当前位置:首页>农业>玉米大豆的"双赢默契": 四川农业大学杨文钰团队解析黄酮类化合物介导玉豆根系互作机制

玉米大豆的"双赢默契": 四川农业大学杨文钰团队解析黄酮类化合物介导玉豆根系互作机制

  • 2026-05-30 16:12:33
玉米大豆的"双赢默契": 四川农业大学杨文钰团队解析黄酮类化合物介导玉豆根系互作机制
检索: 胡心如  编译: 胡心如  统筹: 邵瑞鑫

摘要

豆科植物根系产生的黄酮类化合物可作为信号分子,诱导共生根瘤菌结瘤基因表达。然而,间作系统中根系分泌物中的黄酮类化合物在促进大豆结瘤中的作用尚不明确。本研究通过连续两年田间试验,设置玉米 - 大豆带状间作(行距 30 cm、45 cm、60 cm)及大豆单作、玉米单作处理,同时采用聚乙烯塑料屏障(PB,阻断根系互作)和无屏障(NB,允许根系互作)两种方式调控根系相互作用,探究根际黄酮类化合物与大豆结瘤的关联。结果表明:玉米与大豆的根系互作显著增加了间作大豆的结瘤数和鲜重,且增幅随间作行距扩大而提升;无屏障处理下,间作大豆中直径大于 0.4 cm 的结瘤占比高于屏障处理,结瘤相关基因(GmENOD40GmNIN2bGmEXPB2)表达上调。与单作相比,间作条件下大豆根系异黄酮分泌减少,但玉米和大豆根系的黄酮类、黄酮醇分泌均增加;当屏障阻断根系接触后,两者根际差异分泌的黄酮类代谢物丰度下降。大豆根系中,根系互作可上调黄酮类合成关键基因GmCHS8GmIFS1表达,下调GmICHG表达;多数黄酮类和黄酮醇化合物与结瘤直径呈正相关。玉米根系分泌物处理可增加不同大豆基因型的结瘤数、鲜重及直径大于 0.2 cm 的结瘤占比,进而提升固氮能力。综上,玉米-大豆带状间作结合适宜行距,可强化地下根系互作的正向效应,改善间作大豆的结瘤与固氮效率。


引言

大豆是全球重要的饲料和油料作物,其与根瘤菌形成的共生固氮系统可将大气中的氮气转化为植物可利用氮,满足自身 50%-60% 的氮需求,不仅能提升大豆产量,还能减少氮肥依赖,降低生态风险。间作作为传统的作物多样化种植模式,具有资源互补、增产减肥等优势,可通过改变根系分泌物模式、重塑微生物群落等地下互补效应促进有益微生物生长。但大豆结瘤是复杂过程,作物多样化如何增强间作大豆的高效结瘤与固氮机制仍需深入探究。

本研究提出以下假设:(1)合理的玉米 - 大豆带状间作配置可通过根系互作缓解遮荫导致的结瘤抑制,进而促进氮积累;(2)种间根系互作强度影响根系黄酮类化合物分泌;(3)玉米根系分泌物中存在促进大豆结瘤或发育的黄酮类化合物。通过设置不同间作行距和根系分离处理,结合室内玉米根系分泌物灌溉试验,探究根系互作强度对作物根系黄酮类分泌及间作大豆结瘤、固氮的影响,明确根系互作驱动的根际分泌环境差异对大豆结瘤形成与发育的调控机制。


材料与方法

本试验于 2021-2022 年在四川省崇州市开展,田间采用裂区设计,主区为玉米-大豆行距(30 cm、45 cm、60 cm),副区为根系互作处理(PB:聚乙烯塑料屏障阻断根系接触;NB:无屏障允许根系互作),以大豆单作(SS)、玉米单作(MM)为对照,3 次重复。玉米窄行距 40 cm、宽行距 160 cm,宽行内种植 2 行大豆。温室试验采用完全随机设计,设置 3 个大豆基因型(强结瘤型 Nandou 12、弱结瘤型 Guixia 3、超结瘤型 NTS1007)和 2 个根系处理(玉米根系分泌物灌溉、蒸馏水对照),共 120 个试验单元。玉米种植于珍珠岩 - 蛭石混合基质,大豆种植于田间土壤;玉米拔节期收集根系分泌物,大豆出苗至五叶期每 2 天灌溉一次(200 mL / 株)。

结果与分析

1.根系互作提升结瘤数量、鲜重及大瘤占比

连续两年数据显示,间作大豆的单株结瘤数少于单作大豆,但无屏障处理(NB)显著促进了结瘤形成与发育:与屏障处理(PB)相比,NB 处理下 MS30(30 cm 行距)在五叶期(V5)和鼓粒期(R4)的单株结瘤数平均分别增加 24.4% 和 21.0%,MS60(60 cm 行距)在盛花期(R2)和 R4 期分别增加 12.7% 和 13.2%;V5 期 MS45、MS60 的 NB 处理结瘤鲜重较 PB 分别增加 31.4% 和 32.7%,R2 期 MS30、MS45、MS60 的 NB 处理结瘤鲜重较 PB 分别增加 28.6%、38.0% 和 23.6%。

图1  2021年与2022年采用不同行距及根系分离处理的大豆植株结瘤数及结瘤鲜重

表1  不同行距和根系分离对大豆根瘤直径分布的影响

2.根系互作增强固氮潜力,扩大行距提升氮积累
间作行距扩大对结瘤固氮酶活性无显著影响,但 NB 处理在 R2 和 R4 期的固氮酶活性显著高于 PB 处理。从 V5 到 R4 期,NB 处理的单株固氮潜力显著高于 PB 处理,且随间作行距扩大呈上升趋势。间作行距扩大对结瘤固氮酶活性无显著影响,但 NB 处理在 R2 和 R4 期的固氮酶活性显著高于 PB 处理。从 V5 到 R4 期,NB 处理的单株固氮潜力显著高于 PB 处理,且随间作行距扩大呈上升趋势。

图2  不同行距和根系分离处理对大豆根瘤固氮能力和氮素积累的影响

3.根系互作上调结瘤及黄酮类合成关键基因表达
2022 年基因表达检测显示,根系互作更有利于结瘤及黄酮类合成相关基因表达:与 PB 相比,NB 处理下 MS45 的 GmENOD40B 在 V5 期表达上调 0.95 倍,R2 期上调 2.99 倍;GmNIN2b 在 MS45 的 V5 期上调 3.35 倍,R2 期 MS30、MS45、MS60 分别上调 0.34、1.69、0.43 倍;V5 期 MS30 和 MS60 的 NB 处理中 GmEXPB2 转录本丰度最高。
黄酮类合成关键基因 GmCHS8 在 MS60 的表达高于单作;R2 期 NB 处理的 GmIFS1 表达高于单作,且 MS30、MS45、MS60 的 NB 处理较 PB 分别上调 0.24、0.81、1.62 倍;V5 期 NB 处理的 GmICHG 表达高于单作,但 R2 期除 MS45 的 NB 处理外均下降,MS45 的 NB 处理在 V5 期 GmICHG 上调 13.20 倍。

图3  大豆在不同行距和根系分离条件下基因的相对表达量

4.间作提升黄酮类 / 黄酮醇分泌,屏障处理降低差异代谢物丰度
UPLC-MS 分析显示,以 VIP>1 且 P<0.05 为阈值,SS 与 MS30PB 组鉴定出 20 种差异代谢物(均下调),SS 与 MS30NB 组鉴定出 32 种差异代谢物(2 种上调、30 种下调,其中大豆苷元下降 2.35 倍);SS 与 MS60NB 组鉴定出 13 种差异代谢物(2 种上调、11 种下调),SS 与 MS60PB 组鉴定出 27 种差异代谢物(均下调),这些化合物主要包括黄酮类、黄酮醇、异黄酮、黄烷酮和查尔酮。UPLC-MS 分析显示,以 VIP>1 且 P<0.05 为阈值,SS 与 MS30PB 组鉴定出 20 种差异代谢物(均下调),SS 与 MS30NB 组鉴定出 32 种差异代谢物(2 种上调、30 种下调,其中大豆苷元下降 2.35 倍);SS 与 MS60NB 组鉴定出 13 种差异代谢物(2 种上调、11 种下调),SS 与 MS60PB 组鉴定出 27 种差异代谢物(均下调),这些化合物主要包括黄酮类、黄酮醇、异黄酮、黄烷酮和查尔酮。

图4  玉米-大豆条带间作下大豆根系分泌物中黄酮类化合物的差异代谢物

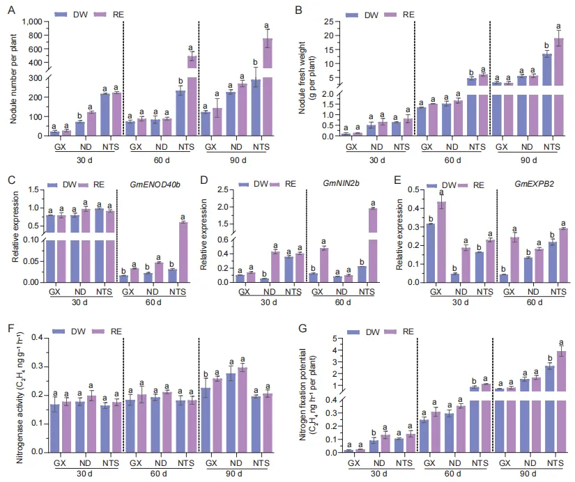
5.促进不同大豆基因型结瘤发育与固氮能力提升
玉米根系分泌物(RE)处理可增加不同大豆基因型的结瘤数和鲜重:超结瘤型 NTS 在 60 天和 90 天的结瘤数分别显著增加 23.93% 和 29.9%,结瘤鲜重分别增加 53.05% 和 41.8%。玉米根系分泌物(RE)处理可增加不同大豆基因型的结瘤数和鲜重:超结瘤型 NTS 在 60 天和 90 天的结瘤数分别显著增加 23.93% 和 29.9%,结瘤鲜重分别增加 53.05% 和 41.8%。玉米根系分泌物(RE)处理可增加不同大豆基因型的结瘤数和鲜重:超结瘤型 NTS 在 60 天和 90 天的结瘤数分别显著增加 23.93% 和 29.9%,结瘤鲜重分别增加 53.05% 和 41.8%。

图5  玉米根系分泌物灌溉后的根瘤表型、基因表达及固氮作用

6.黄酮类 / 黄酮醇与结瘤直径呈正相关
大豆根系分泌的三嗪酮 4'-O-β- 愈创木基甘油等 7 种化合物与结瘤数呈显著正相关;表儿茶素、异鼠李素与结瘤数显著正相关,异鼠李素还与结瘤鲜重显著正相关;诺必擂亭、橘皮素等与结瘤直径呈正相关。

图6  根际黄酮类化合物与大豆根瘤表型的相关性分析

小结

本研究表明,玉米-大豆带状间作系统中,地上部遮荫抑制大豆生长并减少结瘤数,且这种抑制作用随间作行距扩大而逐渐减弱。玉米与大豆的根系互作可促进结瘤发育,增加大瘤占比,提升大豆单株固氮潜力;玉米根系分泌物对大豆结瘤形成与发育具有促进作用。此外,间作条件下大豆根际异黄酮分泌减少,但玉米和大豆的黄酮类、黄酮醇分泌均增加;屏障处理下,两者根际差异黄酮类代谢物的分泌量下降。黄酮类和黄酮醇与结瘤发育呈正相关,表明其可能在间作大豆结瘤过程中发挥关键作用。

图7  根际互作促进大豆在玉米-大豆带状间作中的结瘤和固氮作用

最新文章

随机文章

基本 文件 流程 错误 SQL 调试
  1. 请求信息 : 2026-05-30 17:07:56 HTTP/2.0 GET : https://h.mffb.com.cn/a/477601.html
  2. 运行时间 : 0.216122s [ 吞吐率:4.63req/s ] 内存消耗:4,499.33kb 文件加载:140
  3. 缓存信息 : 0 reads,0 writes
  4. 会话信息 : SESSION_ID=cde02ba165bd227ffd8462fd19838ef1
  1. /yingpanguazai/ssd/ssd1/www/h.mffb.com.cn/public/index.php ( 0.79 KB )
  2. /yingpanguazai/ssd/ssd1/www/h.mffb.com.cn/vendor/autoload.php ( 0.17 KB )
  3. /yingpanguazai/ssd/ssd1/www/h.mffb.com.cn/vendor/composer/autoload_real.php ( 2.49 KB )
  4. /yingpanguazai/ssd/ssd1/www/h.mffb.com.cn/vendor/composer/platform_check.php ( 0.90 KB )
  5. /yingpanguazai/ssd/ssd1/www/h.mffb.com.cn/vendor/composer/ClassLoader.php ( 14.03 KB )
  6. /yingpanguazai/ssd/ssd1/www/h.mffb.com.cn/vendor/composer/autoload_static.php ( 4.90 KB )
  7. /yingpanguazai/ssd/ssd1/www/h.mffb.com.cn/vendor/topthink/think-helper/src/helper.php ( 8.34 KB )
  8. /yingpanguazai/ssd/ssd1/www/h.mffb.com.cn/vendor/topthink/think-validate/src/helper.php ( 2.19 KB )
  9. /yingpanguazai/ssd/ssd1/www/h.mffb.com.cn/vendor/topthink/think-orm/src/helper.php ( 1.47 KB )
  10. /yingpanguazai/ssd/ssd1/www/h.mffb.com.cn/vendor/topthink/think-orm/stubs/load_stubs.php ( 0.16 KB )
  11. /yingpanguazai/ssd/ssd1/www/h.mffb.com.cn/vendor/topthink/framework/src/think/Exception.php ( 1.69 KB )
  12. /yingpanguazai/ssd/ssd1/www/h.mffb.com.cn/vendor/topthink/think-container/src/Facade.php ( 2.71 KB )
  13. /yingpanguazai/ssd/ssd1/www/h.mffb.com.cn/vendor/symfony/deprecation-contracts/function.php ( 0.99 KB )
  14. /yingpanguazai/ssd/ssd1/www/h.mffb.com.cn/vendor/symfony/polyfill-mbstring/bootstrap.php ( 8.26 KB )
  15. /yingpanguazai/ssd/ssd1/www/h.mffb.com.cn/vendor/symfony/polyfill-mbstring/bootstrap80.php ( 9.78 KB )
  16. /yingpanguazai/ssd/ssd1/www/h.mffb.com.cn/vendor/symfony/var-dumper/Resources/functions/dump.php ( 1.49 KB )
  17. /yingpanguazai/ssd/ssd1/www/h.mffb.com.cn/vendor/topthink/think-dumper/src/helper.php ( 0.18 KB )
  18. /yingpanguazai/ssd/ssd1/www/h.mffb.com.cn/vendor/symfony/var-dumper/VarDumper.php ( 4.30 KB )
  19. /yingpanguazai/ssd/ssd1/www/h.mffb.com.cn/vendor/topthink/framework/src/think/App.php ( 15.30 KB )
  20. /yingpanguazai/ssd/ssd1/www/h.mffb.com.cn/vendor/topthink/think-container/src/Container.php ( 15.76 KB )
  21. /yingpanguazai/ssd/ssd1/www/h.mffb.com.cn/vendor/psr/container/src/ContainerInterface.php ( 1.02 KB )
  22. /yingpanguazai/ssd/ssd1/www/h.mffb.com.cn/app/provider.php ( 0.19 KB )
  23. /yingpanguazai/ssd/ssd1/www/h.mffb.com.cn/vendor/topthink/framework/src/think/Http.php ( 6.04 KB )
  24. /yingpanguazai/ssd/ssd1/www/h.mffb.com.cn/vendor/topthink/think-helper/src/helper/Str.php ( 7.29 KB )
  25. /yingpanguazai/ssd/ssd1/www/h.mffb.com.cn/vendor/topthink/framework/src/think/Env.php ( 4.68 KB )
  26. /yingpanguazai/ssd/ssd1/www/h.mffb.com.cn/app/common.php ( 0.03 KB )
  27. /yingpanguazai/ssd/ssd1/www/h.mffb.com.cn/vendor/topthink/framework/src/helper.php ( 18.78 KB )
  28. /yingpanguazai/ssd/ssd1/www/h.mffb.com.cn/vendor/topthink/framework/src/think/Config.php ( 5.54 KB )
  29. /yingpanguazai/ssd/ssd1/www/h.mffb.com.cn/config/app.php ( 0.95 KB )
  30. /yingpanguazai/ssd/ssd1/www/h.mffb.com.cn/config/cache.php ( 0.78 KB )
  31. /yingpanguazai/ssd/ssd1/www/h.mffb.com.cn/config/console.php ( 0.23 KB )
  32. /yingpanguazai/ssd/ssd1/www/h.mffb.com.cn/config/cookie.php ( 0.56 KB )
  33. /yingpanguazai/ssd/ssd1/www/h.mffb.com.cn/config/database.php ( 2.48 KB )
  34. /yingpanguazai/ssd/ssd1/www/h.mffb.com.cn/vendor/topthink/framework/src/think/facade/Env.php ( 1.67 KB )
  35. /yingpanguazai/ssd/ssd1/www/h.mffb.com.cn/config/filesystem.php ( 0.61 KB )
  36. /yingpanguazai/ssd/ssd1/www/h.mffb.com.cn/config/lang.php ( 0.91 KB )
  37. /yingpanguazai/ssd/ssd1/www/h.mffb.com.cn/config/log.php ( 1.35 KB )
  38. /yingpanguazai/ssd/ssd1/www/h.mffb.com.cn/config/middleware.php ( 0.19 KB )
  39. /yingpanguazai/ssd/ssd1/www/h.mffb.com.cn/config/route.php ( 1.89 KB )
  40. /yingpanguazai/ssd/ssd1/www/h.mffb.com.cn/config/session.php ( 0.57 KB )
  41. /yingpanguazai/ssd/ssd1/www/h.mffb.com.cn/config/trace.php ( 0.34 KB )
  42. /yingpanguazai/ssd/ssd1/www/h.mffb.com.cn/config/view.php ( 0.82 KB )
  43. /yingpanguazai/ssd/ssd1/www/h.mffb.com.cn/app/event.php ( 0.25 KB )
  44. /yingpanguazai/ssd/ssd1/www/h.mffb.com.cn/vendor/topthink/framework/src/think/Event.php ( 7.67 KB )
  45. /yingpanguazai/ssd/ssd1/www/h.mffb.com.cn/app/service.php ( 0.13 KB )
  46. /yingpanguazai/ssd/ssd1/www/h.mffb.com.cn/app/AppService.php ( 0.26 KB )
  47. /yingpanguazai/ssd/ssd1/www/h.mffb.com.cn/vendor/topthink/framework/src/think/Service.php ( 1.64 KB )
  48. /yingpanguazai/ssd/ssd1/www/h.mffb.com.cn/vendor/topthink/framework/src/think/Lang.php ( 7.35 KB )
  49. /yingpanguazai/ssd/ssd1/www/h.mffb.com.cn/vendor/topthink/framework/src/lang/zh-cn.php ( 13.70 KB )
  50. /yingpanguazai/ssd/ssd1/www/h.mffb.com.cn/vendor/topthink/framework/src/think/initializer/Error.php ( 3.31 KB )
  51. /yingpanguazai/ssd/ssd1/www/h.mffb.com.cn/vendor/topthink/framework/src/think/initializer/RegisterService.php ( 1.33 KB )
  52. /yingpanguazai/ssd/ssd1/www/h.mffb.com.cn/vendor/services.php ( 0.14 KB )
  53. /yingpanguazai/ssd/ssd1/www/h.mffb.com.cn/vendor/topthink/framework/src/think/service/PaginatorService.php ( 1.52 KB )
  54. /yingpanguazai/ssd/ssd1/www/h.mffb.com.cn/vendor/topthink/framework/src/think/service/ValidateService.php ( 0.99 KB )
  55. /yingpanguazai/ssd/ssd1/www/h.mffb.com.cn/vendor/topthink/framework/src/think/service/ModelService.php ( 2.04 KB )
  56. /yingpanguazai/ssd/ssd1/www/h.mffb.com.cn/vendor/topthink/think-trace/src/Service.php ( 0.77 KB )
  57. /yingpanguazai/ssd/ssd1/www/h.mffb.com.cn/vendor/topthink/framework/src/think/Middleware.php ( 6.72 KB )
  58. /yingpanguazai/ssd/ssd1/www/h.mffb.com.cn/vendor/topthink/framework/src/think/initializer/BootService.php ( 0.77 KB )
  59. /yingpanguazai/ssd/ssd1/www/h.mffb.com.cn/vendor/topthink/think-orm/src/Paginator.php ( 11.86 KB )
  60. /yingpanguazai/ssd/ssd1/www/h.mffb.com.cn/vendor/topthink/think-validate/src/Validate.php ( 63.20 KB )
  61. /yingpanguazai/ssd/ssd1/www/h.mffb.com.cn/vendor/topthink/think-orm/src/Model.php ( 23.55 KB )
  62. /yingpanguazai/ssd/ssd1/www/h.mffb.com.cn/vendor/topthink/think-orm/src/model/concern/Attribute.php ( 21.05 KB )
  63. /yingpanguazai/ssd/ssd1/www/h.mffb.com.cn/vendor/topthink/think-orm/src/model/concern/AutoWriteData.php ( 4.21 KB )
  64. /yingpanguazai/ssd/ssd1/www/h.mffb.com.cn/vendor/topthink/think-orm/src/model/concern/Conversion.php ( 6.44 KB )
  65. /yingpanguazai/ssd/ssd1/www/h.mffb.com.cn/vendor/topthink/think-orm/src/model/concern/DbConnect.php ( 5.16 KB )
  66. /yingpanguazai/ssd/ssd1/www/h.mffb.com.cn/vendor/topthink/think-orm/src/model/concern/ModelEvent.php ( 2.33 KB )
  67. /yingpanguazai/ssd/ssd1/www/h.mffb.com.cn/vendor/topthink/think-orm/src/model/concern/RelationShip.php ( 28.29 KB )
  68. /yingpanguazai/ssd/ssd1/www/h.mffb.com.cn/vendor/topthink/think-helper/src/contract/Arrayable.php ( 0.09 KB )
  69. /yingpanguazai/ssd/ssd1/www/h.mffb.com.cn/vendor/topthink/think-helper/src/contract/Jsonable.php ( 0.13 KB )
  70. /yingpanguazai/ssd/ssd1/www/h.mffb.com.cn/vendor/topthink/think-orm/src/model/contract/Modelable.php ( 0.09 KB )
  71. /yingpanguazai/ssd/ssd1/www/h.mffb.com.cn/vendor/topthink/framework/src/think/Db.php ( 2.88 KB )
  72. /yingpanguazai/ssd/ssd1/www/h.mffb.com.cn/vendor/topthink/think-orm/src/DbManager.php ( 8.52 KB )
  73. /yingpanguazai/ssd/ssd1/www/h.mffb.com.cn/vendor/topthink/framework/src/think/Log.php ( 6.28 KB )
  74. /yingpanguazai/ssd/ssd1/www/h.mffb.com.cn/vendor/topthink/framework/src/think/Manager.php ( 3.92 KB )
  75. /yingpanguazai/ssd/ssd1/www/h.mffb.com.cn/vendor/psr/log/src/LoggerTrait.php ( 2.69 KB )
  76. /yingpanguazai/ssd/ssd1/www/h.mffb.com.cn/vendor/psr/log/src/LoggerInterface.php ( 2.71 KB )
  77. /yingpanguazai/ssd/ssd1/www/h.mffb.com.cn/vendor/topthink/framework/src/think/Cache.php ( 4.92 KB )
  78. /yingpanguazai/ssd/ssd1/www/h.mffb.com.cn/vendor/psr/simple-cache/src/CacheInterface.php ( 4.71 KB )
  79. /yingpanguazai/ssd/ssd1/www/h.mffb.com.cn/vendor/topthink/think-helper/src/helper/Arr.php ( 16.63 KB )
  80. /yingpanguazai/ssd/ssd1/www/h.mffb.com.cn/vendor/topthink/framework/src/think/cache/driver/File.php ( 7.84 KB )
  81. /yingpanguazai/ssd/ssd1/www/h.mffb.com.cn/vendor/topthink/framework/src/think/cache/Driver.php ( 9.03 KB )
  82. /yingpanguazai/ssd/ssd1/www/h.mffb.com.cn/vendor/topthink/framework/src/think/contract/CacheHandlerInterface.php ( 1.99 KB )
  83. /yingpanguazai/ssd/ssd1/www/h.mffb.com.cn/app/Request.php ( 0.09 KB )
  84. /yingpanguazai/ssd/ssd1/www/h.mffb.com.cn/vendor/topthink/framework/src/think/Request.php ( 55.78 KB )
  85. /yingpanguazai/ssd/ssd1/www/h.mffb.com.cn/app/middleware.php ( 0.25 KB )
  86. /yingpanguazai/ssd/ssd1/www/h.mffb.com.cn/vendor/topthink/framework/src/think/Pipeline.php ( 2.61 KB )
  87. /yingpanguazai/ssd/ssd1/www/h.mffb.com.cn/vendor/topthink/think-trace/src/TraceDebug.php ( 3.40 KB )
  88. /yingpanguazai/ssd/ssd1/www/h.mffb.com.cn/vendor/topthink/framework/src/think/middleware/SessionInit.php ( 1.94 KB )
  89. /yingpanguazai/ssd/ssd1/www/h.mffb.com.cn/vendor/topthink/framework/src/think/Session.php ( 1.80 KB )
  90. /yingpanguazai/ssd/ssd1/www/h.mffb.com.cn/vendor/topthink/framework/src/think/session/driver/File.php ( 6.27 KB )
  91. /yingpanguazai/ssd/ssd1/www/h.mffb.com.cn/vendor/topthink/framework/src/think/contract/SessionHandlerInterface.php ( 0.87 KB )
  92. /yingpanguazai/ssd/ssd1/www/h.mffb.com.cn/vendor/topthink/framework/src/think/session/Store.php ( 7.12 KB )
  93. /yingpanguazai/ssd/ssd1/www/h.mffb.com.cn/vendor/topthink/framework/src/think/Route.php ( 23.73 KB )
  94. /yingpanguazai/ssd/ssd1/www/h.mffb.com.cn/vendor/topthink/framework/src/think/route/RuleName.php ( 5.75 KB )
  95. /yingpanguazai/ssd/ssd1/www/h.mffb.com.cn/vendor/topthink/framework/src/think/route/Domain.php ( 2.53 KB )
  96. /yingpanguazai/ssd/ssd1/www/h.mffb.com.cn/vendor/topthink/framework/src/think/route/RuleGroup.php ( 22.43 KB )
  97. /yingpanguazai/ssd/ssd1/www/h.mffb.com.cn/vendor/topthink/framework/src/think/route/Rule.php ( 26.95 KB )
  98. /yingpanguazai/ssd/ssd1/www/h.mffb.com.cn/vendor/topthink/framework/src/think/route/RuleItem.php ( 9.78 KB )
  99. /yingpanguazai/ssd/ssd1/www/h.mffb.com.cn/route/app.php ( 1.72 KB )
  100. /yingpanguazai/ssd/ssd1/www/h.mffb.com.cn/vendor/topthink/framework/src/think/facade/Route.php ( 4.70 KB )
  101. /yingpanguazai/ssd/ssd1/www/h.mffb.com.cn/vendor/topthink/framework/src/think/route/dispatch/Controller.php ( 4.74 KB )
  102. /yingpanguazai/ssd/ssd1/www/h.mffb.com.cn/vendor/topthink/framework/src/think/route/Dispatch.php ( 10.44 KB )
  103. /yingpanguazai/ssd/ssd1/www/h.mffb.com.cn/app/controller/Index.php ( 4.81 KB )
  104. /yingpanguazai/ssd/ssd1/www/h.mffb.com.cn/app/BaseController.php ( 2.05 KB )
  105. /yingpanguazai/ssd/ssd1/www/h.mffb.com.cn/vendor/topthink/think-orm/src/facade/Db.php ( 0.93 KB )
  106. /yingpanguazai/ssd/ssd1/www/h.mffb.com.cn/vendor/topthink/think-orm/src/db/connector/Mysql.php ( 5.44 KB )
  107. /yingpanguazai/ssd/ssd1/www/h.mffb.com.cn/vendor/topthink/think-orm/src/db/PDOConnection.php ( 52.47 KB )
  108. /yingpanguazai/ssd/ssd1/www/h.mffb.com.cn/vendor/topthink/think-orm/src/db/Connection.php ( 8.39 KB )
  109. /yingpanguazai/ssd/ssd1/www/h.mffb.com.cn/vendor/topthink/think-orm/src/db/ConnectionInterface.php ( 4.57 KB )
  110. /yingpanguazai/ssd/ssd1/www/h.mffb.com.cn/vendor/topthink/think-orm/src/db/builder/Mysql.php ( 16.58 KB )
  111. /yingpanguazai/ssd/ssd1/www/h.mffb.com.cn/vendor/topthink/think-orm/src/db/Builder.php ( 24.06 KB )
  112. /yingpanguazai/ssd/ssd1/www/h.mffb.com.cn/vendor/topthink/think-orm/src/db/BaseBuilder.php ( 27.50 KB )
  113. /yingpanguazai/ssd/ssd1/www/h.mffb.com.cn/vendor/topthink/think-orm/src/db/Query.php ( 15.71 KB )
  114. /yingpanguazai/ssd/ssd1/www/h.mffb.com.cn/vendor/topthink/think-orm/src/db/BaseQuery.php ( 45.13 KB )
  115. /yingpanguazai/ssd/ssd1/www/h.mffb.com.cn/vendor/topthink/think-orm/src/db/concern/TimeFieldQuery.php ( 7.43 KB )
  116. /yingpanguazai/ssd/ssd1/www/h.mffb.com.cn/vendor/topthink/think-orm/src/db/concern/AggregateQuery.php ( 3.26 KB )
  117. /yingpanguazai/ssd/ssd1/www/h.mffb.com.cn/vendor/topthink/think-orm/src/db/concern/ModelRelationQuery.php ( 20.07 KB )
  118. /yingpanguazai/ssd/ssd1/www/h.mffb.com.cn/vendor/topthink/think-orm/src/db/concern/ParamsBind.php ( 3.66 KB )
  119. /yingpanguazai/ssd/ssd1/www/h.mffb.com.cn/vendor/topthink/think-orm/src/db/concern/ResultOperation.php ( 7.01 KB )
  120. /yingpanguazai/ssd/ssd1/www/h.mffb.com.cn/vendor/topthink/think-orm/src/db/concern/WhereQuery.php ( 19.37 KB )
  121. /yingpanguazai/ssd/ssd1/www/h.mffb.com.cn/vendor/topthink/think-orm/src/db/concern/JoinAndViewQuery.php ( 7.11 KB )
  122. /yingpanguazai/ssd/ssd1/www/h.mffb.com.cn/vendor/topthink/think-orm/src/db/concern/TableFieldInfo.php ( 2.63 KB )
  123. /yingpanguazai/ssd/ssd1/www/h.mffb.com.cn/vendor/topthink/think-orm/src/db/concern/Transaction.php ( 2.77 KB )
  124. /yingpanguazai/ssd/ssd1/www/h.mffb.com.cn/vendor/topthink/framework/src/think/log/driver/File.php ( 5.96 KB )
  125. /yingpanguazai/ssd/ssd1/www/h.mffb.com.cn/vendor/topthink/framework/src/think/contract/LogHandlerInterface.php ( 0.86 KB )
  126. /yingpanguazai/ssd/ssd1/www/h.mffb.com.cn/vendor/topthink/framework/src/think/log/Channel.php ( 3.89 KB )
  127. /yingpanguazai/ssd/ssd1/www/h.mffb.com.cn/vendor/topthink/framework/src/think/event/LogRecord.php ( 1.02 KB )
  128. /yingpanguazai/ssd/ssd1/www/h.mffb.com.cn/vendor/topthink/think-helper/src/Collection.php ( 16.47 KB )
  129. /yingpanguazai/ssd/ssd1/www/h.mffb.com.cn/vendor/topthink/framework/src/think/facade/View.php ( 1.70 KB )
  130. /yingpanguazai/ssd/ssd1/www/h.mffb.com.cn/vendor/topthink/framework/src/think/View.php ( 4.39 KB )
  131. /yingpanguazai/ssd/ssd1/www/h.mffb.com.cn/vendor/topthink/framework/src/think/Response.php ( 8.81 KB )
  132. /yingpanguazai/ssd/ssd1/www/h.mffb.com.cn/vendor/topthink/framework/src/think/response/View.php ( 3.29 KB )
  133. /yingpanguazai/ssd/ssd1/www/h.mffb.com.cn/vendor/topthink/framework/src/think/Cookie.php ( 6.06 KB )
  134. /yingpanguazai/ssd/ssd1/www/h.mffb.com.cn/vendor/topthink/think-view/src/Think.php ( 8.38 KB )
  135. /yingpanguazai/ssd/ssd1/www/h.mffb.com.cn/vendor/topthink/framework/src/think/contract/TemplateHandlerInterface.php ( 1.60 KB )
  136. /yingpanguazai/ssd/ssd1/www/h.mffb.com.cn/vendor/topthink/think-template/src/Template.php ( 46.61 KB )
  137. /yingpanguazai/ssd/ssd1/www/h.mffb.com.cn/vendor/topthink/think-template/src/template/driver/File.php ( 2.41 KB )
  138. /yingpanguazai/ssd/ssd1/www/h.mffb.com.cn/vendor/topthink/think-template/src/template/contract/DriverInterface.php ( 0.86 KB )
  139. /yingpanguazai/ssd/ssd1/www/h.mffb.com.cn/runtime/temp/32b793ebdcbdb96aeb8bb24c123b0bef.php ( 11.98 KB )
  140. /yingpanguazai/ssd/ssd1/www/h.mffb.com.cn/vendor/topthink/think-trace/src/Html.php ( 4.42 KB )
  1. CONNECT:[ UseTime:0.001024s ] mysql:host=127.0.0.1;port=3306;dbname=h_mffb;charset=utf8mb4
  2. SHOW FULL COLUMNS FROM `fenlei` [ RunTime:0.001050s ]
  3. SELECT * FROM `fenlei` WHERE `fid` = 0 [ RunTime:0.000571s ]
  4. SELECT * FROM `fenlei` WHERE `fid` = 63 [ RunTime:0.000610s ]
  5. SHOW FULL COLUMNS FROM `set` [ RunTime:0.000958s ]
  6. SELECT * FROM `set` [ RunTime:0.000460s ]
  7. SHOW FULL COLUMNS FROM `article` [ RunTime:0.001142s ]
  8. SELECT * FROM `article` WHERE `id` = 477601 LIMIT 1 [ RunTime:0.002595s ]
  9. UPDATE `article` SET `lasttime` = 1780132076 WHERE `id` = 477601 [ RunTime:0.001231s ]
  10. SELECT * FROM `fenlei` WHERE `id` = 64 LIMIT 1 [ RunTime:0.000511s ]
  11. SELECT * FROM `article` WHERE `id` < 477601 ORDER BY `id` DESC LIMIT 1 [ RunTime:0.000818s ]
  12. SELECT * FROM `article` WHERE `id` > 477601 ORDER BY `id` ASC LIMIT 1 [ RunTime:0.000836s ]
  13. SELECT * FROM `article` WHERE `id` < 477601 ORDER BY `id` DESC LIMIT 10 [ RunTime:0.002904s ]
  14. SELECT * FROM `article` WHERE `id` < 477601 ORDER BY `id` DESC LIMIT 10,10 [ RunTime:0.008260s ]
  15. SELECT * FROM `article` WHERE `id` < 477601 ORDER BY `id` DESC LIMIT 20,10 [ RunTime:0.007942s ]
0.223040s