
【摘要】
气候变化正在加剧干旱风险,但尚不清楚哪些地区在未来最脆弱。在此,本研究利用气候再分析和共享社会经济路径下的模型模拟,研究热带和北半球温带地区农业干旱的新兴热点。本研究考虑了生长季开始时的土壤水分以及生长季期间的变率,通过将气候变化与陆表水分平衡联系起来,对蒸散发的控制因素进行分类,包括一个新定义的由植物从根区提取水分所控制的状态。本研究发现,欧洲大部分地区、南部非洲、南美洲北部和北美西部是农业干旱的新兴热点,观测到的干旱机制与未来预测一致。即使在降水预测存在分歧的地区,也能识别出干旱趋势。通过关注生长季,捕捉到了年度指标所忽视的热点,并表明干旱频率的增加伴随着向更严重、更强烈事件的转变。这些发现对粮食安全具有重要影响,并突显出不仅在全球南部,而且在风险已经显现的温带地区,都需要采取抗旱适应措施。
【研究背景】
尽管预期人为气候变化下全球降水将增加,但在许多地区,土壤水分预计将下降,形成新的农业干旱热点。第六阶段耦合模式比较计划集合的全球分析表明,即使在年降水预计增加的地区,土壤水分减少也被预测出来,且与气候变化相关的信号将在2060年前可被检测。土壤水分反映局地陆面水分平衡,因此受到降水、径流和蒸发的气候驱动因素(太阳辐射、温度、湿度和风速)以及陆面和植被过程的影响。因此,变率受到陆面状况和区域气候趋势的调节,这些因素影响着蒸散发、降水截获和陆-气耦合。在长期时间尺度上,变暖增加了大气水分需求,导致蒸散发速率增加和目前水分充足地区的土壤水分下降。在年代际到百年时间尺度上,蒸发通量受到植被对二氧化碳增加和变暖响应的影响,受到冬季积雪变化的影响,以及土地利用变化的影响。这些水文气候相互作用的复杂性给厘清驱动区域土壤水分趋势的因素带来了挑战。此外,尽管农业干旱与土壤水分亏缺相关,但两者并不等同。由于大多数作物并非全年生长,有影响的农业干旱应定义为局地生长季期间的根区土壤水分亏缺——即一年生作物生长最好的季节。尽管关于陆面水分平衡已有大量研究,但农业干旱作为季节性现象的概念,受到生长季气象异常和前期条件的影响,受到的关注有限——以往大多数研究调查的是月尺度或年尺度的土壤水分下降。然而,土壤水分异常具有时间持续性,这意味着季节性干旱风险受到生长季开始时土壤水分水平和陆面水分平衡的长期变化,以及生长季期间降水、蒸发和径流变率的影响。
热带和温带的生长季有所不同。在温带地区,植物生长受温度和太阳辐射控制,生长季在春末夏初达到高峰,此时太阳辐射最高——即北半球的5月至9月。在热带地区,降水的季节变化更为明显,太阳辐射和温度全年较高,生长季与局地湿季一致。本研究的目标是识别热带和北半球温带地区农业干旱的新兴热点。采用机制性方法,关注气候趋势与支撑季节性陆面水分平衡变率的生物物理因素之间的交集。通过表征局地定义生长季期间土壤水分变率的驱动因素,在以往工作的基础上推进,将陆面水分平衡框架表述为控制蒸散发的因素的空间和时间变化。这种基于过程的方法使本研究能够将全球气候模式的土壤水分预测与区域农业干旱风险的演变联系起来,揭示为什么一些地区正迅速成为农业干旱热点,而其他地区则不然。
【研究方法】
1、模型和数据
本研究分析了来自CMIP6的17个模式集合。使用了每个模式的第一个集合成员。所选模式涵盖了各种陆面模式、分辨率和土壤厚度。模式的主要选择标准是在历史时期和SSP5-8.5路径下所有所需变量的可用性。用于其他SSP路径(SSP1-2.6、SSP3-7.0和SSP2-4.5)的图使用了较小的模式子集。所需变量涵盖了降水、1m深度根区土壤湿度、地表实际蒸散发、气温、相对湿度及短波辐射等多项核心水文气象变量。
CMIP6数据分析了历史模拟(从1940年开始),与其他SSP路径的2015-2100年输出拼接。作为基于观测的基准,本研究使用ERA5再分析,数据以月分辨率下载,然后插值到五日分辨率以分离湿季和干季。所有数据使用双线性插值重新网格化到共同的144×96水平网格。
2、生长季的识别
为识别生长季,数据按纬度分为40°S-40°N和40°N-90°N。对于北半球温带,生长季在任何地方都定义为5月1日至9月30日,其余年份称为北半球非生长季。对于热带,假设生长季与当地雨季一致,未考虑热胁迫导致的作物物候变化,但需独立框架研究。采用基于累积降水异常的客观算法识别各地雨季起止时间——计算次月降水相对于年平均的异常值,累积后形成曲线,其最小值对应雨季开始(干季结束),最大值对应雨季结束(干季开始)。
在本文中,进行了以下调整和简化:该方法已调整为适用于月数据,插值到五日尺度;不尝试去除湿润地区或降水季节性弱的地区;对于有两个季节的地区,算法挑选出主雨季。就本研究而言,主雨季被视为生长季,主雨季以外的时期被视为干季或非生长季。
生长季为每个模式/再分析产品独立识别生长季日期,考虑雨季时间趋势采用滑动10年窗口算法。集合平均计算是先对各模式湿季/干季分别平均,再生成集合结果。研究发现生长季土壤湿度变化与年土壤湿度变化存在显著差异,尤其在北半球温带地区。若仅用年尺度指标评估农业干旱,将严重低估实际风险——这凸显了以生长季为框架分析农业干旱的必要性。
3、蒸散状态和方法的进一步细节
为识别状态,本研究使用以下变量:土壤湿度(季节累积土壤湿度插值到1米深度,基于CMIP6变量mrsol)、实际蒸散发(总实际蒸散发,CMIP6变量evspsbl)和短波辐射(地表短波辐射通量,CMIP6变量rsds)。其中,状态是基于根区土壤湿度累积的时间序列(即季节结束和开始时的土壤湿度差异)确定的,而非基于绝对值。各状态的标准如下:
1)能量控制:当实际蒸散发与土壤湿度之间存在负的年际相关(<-0.1),同时实际蒸散发与短波辐射之间存在正相关(>0.1)时,识别为该状态;2)地表和深层水分控制:当实际蒸散发与土壤湿度之间存在正的年际相关(>0.1),且实际蒸散发与短波辐射之间存在弱或负相关(<0.1)时,识别为该状态;3)提取控制:当实际蒸散发与土壤湿度之间存在负的年际相关(<-0.1),同时实际蒸散发与短波辐射之间存在弱或负相关(<0.1)时,识别为该状态;
不符合蒸散状态分配标准的点被标记为“未定义”。
4、干旱指标
干旱发生定义为网格点平均生长季土壤湿度低于指定阈值的事件数量,阈值定义为距平均值的标准差数(Z分数);干旱强度变化定义为最小土壤湿度(以Z分数表示)的百分比变化;干旱持续时间变化定义为干旱期指数的百分比变化:连续至少12个干旱五日(2个月)的五日数,干旱五日定义为Z分数<-0.5。
指标比较的是1941-2020年与2021-2100年。此外,干旱定义的标准放宽至季节性土壤湿度Z分数异常<-0.5。
5、统计检验分析的进一步细节
所有假设检验都是在像素级和模式级对年/季节时间段序列进行的,然后通过共识规则在模式间总结显著性,多模式图仅显示≥67%的模式单独显著且与多模式平均值符号一致的区域。在解释多模式平均值时,本研究将结果分类为:
1)变化信号的稳健检测:>67%的模式指示统计显著变化,与多模式平均值极性相同;2)无变化信号的稳健检测:>67%的模式指示无统计显著变化;3)不确定:未满足上述标准(模式在极性和/或显著性上不一致)。
针对不同变量特征采用三类适配检验:干旱指标(最小生长季土壤湿度、干旱期指数)具有有界、偏斜或离散特性,采用循环移位置换检验,在保持年际依赖与季节性的前提下进行无分布假设的均值偏移检验;事件计数采用有效样本量两比例评分检验,通过AR(1)自相关校正膨胀标准误以处理时间依赖性;连续场变量(降水、温度、湿度指数等)则采用Welch不等方差t检验,经时段内去趋势及AR(1)白化残差验证正态性假设。多重检验问题不采用像素级校正,而以≥67%模式一致且符号相同作为共识阈值,在抑制假阳性的同时突出跨模式可复制的稳健信号。
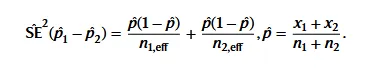
事件计数比较(具有依赖性的两样本比例)。对于干旱事件的时间窗口计数(时间段内聚合的年指标),本研究使用考虑自相关的有效样本量两比例评分检验比较时间段之间的比例。
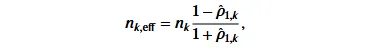
设xk为事件年数,nk为周期k∈年数。估计量p̂k=xk/nk在弱序列依赖下保持无偏,但其方差被膨胀。

剪接到[2,nk]。然后使用分数检验(Z)检验,对两个比例进行测试,标准误用nk,eff计算:

干旱指标比较(保持时间依赖的旋转置换)。对于可能是非高斯且有界的干旱指标,包括最小生长季土壤湿度和干旱期指数,本研究使用保持观测序列结构的循环移位置换检验比较时间段。
设yt为年t的年度度量,跨越两个连续的时间片W1(基线)和W2(比较)。观察到的检验统计量是窗口均值的差值,∆obs=ȳW2−ȳW1(以符号报告)。在窗口间均值无变化的零情况下,年份可交换,但旋转保持自相关性和季节性。生成B循环位移:对于位移s∈[0,...,N−1],构造yt(s)=y(t+smodN),重新计算∆(s),得到双侧P值

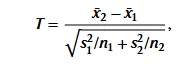
连续季节和年度场(具有依赖性和正态性检验的Welch不等方差t检验)。对于连续值集合,本研究使用允许时间段间不等方差的Welch t检验检验20年时间段之间的差异。检验统计量为。

【研究结果】
1、蒸散状态与土壤湿度的季节性累积
本研究基于图1所示的能量-土壤湿度-蒸散发关系,提出三种蒸散状态框架(图2):能量控制(实际蒸散发随辐射变化)、水分控制(实际蒸散发与降水/土壤湿度共变)及新识别的提取控制(水分通量由植物根区水分提取需求主导)。提取控制状态下,能量与水分充足,蒸腾受植物调节而非降水限制,误分类将导致植物作用低估或需求驱动干燥信号被掩盖。

图1. 示意图说明本研究描述的每种蒸散状态的主导过程

图2. 生长季和非生长季蒸散状态的地理分布
三种状态对变暖响应各异(图3):能量控制状态下变暖与土壤湿度下降关系最明确;水分控制状态下温度效应受降水变率调节而不确定;提取控制状态下取决于相对湿度趋势——湿度维持则变暖加剧蒸腾耗水,湿度下降则气孔关闭抑制蒸腾。图3显示热带生长季提取控制区集中于沿海(湿度维持,变暖耗水),而北半球温带生长季及热带非生长季提取控制区湿度预计大幅下降,反而削弱干燥。高温超过作物最适温度时该效应进一步加剧。

图3. 季节性累积土壤湿度变化与变暖的关系
2、土壤湿度记忆与干旱趋势
农业干旱由前期土壤湿度(生长季开始时)和生长季土壤湿度累积共同驱动。图4a-c证实,生长季土壤湿度长期变化主要反映前期条件变化而非季节内累积变化,表明存在高度土壤湿度记忆——从几个月(季节前期持续性)到几十年(年度水分平衡长期趋势)。

图4. 根区土壤湿度的历史和预测变化
热带地区的干旱/半干旱区土壤湿度记忆较弱,旱季累积与雨季土壤湿度相关性低;湿润区生长季土壤湿度变率主要由前个旱季解释。干旱/半干旱区蒸发受水分限制,前期土壤湿度趋势反映年降水趋势;湿润区蒸发受能量限制,年蒸发损失增加会抵消降水增加或加剧降水减少的影响。
北半球温带地区(图5a-b):3-5月(MAM)为主导季节,其累积土壤湿度与生长季土壤湿度相关性最强,解释方差比例大且模式与ERA5一致。主导季节不随时间序列长度或去趋势处理而改变,证实前期条件影响源于季节性土壤湿度记忆而非长期趋势。

图5. 北半球温带的土壤湿度持续性和由此产生的主导季节
3、农业干旱的新兴热点
北半球温带地区(图6):3-5月为主导季节(图5a),除俄罗斯-远东、北美中部、北美西北部东部和格陵兰-冰岛外,土壤湿度累积预计显著下降——蒸散发增加抵消人为降水增加的影响。图6显示欧亚大部分及北美部分区域观测到农业干旱频率增加且21世纪将持续,与2003、2010、2018年严重欧亚干旱的春季干燥机制一致。北美西部、西欧和中纬度中欧东部被确定为新兴干旱热点,与先前严重干旱指标早发区域吻合。北美东北部及东部仅预测增加但历史未观测;南亚副热带/温带和加勒比地区春季土壤变率影响弱,预测变化不明显且历史未来一致性差。

图6. 农业干旱的新兴热点
热带地区:非洲之角历史降水干旱减少致农业干旱增加,但未来降水大幅增加将缓解干旱,观测增加不可作为未来变化指标。南美洲南部近期干旱频率增加未来不会持续。非洲西南部观测与预测均显示降水减少,CMIP6一致性强,近期“归零日干旱”已归因于气候变化,为新兴干旱热点。
湿润热带地区:中非(能量控制状态)模式与观测不确定性大,观测干燥与预测变湿不匹配,未列为新兴热点——但需注意降水干旱减少未必转化为土壤湿度农业干旱减少。亚马逊和南美北部(图6)历史模拟、未来预测与观测一致显示干旱频率强度显著恶化,近20年发生四次“百年一遇”事件,厄尔尼诺降水亏缺因人为变暖加剧,南美北部和南美南部均为新兴干旱热点。
【相关讨论】
所有共享社会经济路径下北半球温带大部分地区干旱频率预计恶化,但SSP2-4.5和SSP1-2.6下严重干旱显著增加的预测一致性低于SSP3-7.0和SSP5-8.5,凸显减排社会效益。干旱频率增加伴随强度增加(与突发性干旱增加一致),|Z分数|>2的非常严重干旱相对频率预计显著增加——作物生产力受强烈干旱期(如2012年北美突发性干旱)和非常严重事件(如2018年北欧夏季干旱)不成比例影响。
政策制定者需为欧洲、北美及全球南方作物增加干旱胁迫规划,考虑引入抗旱作物品种。模拟未考虑灌溉,结果应解读为灌溉密集区淡水需求增加指标,强调新兴干旱热点农村供水管理重要性。
构建全球生长季为前期条件缓慢演变与关键季节土壤湿度累积趋势的框架,以时空变化蒸发控制表达地表水分平衡,区分土壤湿度稳健下降区与不确定区。识别北美西部、欧洲、南美和南部非洲为干旱新兴热点(近期观测干燥与预测机制一致),区别于观测与预测不一致地区(如东非和南美洲南部),基于过程的方法阐明机制驱动因素并稳健识别热带温带干旱热点。
【声明】
本文献分享内容仅代表团队对于文章的理解,请有兴趣的同学阅读原文,也请各位专家、同学批评指正。
【原文出处】
Black, E., et al. Emerging hotspots of agricultural drought under climate change. Nature Geoscience. (2026).

整理:陈梦媛
审核:吴博萌