Food Science Popularization | 食研科普
pH调控金属酚醛网络对大豆蛋白水解物纳米纤维凝胶的影响:微观结构、流变特性与热稳定性
近日,东北农业大学的研究团队在食品权威期刊《Food Chemistry: X》(Q1,IF:8.2)发表题为“Influences of pH-regulated metal phenolic networks on soy protein hydrolysate nanofibril gels: Microstructure, rheological properties and thermal stability”的研究性论文。该论文由东北农业大学食品科学学院独立完成,李良教授为该论文的通讯作者。
金属酚类网络(MPNs)被广泛用于改善凝胶的结构、力学性能及稳定性。本研究在pH值为2.0、5.5和8.0的条件下,将单宁酸(TA)与金属离子(Mn2+和Zn2+)配位形成MPNs,进而诱导大豆蛋白水解物纳米纤维(SPHN)产生凝胶(SPHN-MPNs凝胶)。随着pH值升高,TA与Mn²⁺/Zn²⁺间的配位作用逐渐增强,表现为出现新的电荷转移相关吸收特征。光谱分析证实,MPNs可通过氢键作用及MPNs与SPHN间的金属离子配位作用促进凝胶交联。由MPNs诱导的凝胶在pH升高时呈现更致密的凝胶结构,导致储存模量增高及热转变温度升高。在pH 8.0条件下,TA与Zn²⁺形成的MPNs使凝胶在经历四次剪切应力循环后呈现更高的G′值和更快的恢复速率。这些发现将拓展SPHN-MPNs凝胶在食品工业中的潜在应用前景。
研究通过在不同pH条件(2.0、5.5和8.0)下协调Mn²⁺和Zn²⁺与TA的配位作用制备了金属-配体网络(MPNs)。随后将MPNs引入SPHN中以诱导凝胶化。我们阐明了不同类型MPNs在SPHN凝胶化过程中相互作用的差异,并深入研究了MPNs对凝胶微观结构、流变特性及热稳定性的影响。研究成果不仅揭示了MPNs作为新型功能性食品材料的潜力,更拓展了SPHN在复合凝胶体系开发中的应用前景。
★随着pH值升高,TA与Mn²⁺/Zn²⁺之间的配位作用增强。
★MPNs通过氢键和金属离子配位促进凝胶形成。
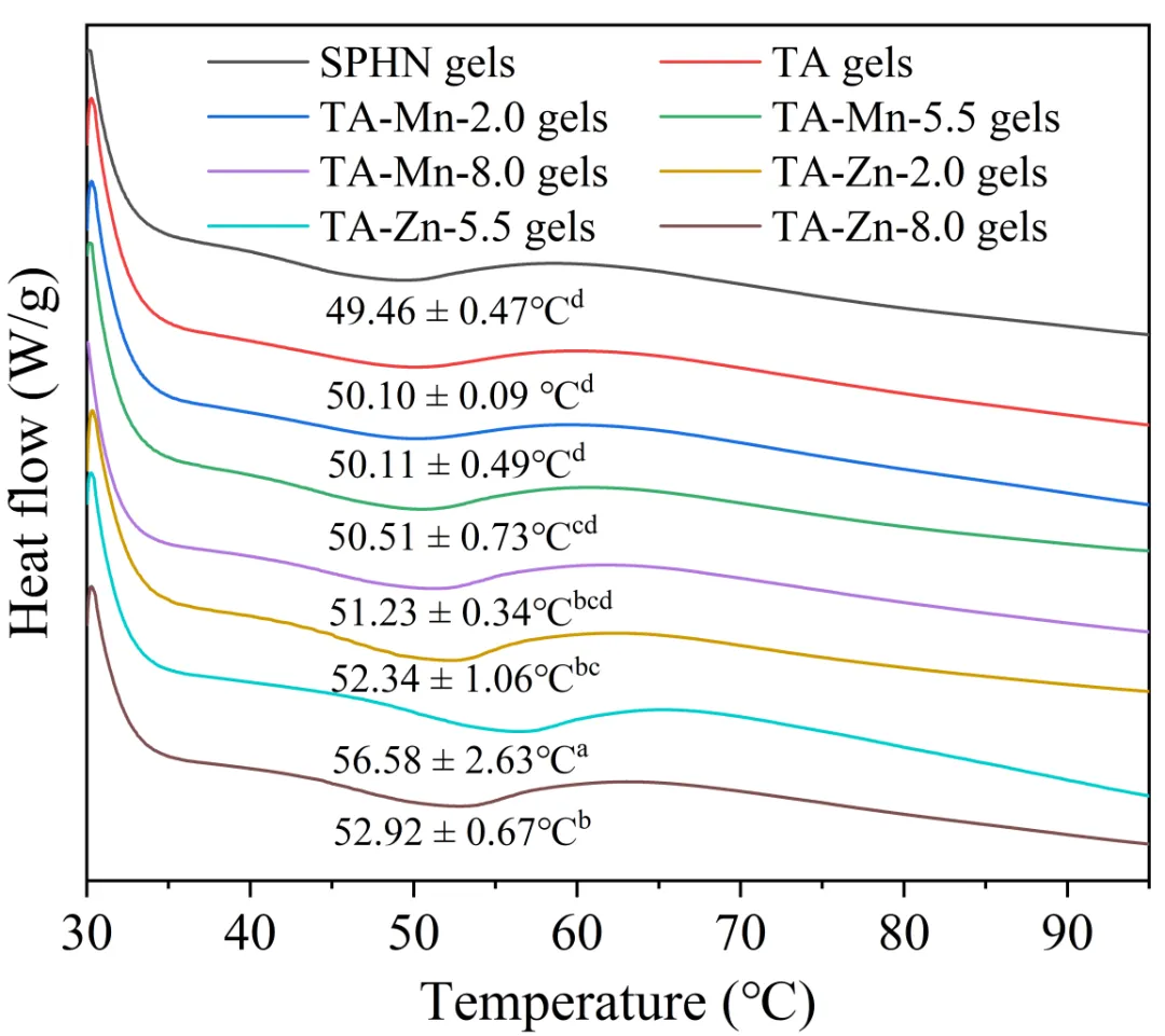
★在pH 8.0条件下,TA-Zn MPNs使凝胶获得更致密的微观结构。
★MPNs可在应力作用下增强凝胶的G′值和自愈合能力。
★ 本研究表明,在不同pH条件下由TA与金属离子(Mn²⁺和Zn²⁺)形成的MPNs显著增强了SPHN凝胶的结构、流变特性及热稳定性。随着pH值升高,TA与Mn²⁺/Zn²⁺间的配位作用增强,从而提高了所得MPNs的稳定性。MPN与SPHN的主要相互作用涉及氢键与金属离子配位双重机制,其中TA与Zn²⁺的配位作用进一步强化了MPN与SPHN间的氢键结合。随着pH值升高,SPHN-MPN凝胶呈现更平滑的表面和更致密的微观结构,导致热转变温度显著提升。在pH 8.0条件下,TA–Zn MPNs在经历四次剪切应力循环后展现出更高的G′值和更快的恢复速率,而TA–Mn MPNs则使凝胶获得更显著的恢复程度。本研究为调控大豆蛋白凝胶的结构与功能特性提供了新思路。
图1 在pH值为2.0、5.5和8.0条件下测得的MPNs溶液的目视检查(A和B)及紫外-可见光谱(C和D)。图C和D中插图对应于因配体-金属电荷转移而在较长波长处出现的新峰,该区域已进行放大显示。

图2 凝胶的反转试验。(B)凝胶的傅里叶变换红外光谱(FTIR)及(C)X射线光电子能谱(XPS)。
图3 凝胶的O 1s XPS光谱。(A) SPHN凝胶;(B) TA凝胶;(C) TA-Mn-2.0凝胶;(D) TA-Mn-5.5凝胶;(E) TA-Mn-8.0凝胶;(F) TA-Zn-2.0凝胶;(G) TA-Zn-5.5凝胶;(H) TA-Zn-8.0凝胶
图4 凝胶的N 1s XPS光谱。(A) SPHN凝胶;(B) TA凝胶;(C) TA-Mn-2.0凝胶;(D) TA-Mn-5.5凝胶;(E) TA-Mn-8.0凝胶;(F) TA-Zn-2.0凝胶;(G) TA-Zn-5.5凝胶;(H)TA-Zn-8.0凝胶
图5 凝胶的扫描电子显微镜图像。(A)SPHN凝胶;(B)TA凝胶; (C) TA-Mn-2.0凝胶;(D) TA-Mn-5.5凝胶;(E) TA-Mn-8.0凝胶;(F) TA-Zn-2.0凝胶;(G) TA-Zn-5.5凝胶;(H) TA-Zn-8.0凝胶;所有图像均以×3.00k放大倍率拍摄。
图6 凝胶在低应变(1%)和高应变(200%)条件下,分别进行振荡频率扫描(A-B)和时变阶跃应变剪切测试(C-F),共四个循环。
图7 凝胶的热学特性。图中数值表示对应样品的热转变温度,以均值±标准差(n=3)表示。不同字母表示样品间存在显著差异(p<0.05)。
https://doi.org/10.1016/j.fochx.2026.103604
免责声明:「原创」仅代表原创编译,仅供学术交流,本平台不主张原文的版权,如有侵权,请联系删除。文献解读如有疏漏之处,我们深表歉意,请作者团队及时联系《食研科普》小编(微信号:gw52528),小编会在第一时间进行修改或撤稿重发,感谢您的谅解!