针对当前机场等候座椅系统存在的旅客滞留拥挤、安全隐患频发及形态结构冗余等突出问题,拟构建系统化的创新设计流程。通过实施用户需求图谱解析和功能要素转换,最终输出空间配置优化、安全效能提升及形态语义创新特征的座椅系统方案。通过综合分析机场等候座椅的市场现状,明确设计缺陷; 运用层次分析法(AHP)构建“功能性-人机性-审美性-安全性”四维需求评估指标体系,确定权重和一致性检验; 应用QFD质量屋模型转换为设计特性; 在创新求解阶段,基于TRIZ矛盾矩阵解析与创新原理推导找到最优解决方案,产出设计方案并提出意见。最后运用李克特量表评价新方案,结果显示产品各方面都得到提升,具备创新价值且验证了设计流程的科学性与可行性。研究结果表明,通过集成AHP、QFD和TRIZ的设计流程,可有效突破传统需求转化过程中的信息耗散瓶颈,实现用户隐性需求向显性技术参数的精准转化,成功解决了用户需求问题与设计的矛盾。通过AHP-QFD-TRIZ集成化设计流程框架,可有效突破传统需求转化过程中的信息耗散瓶颈,实现用户隐性需求向显性技术参数的精准转化。所形成的“需求量化-矛盾解析-创新求解-效能验证”四阶方法论,不仅为智慧机场设施迭代提供了可复用的技术路径,更在复杂产品系统创新设计领域拓展了跨理论融合的范式研究。
随着经济水平的不断提高,人们对于出行的需求日渐增长,境内外游客数量不断上升,各大旅游景点的经济也逐渐回暖。从2025年3月26日发布的《2024年中国旅游经济运行分析与2025年发展预测》(中国旅游经济蓝皮书No.17)可知,2024年全国国内出游人次56.15亿,比2023年同期增加7.24亿,同比增长14.8%。
由于航空运输的特殊性,航班常因恶劣天气延误或取消,增加了乘客使用等候座椅的时长,各种问题随之显露,主要包括环境卫生欠佳、儿童安全隐患、材质环保性能差、智能化程度低、舒适度不够完善等。为了解决上述问题,满足旅客的需求,应以人为本,对飞机场座椅进行一系列改进与优化。
飞机场等候座椅设计的改进也是一直以来研究的热点。
·例如:张雨婕根据现状分析出需求,增加一系列的人性化设计,优化等候椅使其满足人们更多的需求;
·王雅瑜等为解决公共消毒需求,设计了一款公共座椅自动消毒装置,从很大程度上节省了人力物力;
·汪靖营等以机场等候椅为例对家具包装问题进行优化,提高包装效率并将材料使用最大化。
AHP(层次分析法)、QFD(质量功能展开)和TRIZ(理论创新)是创新设计领域常用的工具与方法。
其中,AHP方法可以帮助确定设计目标的优先级和权重,确保设计方案符合整体目标,属于决策支持;
QFD方法可以将顾客需求转化为设计要求,并将这些要求传递给不同的设计阶段和团队,确保设计过程中的质量控制和改进,属于质量改进; TRIZ方法提供了一套系统地解决问题的工具和方法,可以帮助设计人员分析和解决设计过程中的技术矛盾及问题,属于问题解决。将以上提到的3种方法结合起来,形成一个综合的创新设计流程,可以使设计过程更系统化和结构化,减少决策和设计过程中的主观性,提高设计效率和质量,也确保了设计方案的全面性和综合性。
文章通过构建AHP/QFD/TRIZ创新设计流程,将原本座椅的用户需求拓展为功能、审美、人性和安全4个方向。同时也为了改变传统的飞机场等候座椅的设计模式,满足当下更多的出行需要,借助该方法将产品现有问题进行功能配置优化和造型创新,进行整体分析优化,从而提升其设计合理度,对改善机场等候座椅有一定的启发。
随着长途旅游游客数量的增多,机场的使用频率逐年上升,目前国内飞机场等候座椅已无法满足旅客的需求。因此,如何设计出适应市场并满足未来飞机场需求的座椅成为重点。目前,国内的等候椅大多是由座椅、靠背、横梁、扶手和脚手架组成,多为排椅形式,且一般为固定放置。在材质上,与传统的不锈钢加皮质相结合的飞机场等候座椅相比,现在兴起的聚氨酯座椅,不管是从耐用性、流线型、舒适度、实用度考虑都是不错的选择。国内机场等候座椅发展系统较为成熟,在全球的飞机场等候椅设计中也占据一席之地(图1)。目前,市面上的机场等候座椅主要有以下优点:①配备充电插口,考虑到座椅之间隐私性设计,符合人机工程学要求; ②连排座椅人性化设计,去除扶手方便过夜休息; ③座椅色彩选择明度较低的颜色; ④座椅与附属功能(如充电口)完美融合。
为了提高用户满意度,设计过程应该深入挖掘用户的综合情感需求,针对以下问题进行改进:座椅的金属件老化破损、儿童安全隐患、消毒工作不全面以及缺乏自动化装置来驱动人与物的交互。目标是设计出一款结构稳定、轻量化、安全性能高,并且充满人性化的飞机场等候座椅,以解决人们出行需求的不足。
为了实现更加科学客观的决策,许多学者将TRIZ理论与QFD、AHP、AD(公理设计)等研究理论进行集成,以获得更全面的了解并进行设计,从用户需求了解到需求识别、需求转换、权重分析、产品冲突等方面提供了创新的产品设计途径,并针对产品冲突提出多个解决方案。例如:苏建宁等构建了集成QFD/TRIZ/AHP的创新设计模式,完成了高效采摘玫瑰花机器的创新方案设计; 周生祥等融合QFD/TRIZ/AD对用户需求进行量化,将公理化设计融入设计流程中,以板栗采收机概念设计为例进行了应用验证,证明了其流程的可行性; 罗峰等将AHP与TRIZ结合,通过TRIZ理论和定量化分析,突破单一理论的局限性并用电动牙刷的改良设计验证了该模式的可实施性。
将传统的产品设计流程进行改良,以AHP、QFD和TRIZ为分类标准,大致流程如图2所示。
2.1用户需求
本研究邀请了15位在飞机场有过长时间等待的旅客及5位有机场等候椅设计工作经历的设计师进行决策并打分; 同时将模型划分为一级与二级指标层,一级指标层包括目标层、指标层和方案层。①目标层。在本研究中为机场等候座椅的最佳设计方案W。②准则层。将飞机场等候座椅设计指标的准则层设为功能性C1、审美性C2、人机性C3、安全性C4。③子准则层。将准则层具体展开分为多个具体的需求,通过文献分析法、问卷调查法、线上线下访谈法等方法进行归纳总结,构建出飞机场等候座椅设计的层次结构(图3)。
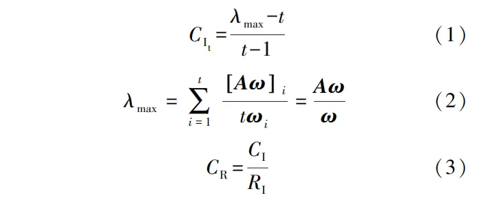
根据AHP的判断标度1~9设计相应的问卷,按照9阶数值表进行打分,从而计算出权重,功能性、审美性、人机性、安全性的判断矩阵及权重如表1~表5所示。
在数据记录和分析后进行一致性检验,从而确保数据的准确性和有效性,具体计算公式如下:
根据上述排序的结果可以看出,安全性位于首位,其次交互性、卫生性都是考虑的热点。其中,结构的稳定性>有交互>避免尖角>卫生>流线型>材料的选取>摆放物品>色彩>可充电>尺寸设定>材质叠加>可躺下>按照场景随意拼接。
2.2飞机场等候座椅用户需求转化
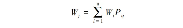
在明确飞机场等候座椅的各项用户需求权重后,采用层次分析法,并利用QFD质量功能展开,以用户需求为核心,确保设计的产品可以满足用户在生理、心理、技术等方面的需求。在整个QFD质量功能的运作中,质量屋的展开能更直观清晰地表现出用户期望与技术需求各项指标之间的关联度,设计开发者更有效地计算各项技术需求指标重要度权重值之间的正负关联性,从而及时解决相应冲突。基于用户需求对飞机场等候座椅的各个技术指标展开分析,具体转换关系见表7。
根据表7用户需求与技术特性关系转换,可以将飞机场等候座椅分为骨架、构件、整体3个技术重点(图4)。其中,无线感应装置、椅面有效利用率比、结构稳定属于骨架部件的设计重点,椅面面积大、自动化装置、模块化属于构件部分的设计重点,符合人机工程学、安全系数高、占地面积大、造型简约、色彩搭配合理、环境友好、轻量化属于整体部分的设计重点。将综合需求权重和各项技术需求指标导入质量屋(HOQ),构建出质量屋模型。
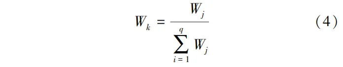
在质量屋的屋身矩阵图中分别用●(强相关)、◎(中等相关)、△(弱相关)将飞机场等候座椅用户需求与技术需求一一对应,其中●=5,◎=3,△=1,两两间空白处表示0相关。根据式(4)计算出技术需求重要度的绝对权重和相对权重:
式中:Wj为技术需求绝对权重; Wi为用户需求权重; Pij为相关性系数; Wk为技术需求相对权重。
将用户需求权重转换为技术需求权重,并分析机场座椅技术需求各指标两两间的正负关联度。标记在质量屋的屋顶,正关联性用“+”号表示,负关联性用“-”号表示(图5)。

从图5可以看出,在整个飞机场等候座椅的设计开发中,结构稳定(15.09)、符合人机工程学(14.85)、安全系数高(19.35)3个因素最重要,在设计中属于要着重考虑的第1阶梯考虑点; 自动化装置(8.32)、环境友好(6.57)、色彩搭配合理(5.93)、占地面积大(5.88)4个因素较为重要,属于第2阶梯考虑点,仍是设计开发中的重点; 无线感应装置(4.33)、椅面有效利用率比(4.76)、造型简约(4.97)、轻量化(4.24)一般重要,属于设计的第3阶梯考虑点; 椅面面积大(1.81)、模块化(3.88)次为重要,属于设计的第4阶梯考虑点。根据质量屋矩阵中产品特性的相关性分析,自动化技术与安全和造型,以及占地面积和轻量化存在相互冲突关系,下文将运用TIRZ理论的矛盾分析及冲突解决围绕以上几点展开。
3.1矛盾分析
在分析矛盾时,最常用的是TRIZ创新理论,它可以和QFD进行融合,从而直观地了解各项技术需求之间的正负相关性(图5)。其中以“负相关性”标识存在的矛盾冲突共有3对,对其进行解释分析。
1)矛盾1:椅面有效利用率比和椅面面积大,属于物理矛盾。相对于平整的曲面,椅面与人的接触面积会偏少,若是按照人体坐姿曲线设计座椅曲线,会将人和座椅完全贴合,增加椅面有效利用率。
2)矛盾2:结构稳定和符合人机工程学,属于物理矛盾。三角形具有稳定性,存在3个尖角,将座椅扶手的三角形态加以优化,结合人机工程学,将连接处做到圆滑。
3)矛盾3:安全系数高和轻量化,属于技术矛盾。座椅的安全系数是重点,因此在坐垫与框架之间加入金属背板以提高靠背抗压度,但整块金属板显得笨重,与轻量化成为一对矛盾。
将3对矛盾通过TRIZ相关原理分类成相应的技术矛盾与物理矛盾。技术矛盾采用查询矛盾矩阵表获得发明原理; 物理矛盾采用分离原理获得发明原理(表8)。
3.2矛盾解决
依据对应的发明原理,针对此3对矛盾冲突逐一寻找最适合的发明原理予以问题解决(表9)。在矛盾1“椅面有效利用率比-椅面面积大”中,采用14号原理——曲线曲面化原理,加大了人与座面的接触面积,提高了椅面的有效利用率比; 在矛盾2“结构稳定-符合人机工程学”中,采用14号原理——曲线曲面化原理,将原有稳定的三角形造型加以优化,将扶手的角度进行倾斜,更加符合人机工程学坐姿,整体连接处附加曲面; 在矛盾3“安全系数高-轻量化”中,将增加靠背稳定性的背板加以小孔,在减轻椅子质量的同时,也起到透气的作用。
结合QFD和TRIZ发明原理,对飞机场等候座椅进行创新设计。综合应用TRIZ解决矛盾原理,解决飞机场等候座椅的3个矛盾冲突,并对其结构、造型等方面进行创新,形成了飞机场等候座椅设计(图6),其三视图见图7。
该款飞机场等候座椅整体配色以黑色聚氨酯板为主,配备金属支撑架。为了解决稳定性问题,椅腿采用加粗的设计,增加承重能力; 背部配备两条支撑杆,提高了靠背的稳定性; 靠背和坐垫采用聚氨酯发泡材料包裹,曲线设计遵循阿克布罗姆的曲线,确保靠背与人体腰椎的自然弧度贴合,最大程度减少肌肉拉伤和不适感。座椅的曲线符合人体的坐姿,缓解人体疲劳。该座椅的扶手倾斜角度设计为8°,适合日常放置姿势。扶手、脚撑、靠背和所有支撑结构均采用不锈钢材料,呈现统一的视觉效果,适应机场的大环境,且易进行清洁。座椅整体都有设计倒角。区分传统飞机场座椅,靠背和坐垫之间的缝隙将移除,采用一体化设计。这一设计方案解决了安全性、稳定性和轻量化的问题,也进一步验证了分析的科学性和需求点的可行性。但目前聚氨酯材料的不可降解问题较为严重,是未来研究的重点。
为了验证AHP/QFD/TRIZ方法的可行性,对设计方案进行了主观满意度评价,仍然邀请2.1中参与的15位在飞机场有过长时间等待的旅客及5位从事机场等候椅设计工作的设计师进行新方案的评价。评分标准采用李克特量表,整数1~5分别对应很不满意、较不满意、中等满意、较满意、非常满意5个满意度等级,计算各项均值后归一化处理形成对照评估结果,数据表明方案达到产品优化预期。对比排名前10的设计因素可知,总体均呈现增长(图8)。
对于未来的飞机场等候座椅,智能化是一个大趋势,其在日常家具中出现的频率越来越高,也可以运用AHP、QFD、TRIZ的方法进行分析研究。无线电感应技术、对体温和心率等状况进行监测、可以调节靠椅座背角度、自动消毒模式、录入航班模式、登机时开启震动等都是可以考虑的方向。
同样,对于特殊人群也可以运用AHP、QFD进行信息汇总,再结合不同人群的需求进行设计。例如:对轮椅使用者,可以设计可翻转椅面以腾出空间给轮椅放置; 对于孕妇可以设置专门的加大座椅保证舒适性; 对于带有小孩的家长,可以设置亲子座位,将宝宝安全地放置在座位上; 对于听力障碍人士,可以设置显示屏和扶手震动来提醒登机; 对于视力障碍人士,可以在座椅扶手上刻上盲文,帮助他们确定座位,提供安心的候机体验。在此基础上,应用TRIZ理论解决矛盾,实现产品升级,进而获得更加舒适和人性化的机场等候座椅设计。