssd/ssd1/www/h.mffb.com.cn/vendor/topthink/framework/src/think/contract/SessionHandlerInterface.php ( 0.87 KB )
  92. /yingpanguazai/ssd/ssd1/www/h.mffb.com.cn/vendor/topthink/framework/src/think/session/Store.php ( 7.12 KB )
  93. /yingpanguazai/ssd/ssd1/www/h.mffb.com.cn/vendor/topthink/framework/src/think/Route.php ( 23.73 KB )
  94. /yingpanguazai/ssd/ssd1/www/h.mffb.com.cn/vendor/topthink/framework/src/think/route/RuleName.php ( 5.75 KB )
  95. /yingpanguazai/ssd/ssd1/www/h.mffb.com.cn/vendor/topthink/framework/src/think/route/Domain.php ( 2.53 KB )
  96. /yingpanguazai/ssd/ssd1/www/h.mffb.com.cn/vendor/topthink/framework/src/think/route/RuleGroup.php ( 22.43 KB )
  97. /yingpanguazai/ssd/ssd1/www/h.mffb.com.cn/vendor/topthink/framework/src/think/route/Rule.php ( 26.95 KB )
  98. /yingpanguazai/ssd/ssd1/www/h.mffb.com.cn/vendor/topthink/framework/src/think/route/RuleItem.php ( 9.78 KB )
  99. /yingpanguazai/ssd/ssd1/www/h.mffb.com.cn/route/app.php ( 1.72 KB )
  100. /yingpanguazai/ssd/ssd1/www/h.mffb.com.cn/vendor/topthink/framework/src/think/facade/Route.php ( 4.70 KB )
  101. /yingpanguazai/ssd/ssd1/www/h.mffb.com.cn/vendor/topthink/framework/src/think/route/dispatch/Controller.php ( 4.74 KB )
  102. /yingpanguazai/ssd/ssd1/www/h.mffb.com.cn/vendor/topthink/framework/src/think/route/Dispatch.php ( 10.44 KB )
  103. /yingpanguazai/ssd/ssd1/www/h.mffb.com.cn/app/controller/Index.php ( 4.81 KB )
  104. /yingpanguazai/ssd/ssd1/www/h.mffb.com.cn/app/BaseController.php ( 2.05 KB )
  105. /yingpanguazai/ssd/ssd1/www/h.mffb.com.cn/vendor/topthink/think-orm/src/facade/Db.php ( 0.93 KB )
  106. /yingpanguazai/ssd/ssd1/www/h.mffb.com.cn/vendor/topthink/think-orm/src/db/connector/Mysql.php ( 5.44 KB )
  107. /yingpanguazai/ssd/ssd1/www/h.mffb.com.cn/vendor/topthink/think-orm/src/db/PDOConnection.php ( 52.47 KB )
  108. /yingpanguazai/ssd/ssd1/www/h.mffb.com.cn/vendor/topthink/think-orm/src/db/Connection.php ( 8.39 KB )
  109. /yingpanguazai/ssd/ssd1/www/h.mffb.com.cn/vendor/topthink/think-orm/src/db/ConnectionInterface.php ( 4.57 KB )
  110. /yingpanguazai/ssd/ssd1/www/h.mffb.com.cn/vendor/topthink/think-orm/src/db/builder/Mysql.php ( 16.58 KB )
  111. /yingpanguazai/ssd/ssd1/www/h.mffb.com.cn/vendor/topthink/think-orm/src/db/Builder.php ( 24.06 KB )
  112. /yingpanguazai/ssd/ssd1/www/h.mffb.com.cn/vendor/topthink/think-orm/src/db/BaseBuilder.php ( 27.50 KB )
  113. /yingpanguazai/ssd/ssd1/www/h.mffb.com.cn/vendor/topthink/think-orm/src/db/Query.php ( 15.71 KB )
  114. /yingpanguazai/ssd/ssd1/www/h.mffb.com.cn/vendor/topthink/think-orm/src/db/BaseQuery.php ( 45.13 KB )
  115. /yingpanguazai/ssd/ssd1/www/h.mffb.com.cn/vendor/topthink/think-orm/src/db/concern/TimeFieldQuery.php ( 7.43 KB )
  116. /yingpanguazai/ssd/ssd1/www/h.mffb.com.cn/vendor/topthink/think-orm/src/db/concern/AggregateQuery.php ( 3.26 KB )
  117. /yingpanguazai/ssd/ssd1/www/h.mffb.com.cn/vendor/topthink/think-orm/src/db/concern/ModelRelationQuery.php ( 20.07 KB )
  118. /yingpanguazai/ssd/ssd1/www/h.mffb.com.cn/vendor/topthink/think-orm/src/db/concern/ParamsBind.php ( 3.66 KB )
  119. /yingpanguazai/ssd/ssd1/www/h.mffb.com.cn/vendor/topthink/think-orm/src/db/concern/ResultOperation.php ( 7.01 KB )
  120. /yingpanguazai/ssd/ssd1/www/h.mffb.com.cn/vendor/topthink/think-orm/src/db/concern/WhereQuery.php ( 19.37 KB )
  121. /yingpanguazai/ssd/ssd1/www/h.mffb.com.cn/vendor/topthink/think-orm/src/db/concern/JoinAndViewQuery.php ( 7.11 KB )
  122. /yingpanguazai/ssd/ssd1/www/h.mffb.com.cn/vendor/topthink/think-orm/src/db/concern/TableFieldInfo.php ( 2.63 KB )
  123. /yingpanguazai/ssd/ssd1/www/h.mffb.com.cn/vendor/topthink/think-orm/src/db/concern/Transaction.php ( 2.77 KB )
  124. /yingpanguazai/ssd/ssd1/www/h.mffb.com.cn/vendor/topthink/framework/src/think/log/driver/File.php ( 5.96 KB )
  125. /yingpanguazai/ssd/ssd1/www/h.mffb.com.cn/vendor/topthink/framework/src/think/contract/LogHandlerInterface.php ( 0.86 KB )
  126. /yingpanguazai/ssd/ssd1/www/h.mffb.com.cn/vendor/topthink/framework/src/think/log/Channel.php ( 3.89 KB )
  127. /yingpanguazai/ssd/ssd1/www/h.mffb.com.cn/vendor/topthink/framework/src/think/event/LogRecord.php ( 1.02 KB )
  128. /yingpanguazai/ssd/ssd1/www/h.mffb.com.cn/vendor/topthink/think-helper/src/Collection.php ( 16.47 KB )
  129. /yingpanguazai/ssd/ssd1/www/h.mffb.com.cn/vendor/topthink/framework/src/think/facade/View.php ( 1.70 KB )
  130. /yingpanguazai/ssd/ssd1/www/h.mffb.com.cn/vendor/topthink/framework/src/think/View.php ( 4.39 KB )
  131. /yingpanguazai/ssd/ssd1/www/h.mffb.com.cn/vendor/topthink/framework/src/think/Response.php ( 8.81 KB )
  132. /yingpanguazai/ssd/ssd1/www/h.mffb.com.cn/vendor/topthink/framework/src/think/response/View.php ( 3.29 KB )
  133. /yingpanguazai/ssd/ssd1/www/h.mffb.com.cn/vendor/topthink/framework/src/think/Cookie.php ( 6.06 KB )
  134. /yingpanguazai/ssd/ssd1/www/h.mffb.com.cn/vendor/topthink/think-view/src/Think.php ( 8.38 KB )
  135. /yingpanguazai/ssd/ssd1/www/h.mffb.com.cn/vendor/topthink/framework/src/think/contract/TemplateHandlerInterface.php ( 1.60 KB )
  136. /yingpanguazai/ssd/ssd1/www/h.mffb.com.cn/vendor/topthink/think-template/src/Template.php ( 46.61 KB )
  137. /yingpanguazai/ssd/ssd1/www/h.mffb.com.cn/vendor/topthink/think-template/src/template/driver/File.php ( 2.41 KB )
  138. /yingpanguazai/ssd/ssd1/www/h.mffb.com.cn/vendor/topthink/think-template/src/template/contract/DriverInterface.php ( 0.86 KB )
  139. /yingpanguazai/ssd/ssd1/www/h.mffb.com.cn/runtime/temp/32b793ebdcbdb96aeb8bb24c123b0bef.php ( 11.98 KB )
  140. /yingpanguazai/ssd/ssd1/www/h.mffb.com.cn/vendor/topthink/think-trace/src/Html.php ( 4.42 KB )
  1. CONNECT:[ UseTime:0.000986s ] mysql:host=127.0.0.1;port=3306;dbname=h_mffb;charset=utf8mb4
  2. SHOW FULL COLUMNS FROM `fenlei` [ RunTime:0.001374s ]
  3. SELECT * FROM `fenlei` WHERE `fid` = 0 [ RunTime:0.000676s ]
  4. SELECT * FROM `fenlei` WHERE `fid` = 63 [ RunTime:0.000709s ]
  5. SHOW FULL COLUMNS FROM `set` [ RunTime:0.001477s ]
  6. SELECT * FROM `set` [ RunTime:0.000597s ]
  7. SHOW FULL COLUMNS FROM `article` [ RunTime:0.001504s ]
  8. SELECT * FROM `article` WHERE `id` = 460633 LIMIT 1 [ RunTime:0.001257s ]
  9. UPDATE `article` SET `lasttime` = 1779232254 WHERE `id` = 460633 [ RunTime:0.039670s ]
  10. SELECT * FROM `fenlei` WHERE `id` = 66 LIMIT 1 [ RunTime:0.007279s ]
  11. SELECT * FROM `article` WHERE `id` < 460633 ORDER BY `id` DESC LIMIT 1 [ RunTime:0.004007s ]
  12. SELECT * FROM `article` WHERE `id` > 460633 ORDER BY `id` ASC LIMIT 1 [ RunTime:0.008425s ]
  13. SELECT * FROM `article` WHERE `id` < 460633 ORDER BY `id` DESC LIMIT 10 [ RunTime:0.001570s ]
  14. SELECT * FROM `article` WHERE `id` < 460633 ORDER BY `id` DESC LIMIT 10,10 [ RunTime:0.002703s ]
  15. SELECT * FROM `article` WHERE `id` < 460633 ORDER BY `id` DESC LIMIT 20,10 [ RunTime:0.002679s ]
0.233135s