📘论文基本信息
论文题目:Cluster-based multiscale attribution and spatial mechanism optimization of urban heat and cold islands in Beijing论文作者:Yushan Liu , Zhuang Shao , Jing Zhao期刊:Building and Environment第一单位:北京林业大学风景园林学院,北京 100083,中国DOI:https://doi.org/10.1016/j.buildenv.2025.113784
在快速城市化与全球气候变暖双重驱动下,城市热环境问题已从传统的“热岛识别”逐步转向“机制解析—空间调控—系统优化”的综合研究阶段。既有研究大量揭示了土地利用、建筑密度、植被覆盖等因素与地表温度(LST)的统计关系,但在空间异质性、尺度耦合以及冷热岛系统协同调控方面仍存在明显不足。尤其是在超大城市中,热岛(HI)与冷岛(CI)并非孤立存在,而是构成一个具有结构性、连通性与方向性的空间网络系统,这一系统性特征在以往研究中往往被简化或忽略。
本文以北京为研究对象,提出了一套“基于聚类的多尺度归因与空间机制优化框架”,将空间聚类、可解释机器学习、统计建模与空间网络分析有机整合,系统识别不同类型热岛与冷岛子单元,并揭示其形成机制、作用阈值及空间组织方式。研究突破了以往单一尺度、单一模型或平均效应分析的局限,从“类型—机制—网络”三个层面重构了城市冷热岛研究范式。
相较于传统UHI研究,本文的核心创新不在于“是否存在热岛”,而在于回答三个更具规划意义的问题:不同类型的热岛和冷岛是如何形成的?它们的主导驱动机制是否一致?以及,如何通过空间连通性优化实现系统层面的热环境调控? 这一视角为从“降温点位”走向“降温系统”提供了方法论基础。
全球城市人口比例的持续攀升,使得城市热环境问题已成为影响公共健康、能源安全与城市韧性的关键挑战。自然地表向高密度、不透水人工表面的快速转化,叠加气候变暖背景,使得城市内部热量积累、通风受阻和夜间热滞留问题日益突出。尤其在超大城市中,热风险呈现出明显的空间集聚性和社会不均衡性,单一尺度或均值化分析已难以支撑精细化治理。
从研究范式上看,城市热环境受多尺度因素共同作用:宏观尺度上,土地利用结构、生态网络和城市形态决定了整体热背景;微观尺度上,建筑高度、密度、功能、结构和年代等细节则塑造了局地热响应。然而,既有研究往往在尺度之间割裂分析,要么忽略微观建筑属性,要么无法将局地效应上升到城市系统层面,导致“机制看得见,调控用不上”。
北京作为典型的山前—平原过渡型超大城市,其城市热环境具有高度复杂性。一方面,中心城区高强度开发、功能混合与建筑密集加剧热量积聚;另一方面,外围山区、水库与生态缓冲带又形成显著冷源。冷热岛并存、结构分化明显,使北京成为研究城市热—冷系统耦合机制的理想样本,也凸显了采用类型化、结构化与网络化分析方法的必要性。
🌍研究目标与研究区
📌研究目标
基于上述背景,本文的研究目标并非简单识别热岛强度,而是构建一个可解释、可分型、可优化的城市冷热岛分析框架。具体而言,研究旨在:第一,系统识别北京城市内部典型热岛与冷岛子单元,并基于空间形态与环境特征进行聚类分型;第二,在城市整体尺度与类型内部尺度上,定量解析不同驱动因子对LST的非线性影响及其阈值特征;第三,将机制认知进一步嵌入空间网络分析,探索冷热岛连通性优化路径,为规划调控提供可操作依据。
📌研究区
研究区覆盖北京市行政范围,涵盖高度城市化的中心城区、快速扩张的新城组团以及北部和西部山地生态区。这种高度异质的空间格局,使得冷热岛类型在形态、功能和机制上均呈现显著差异,也为多类型比较分析提供了充分样本基础。
🖼️ 图 1. HI /CI 形态学鉴定和初始亚单位筛选。
🖼️ 图 2. HI /CI 子单元的空间分布及相应的 SOM 聚类分类。
🌍 研究方法
· 数据与方法体系
在方法体系上,本文构建了一套“多源数据—空间分型—机制归因—网络优化”的完整技术链。首先,研究整合了遥感反演的地表温度数据、精细化建筑形态与属性数据、景观格局指标以及社会经济与空间结构指标,形成多维度指标体系,为后续分析奠定数据基础。
其次,在空间单元识别阶段,研究通过地表温度分级与形态学空间格局分析(MSPA)提取热源与冷源核心区域,并在此基础上引入形态侵蚀与阈值筛选,识别具有结构意义的热岛与冷岛子单元。随后,采用自组织映射(SOM)对这些子单元进行聚类,将空间上连续但功能与机制不同的区域区分为若干典型类型。
在机制解析层面,研究采用“全局 + 局地”双层建模策略。一方面,利用 XGBoost 建立城市尺度的LST预测模型,并通过 SHAP 方法揭示各因子的非线性贡献与相对重要性;另一方面,在每一类热岛或冷岛内部,进一步引入广义加性模型(GAM),刻画关键因子的响应曲线和阈值区间,从而识别不同类型下机制差异与敏感区间。
最后,在空间优化层面,研究构建综合阻力面,引入电路理论与连通性指标,识别冷热岛系统中的关键廊道与瓶颈点,探索通过增强冷岛网络连通性、削弱热岛内部耦合来实现系统性降温的空间路径。

🌍 研究结果
研究首先揭示了北京城市热岛与冷岛在空间结构上的显著不对称性。热岛高度集中于中心城区及功能混合强度高的城市片区,而冷岛则主要分布在外围山区、水库及生态缓冲带。通过形态学筛选后,最终识别出多个具有稳定结构意义的热岛与冷岛子单元,为类型化分析提供了可靠空间基础。

🖼️ 图 4. HI /CI 集群的 LST 区间分布。

🖼️ 图 5. HI中关键指标的相对重要性和依赖性。
基于SOM聚类,热岛被划分为多种典型类型,如都市核心区、商业商务密集区、新城拓展区、交通枢纽区等;冷岛则主要表现为水库保育区、高山自然保护区与山前缓冲景观区。不同类型在建筑密度、功能结构、景观破碎度与生态配置上呈现出显著差异。

🖼️ 图 6. HI中的聚类主成分和关键变量模式;注:PC表示主成分,SUP表示为比较而包含的补充成分或变量。

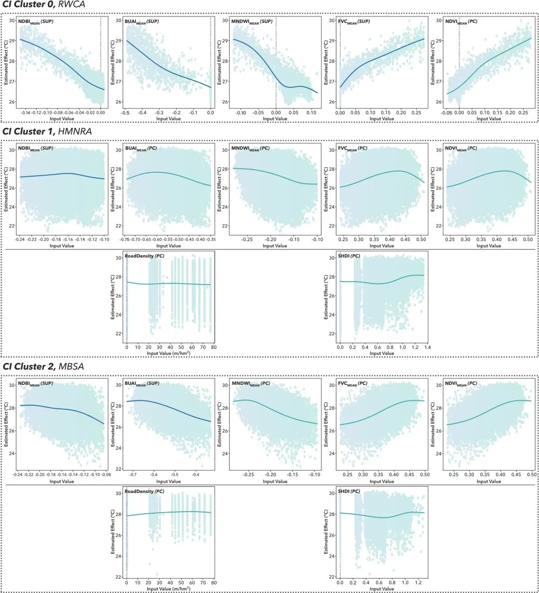
🖼️ 图 7. CI中关键指标的相对重要性和依赖性。

🖼️ 图 8. CI中的聚类主成分和关键变量模式。
在全局尺度上,SHAP分析显示,建筑强度类指标(如不透水面比例、建筑密度与高度)是热岛升温的首要驱动因素,而景观多样性和植被覆盖则提供稳定的降温效应。值得注意的是,水体指标在高密度建成区中的降温贡献有限,提示“蓝绿空间”在不同情境下存在显著效应差异。

🖼️ 图 9. 走廊约束阻力面以及 HI/CI 集群的关键城市热走廊和瓶颈点的空间分布。
进一步的GAM分析揭示了类型内部的非线性机制。例如,在部分热岛类型中,植被指数在低—中值区间即可产生显著降温,而在冷岛类型中,只有当植被或水体达到较高连通度与规模时,降温效应才会显现甚至增强。这表明,冷岛的形成更依赖空间结构与尺度效应,而热岛缓解更依赖植被的韧性调节能力。

🖼️ 图 10. HI /CI 亚基中的关键核心亚基和 IIC 水平。
空间网络分析结果进一步指出,真正决定城市整体热调控能力的,并非单个“最冷”的冷岛,而是冷岛之间的连通性及其与热岛的接口关系。结构完整、连通良好的冷岛骨架可显著扩大降温影响范围,而被商业与高密度开发区“包围”的热岛核心区,则容易形成热量滞留与自我强化的“热陷阱”。
🖼️ 图 11. HI /CI 亚基中的关键核心亚基和 IIC 水平。
🧩 讨论部分
从机制角度看,研究揭示了冷热岛在调控逻辑上的根本差异:热岛更依赖植被的局地缓冲能力,而冷岛更依赖空间结构与连通性。这一发现解释了为何在高密度城区中,小尺度绿地仍然有效,而在外围区域,零散冷源却难以形成系统性降温。
研究还指出,“围合型空间结构”是北京中心城区热问题的重要结构性原因。商业商务区对核心区的环绕,削弱了外部冷空气进入城市核心的可能性,使得热岛网络呈现出高度自洽和稳定特征。这一结构性问题,无法通过单点绿化解决,而需要系统性空间重构。
在规划层面,研究强调应从“冷点保护”转向“冷网构建”,通过维护山地—水体—绿廊的整体连通性,实现热环境的长期调控。同时,热岛内部则需通过功能疏解、建筑形态优化与微尺度绿化,提高自身散热能力
🧩 研究结论
本文通过构建基于聚类的多尺度分析框架,系统揭示了北京城市冷热岛的类型差异、形成机制与空间组织方式。研究表明,建筑强度与生态配置是热岛形成的主导因素,而冷岛的调控效应更依赖空间结构完整性与网络连通性。不同类型区域的热调控策略应高度差异化,避免“一刀切”的规划干预。
更重要的是,研究从系统层面提出:城市热环境治理的关键,不在于消除所有热岛,而在于重构冷热岛之间的空间关系。通过强化冷岛骨架、削弱热岛耦合、优化关键廊道与瓶颈节点,城市可以在不显著降低发展强度的前提下,实现更具韧性的热环境调控。
🛰️🌆GeoAI 星球 · 洞见时刻
这项研究展示了GeoAI在城市气候研究中的真正价值:不是简单“预测更准”,而是让机制可解释、类型可区分、决策可落地。当机器学习、空间分析与规划逻辑被放在同一框架中,城市热问题才真正具备被系统治理的可能。
对于其他快速城市化地区而言,这一框架同样具备高度可迁移性。未来,随着更高分辨率建筑数据与时序热环境数据的加入,城市冷热岛研究将从“诊断型分析”走向“情景驱动优化”,真正服务于健康城市与气候适应型规划。
🔖 引用文献格式
Liu, Y., Shao, Z., & Zhao, J. (2025). Cluster-based multiscale attribution and spatial mechanism optimization of urban heat and cold islands in Beijing. Building and Environment, 113784.
📢 声明
本文内容基于作者对论文的个人阅读与理解,难免存在疏漏或不当之处,仅供学习交流使用,不构成任何学术结论或商业性引用。若文中对原文理解不准确,或涉及版权问题,欢迎及时联系指正,我将第一时间进行修改或删除。感谢理解与支持!
🛰️ 未来本账号将持续更新 GIS、遥感、城市研究相关的数据、工具与教程。如果你对某类数据、某种研究主题或某项技术分享感兴趣,欢迎在评论区留言或私信告诉我们。
推荐一个非常优秀的公众号,主要分享一些园林、规划、遥感、地理、建筑,环艺(景观)等专业SCI文献,欢迎关注~