当前位置:首页>农业>Picarro G2509 分析仪在农业温室气体排放研究中的关键应用

Picarro G2509 分析仪在农业温室气体排放研究中的关键应用

  • 2026-05-23 14:12:08
Picarro G2509 分析仪在农业温室气体排放研究中的关键应用
点击 "比科技术"
关注我们!
 引 言 

全球气候变化已成为 21 世纪最严峻的环境挑战之一,而农业活动在这一过程中扮演着关键角色。根据政府间气候变化专门委员会(IPCC)的最新评估报告,农业部门贡献了全球约 23% 的温室气体排放,其中甲烷(CH4)和氧化亚氮(N2O)这两种强效温室气体的农业排放尤其值得关注。在畜牧业生产中,畜禽粪污管理是温室气体排放的主要来源之一,其排放量约占农业非 CO温室气体排放总量的26%。这一数据凸显了优化粪污处理技术对实现农业减排目标的重要性。

这项研究创新性地采用了中试规模的长期观测实验,结合高精度的气体在线监测技术,旨在全面评估固液分离技术对粪浆储存过程中温室气体排放的影响。研究特别关注了季节变化这一关键因素,通过对比冬季和夏季的排放特征,为制定全年性的粪污管理策略提供科学依据。这项研究不仅具有重要的理论价值,其研究成果还可直接指导农业减排实践,为相关政策制定提供可靠的数据支持。

 研 究 方 法 

研究使用了一套系统而严谨的实验方法来评估粪浆储存过程中的温室气体排放特征,其中 Picarro G2509 气体浓度分析仪的应用是研究的核心技术支撑。实验在丹麦奥胡斯大学实验农场进行,研究人员精心设计了包含四种不同处理的对比试验,分别是未分离猪粪浆、机械分离后的猪粪浆液体部分、未分离厌氧消化粪浆以及其分离液体部分,每种处理设置三个重复,共计 12 个试验单元,确保了数据的可靠性和代表性。

在气体监测方面,研究团队选择了 Picarro G2509 气体浓度分析仪光腔衰荡光谱(CRDS))作为核心监测设备,这一选择充分考虑了仪器的高精度、高稳定性和多气体同步检测能力等关键性能指标。该仪器能够同时精确测量甲烷(CH4)和氧化亚氮(N2O)两种重要温室气体的浓度,其检测范围分别达到 0.5-15 ppm 和 0-400 ppm,完全满足农业环境监测的需求。值得一提的是,仪器的自动采样系统通过 10 通阀实现了 4 个处理组和 2 个背景监测点的自动轮巡,每 30 分钟完成一个完整的监测周期,这种高频次的连续监测为捕捉气体排放的动态变化提供了坚实保障。

为确保监测数据的质量,研究团队建立了一套完整的质量控制体系。首先,根据大量预实验的结果,设定了严格的数据筛选标准,当 N2O 浓度低于 0.25 ppm 或 CH浓度低于 1.8 ppm 时,系统会自动识别并剔除这些可能受干扰的数据点。其次,定期进行的回收率测试结果显示,CH的回收率始终保持在 99% 以上,充分证明了整个监测系统的准确性和可靠性。这些严格的质量控制措施确保了最终获得的数据具有高度的可信度。

除了核心的气体监测外,研究还配套开展了多项辅助监测工作。温度是影响微生物活性的关键因素,为此研究人员在储罐的不同深度布置了 8 个高精度的 HOBO 温度记录仪,实时记录温度变化情况。在理化分析方面,创新性地采用了核磁共振法直接测定总氮和氨氮含量,这种方法避免了传统化学分析中的复杂前处理步骤;同时通过气相色谱分析了挥发性脂肪酸的组成,这些物质是产甲烷过程的重要前体。此外,还定期测量表面结壳的厚度变化和 pH 值等表观特征参数,为深入理解气体排放机制提供了多维度的数据支持。

 研 究 结 果 

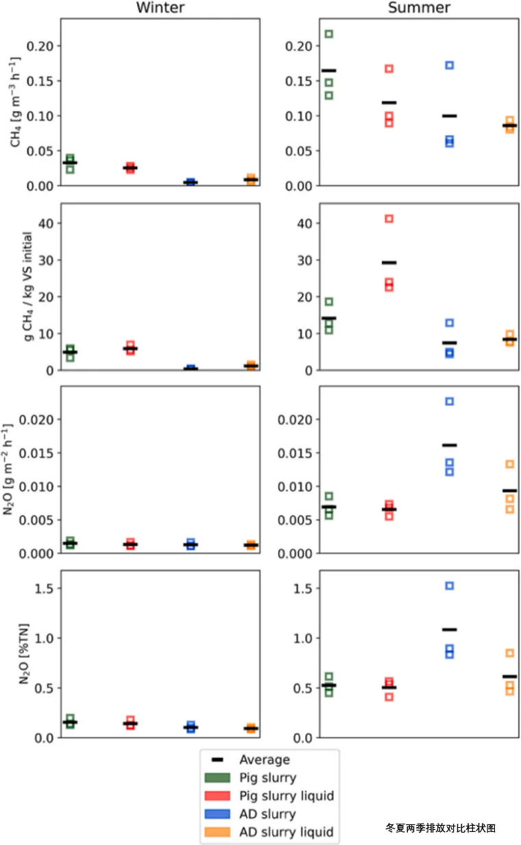
实验获得了大量详实的数据,揭示了粪浆储存过程中温室气体排放的复杂规律。在甲烷排放方面,研究发现固液分离处理产生了显著但非单一的影响。从绝对排放量来看,液体部分的 CH排放普遍低于未分离粪浆,这一现象在猪粪浆中表现尤为明显,夏季排放量降低了 28±39%。这一结果与分离过程去除了部分有机质的事实相符。然而,当以单位挥发性固体(VS)转化率作为评估指标时,却出现了相反的趋势:液体部分表现出显著更高的甲烷产生效率,猪粪浆液体部分在夏季增加了 106±84%,厌氧消化(AD)浆在冬季的增加幅度更是达到 207±89%。这种看似矛盾的现象通过 ABM 模型的深入分析得到了合理解释。模型显示,未分离粪浆由于具有较低的 pH 值(平均 6.82,而液体部分为 7.22)和较高浓度的挥发性脂肪酸积累,对产甲烷菌群落产生了更强的抑制作用。这一发现揭示了粪浆特性对微生物活性的重要调控作用。

温度变化对甲烷排放的影响同样引人注目。数据显示,夏季 CH排放强度普遍达到冬季的 4.6 倍(猪粪浆)至 21.4 倍(AD 浆),这种巨大差异直观反映了温度对微生物代谢活动的决定性影响。通过建立温度响应模型,研究人员进一步量化了这一关系:温度每升高 2℃,未分离猪粪浆的排放量就会增加 34%。这一结果不仅具有科学意义,也为预测气候变化背景下农业温室气体排放趋势提供了重要参数。值得注意的是,不同粪浆类型对温度变化的响应程度存在明显差异,AD 浆表现出更强的温度敏感性,这可能与其特殊的微生物群落组成有关。

氧化亚氮排放呈现出更为复杂的规律。研究发现在 AD 浆中,固液分离处理使  N2O 排放显著降低,夏季减少幅度达 42±44%;然而在猪粪浆中,分离处理却没有产生明显的减排效果。通过综合分析各项监测数据,研究人员将这种差异归因于表面结壳的形成特征。AD 浆在冬季能自然形成厚达 16cm 的致密表面结壳,而猪粪浆几乎不形成这种结壳结构。表面结壳通过创造交替的好氧-厌氧微环境,为硝化和反硝化过程的耦合提供了理想场所,从而促进 N2O 的产生。这一机制很好地解释了不同粪浆类型在分离处理后 N2O 排放差异的原因。

季节变化对氧化亚氮排放的影响同样显著。数据显示,夏季 N2O 排放强度达到冬季的 4.6 倍(猪粪浆)至 12.5 倍(AD 浆)。通过微观尺度研究发现,排放热点主要分布在粪浆-空气界面层,这里的氧气梯度变化最为剧烈,为硝化细菌和反硝化细菌的协同作用创造了条件。研究人员还注意到,降雨事件会显著影响 N2O 排放动态,这可能是由于水分变化改变了结壳的物理特性和内部氧气扩散条件。

ABM 模型的验证工作取得了预期成果。模型成功量化了各种环境参数的影响程度,特别是准确预测了 pH 值变化对排放的影响:pH 增加 0.3 个单位可以使未分离猪粪浆在夏季的 CH排放提升 45-48%。模型还揭示了初始微生物群落组成的重要性,不同来源粪浆中产甲烷菌活性的差异可能导致 30% 左右的排放变异。这些模拟结果与实测数据高度吻合,不仅验证了模型的可靠性,更深化了对粪浆储存过程的理解。模型分析还发现了一个有趣的现象:在储存初期,未分离粪浆中的产甲烷菌活性抑制程度比液体部分高 3.7-3.8%,而到储存后期,这一差异扩大到 18-30%。这一动态变化说明分离处理可能改变了有机质的降解路径和速率。

PICARRO G2509 气体浓度分析仪

监测畜牧业的 N2O、CH4、CO2、NH和 H2O

 结 论

这项研究通过 Picarro G2509 气体浓度分析仪的连续监测,系统揭示了粪浆储存过程中温室气体排放的关键规律。研究发现,固液分离技术虽然降低了单位体积甲烷排放,但显著提高了有机质的转化效率,这一发现为优化粪污管理策略提供了重要依据。研究特别强调了季节性差异的影响,夏季排放量占全年的 82-96%,这一结果凸显了针对不同季节采取差异化管理的必要性。

Picarro G2509 气体浓度分析仪在本研究中展现出卓越性能,其多气体同步监测能力、高时间分辨率和长期稳定性,为捕捉温室气体排放的动态特征提供了可靠技术支撑。仪器的高精度测量不仅验证了理论模型,更为深入理解排放机制提供了关键数据。

这些研究成果为制定科学的农业减排措施提供了重要参考,同时也展示了先进监测技术在环境研究中的关键价值。未来研究可在此基础上,进一步探索不同环境条件下的排放特征,为应对气候变化贡献更多解决方案。


原文链接:https://doi.org/10.1016/j.jenvman.2025.126333

关注 “比科技术”,获取最新信息和服务
PICARRO

官网

比科技术(北京)有限责任公司: 

🔗https://www.picarro.cn

最新文章

随机文章

基本 文件 流程 错误 SQL 调试
  1. 请求信息 : 2026-05-25 05:21:26 HTTP/2.0 GET : https://h.mffb.com.cn/a/497964.html
  2. 运行时间 : 0.304497s [ 吞吐率:3.28req/s ] 内存消耗:4,414.01kb 文件加载:140
  3. 缓存信息 : 0 reads,0 writes
  4. 会话信息 : SESSION_ID=154c8bb5d21593956f602239fda47a63
  1. /yingpanguazai/ssd/ssd1/www/h.mffb.com.cn/public/index.php ( 0.79 KB )
  2. /yingpanguazai/ssd/ssd1/www/h.mffb.com.cn/vendor/autoload.php ( 0.17 KB )
  3. /yingpanguazai/ssd/ssd1/www/h.mffb.com.cn/vendor/composer/autoload_real.php ( 2.49 KB )
  4. /yingpanguazai/ssd/ssd1/www/h.mffb.com.cn/vendor/composer/platform_check.php ( 0.90 KB )
  5. /yingpanguazai/ssd/ssd1/www/h.mffb.com.cn/vendor/composer/ClassLoader.php ( 14.03 KB )
  6. /yingpanguazai/ssd/ssd1/www/h.mffb.com.cn/vendor/composer/autoload_static.php ( 4.90 KB )
  7. /yingpanguazai/ssd/ssd1/www/h.mffb.com.cn/vendor/topthink/think-helper/src/helper.php ( 8.34 KB )
  8. /yingpanguazai/ssd/ssd1/www/h.mffb.com.cn/vendor/topthink/think-validate/src/helper.php ( 2.19 KB )
  9. /yingpanguazai/ssd/ssd1/www/h.mffb.com.cn/vendor/topthink/think-orm/src/helper.php ( 1.47 KB )
  10. /yingpanguazai/ssd/ssd1/www/h.mffb.com.cn/vendor/topthink/think-orm/stubs/load_stubs.php ( 0.16 KB )
  11. /yingpanguazai/ssd/ssd1/www/h.mffb.com.cn/vendor/topthink/framework/src/think/Exception.php ( 1.69 KB )
  12. /yingpanguazai/ssd/ssd1/www/h.mffb.com.cn/vendor/topthink/think-container/src/Facade.php ( 2.71 KB )
  13. /yingpanguazai/ssd/ssd1/www/h.mffb.com.cn/vendor/symfony/deprecation-contracts/function.php ( 0.99 KB )
  14. /yingpanguazai/ssd/ssd1/www/h.mffb.com.cn/vendor/symfony/polyfill-mbstring/bootstrap.php ( 8.26 KB )
  15. /yingpanguazai/ssd/ssd1/www/h.mffb.com.cn/vendor/symfony/polyfill-mbstring/bootstrap80.php ( 9.78 KB )
  16. /yingpanguazai/ssd/ssd1/www/h.mffb.com.cn/vendor/symfony/var-dumper/Resources/functions/dump.php ( 1.49 KB )
  17. /yingpanguazai/ssd/ssd1/www/h.mffb.com.cn/vendor/topthink/think-dumper/src/helper.php ( 0.18 KB )
  18. /yingpanguazai/ssd/ssd1/www/h.mffb.com.cn/vendor/symfony/var-dumper/VarDumper.php ( 4.30 KB )
  19. /yingpanguazai/ssd/ssd1/www/h.mffb.com.cn/vendor/topthink/framework/src/think/App.php ( 15.30 KB )
  20. /yingpanguazai/ssd/ssd1/www/h.mffb.com.cn/vendor/topthink/think-container/src/Container.php ( 15.76 KB )
  21. /yingpanguazai/ssd/ssd1/www/h.mffb.com.cn/vendor/psr/container/src/ContainerInterface.php ( 1.02 KB )
  22. /yingpanguazai/ssd/ssd1/www/h.mffb.com.cn/app/provider.php ( 0.19 KB )
  23. /yingpanguazai/ssd/ssd1/www/h.mffb.com.cn/vendor/topthink/framework/src/think/Http.php ( 6.04 KB )
  24. /yingpanguazai/ssd/ssd1/www/h.mffb.com.cn/vendor/topthink/think-helper/src/helper/Str.php ( 7.29 KB )
  25. /yingpanguazai/ssd/ssd1/www/h.mffb.com.cn/vendor/topthink/framework/src/think/Env.php ( 4.68 KB )
  26. /yingpanguazai/ssd/ssd1/www/h.mffb.com.cn/app/common.php ( 0.03 KB )
  27. /yingpanguazai/ssd/ssd1/www/h.mffb.com.cn/vendor/topthink/framework/src/helper.php ( 18.78 KB )
  28. /yingpanguazai/ssd/ssd1/www/h.mffb.com.cn/vendor/topthink/framework/src/think/Config.php ( 5.54 KB )
  29. /yingpanguazai/ssd/ssd1/www/h.mffb.com.cn/config/app.php ( 0.95 KB )
  30. /yingpanguazai/ssd/ssd1/www/h.mffb.com.cn/config/cache.php ( 0.78 KB )
  31. /yingpanguazai/ssd/ssd1/www/h.mffb.com.cn/config/console.php ( 0.23 KB )
  32. /yingpanguazai/ssd/ssd1/www/h.mffb.com.cn/config/cookie.php ( 0.56 KB )
  33. /yingpanguazai/ssd/ssd1/www/h.mffb.com.cn/config/database.php ( 2.48 KB )
  34. /yingpanguazai/ssd/ssd1/www/h.mffb.com.cn/vendor/topthink/framework/src/think/facade/Env.php ( 1.67 KB )
  35. /yingpanguazai/ssd/ssd1/www/h.mffb.com.cn/config/filesystem.php ( 0.61 KB )
  36. /yingpanguazai/ssd/ssd1/www/h.mffb.com.cn/config/lang.php ( 0.91 KB )
  37. /yingpanguazai/ssd/ssd1/www/h.mffb.com.cn/config/log.php ( 1.35 KB )
  38. /yingpanguazai/ssd/ssd1/www/h.mffb.com.cn/config/middleware.php ( 0.19 KB )
  39. /yingpanguazai/ssd/ssd1/www/h.mffb.com.cn/config/route.php ( 1.89 KB )
  40. /yingpanguazai/ssd/ssd1/www/h.mffb.com.cn/config/session.php ( 0.57 KB )
  41. /yingpanguazai/ssd/ssd1/www/h.mffb.com.cn/config/trace.php ( 0.34 KB )
  42. /yingpanguazai/ssd/ssd1/www/h.mffb.com.cn/config/view.php ( 0.82 KB )
  43. /yingpanguazai/ssd/ssd1/www/h.mffb.com.cn/app/event.php ( 0.25 KB )
  44. /yingpanguazai/ssd/ssd1/www/h.mffb.com.cn/vendor/topthink/framework/src/think/Event.php ( 7.67 KB )
  45. /yingpanguazai/ssd/ssd1/www/h.mffb.com.cn/app/service.php ( 0.13 KB )
  46. /yingpanguazai/ssd/ssd1/www/h.mffb.com.cn/app/AppService.php ( 0.26 KB )
  47. /yingpanguazai/ssd/ssd1/www/h.mffb.com.cn/vendor/topthink/framework/src/think/Service.php ( 1.64 KB )
  48. /yingpanguazai/ssd/ssd1/www/h.mffb.com.cn/vendor/topthink/framework/src/think/Lang.php ( 7.35 KB )
  49. /yingpanguazai/ssd/ssd1/www/h.mffb.com.cn/vendor/topthink/framework/src/lang/zh-cn.php ( 13.70 KB )
  50. /yingpanguazai/ssd/ssd1/www/h.mffb.com.cn/vendor/topthink/framework/src/think/initializer/Error.php ( 3.31 KB )
  51. /yingpanguazai/ssd/ssd1/www/h.mffb.com.cn/vendor/topthink/framework/src/think/initializer/RegisterService.php ( 1.33 KB )
  52. /yingpanguazai/ssd/ssd1/www/h.mffb.com.cn/vendor/services.php ( 0.14 KB )
  53. /yingpanguazai/ssd/ssd1/www/h.mffb.com.cn/vendor/topthink/framework/src/think/service/PaginatorService.php ( 1.52 KB )
  54. /yingpanguazai/ssd/ssd1/www/h.mffb.com.cn/vendor/topthink/framework/src/think/service/ValidateService.php ( 0.99 KB )
  55. /yingpanguazai/ssd/ssd1/www/h.mffb.com.cn/vendor/topthink/framework/src/think/service/ModelService.php ( 2.04 KB )
  56. /yingpanguazai/ssd/ssd1/www/h.mffb.com.cn/vendor/topthink/think-trace/src/Service.php ( 0.77 KB )
  57. /yingpanguazai/ssd/ssd1/www/h.mffb.com.cn/vendor/topthink/framework/src/think/Middleware.php ( 6.72 KB )
  58. /yingpanguazai/ssd/ssd1/www/h.mffb.com.cn/vendor/topthink/framework/src/think/initializer/BootService.php ( 0.77 KB )
  59. /yingpanguazai/ssd/ssd1/www/h.mffb.com.cn/vendor/topthink/think-orm/src/Paginator.php ( 11.86 KB )
  60. /yingpanguazai/ssd/ssd1/www/h.mffb.com.cn/vendor/topthink/think-validate/src/Validate.php ( 63.20 KB )
  61. /yingpanguazai/ssd/ssd1/www/h.mffb.com.cn/vendor/topthink/think-orm/src/Model.php ( 23.55 KB )
  62. /yingpanguazai/ssd/ssd1/www/h.mffb.com.cn/vendor/topthink/think-orm/src/model/concern/Attribute.php ( 21.05 KB )
  63. /yingpanguazai/ssd/ssd1/www/h.mffb.com.cn/vendor/topthink/think-orm/src/model/concern/AutoWriteData.php ( 4.21 KB )
  64. /yingpanguazai/ssd/ssd1/www/h.mffb.com.cn/vendor/topthink/think-orm/src/model/concern/Conversion.php ( 6.44 KB )
  65. /yingpanguazai/ssd/ssd1/www/h.mffb.com.cn/vendor/topthink/think-orm/src/model/concern/DbConnect.php ( 5.16 KB )
  66. /yingpanguazai/ssd/ssd1/www/h.mffb.com.cn/vendor/topthink/think-orm/src/model/concern/ModelEvent.php ( 2.33 KB )
  67. /yingpanguazai/ssd/ssd1/www/h.mffb.com.cn/vendor/topthink/think-orm/src/model/concern/RelationShip.php ( 28.29 KB )
  68. /yingpanguazai/ssd/ssd1/www/h.mffb.com.cn/vendor/topthink/think-helper/src/contract/Arrayable.php ( 0.09 KB )
  69. /yingpanguazai/ssd/ssd1/www/h.mffb.com.cn/vendor/topthink/think-helper/src/contract/Jsonable.php ( 0.13 KB )
  70. /yingpanguazai/ssd/ssd1/www/h.mffb.com.cn/vendor/topthink/think-orm/src/model/contract/Modelable.php ( 0.09 KB )
  71. /yingpanguazai/ssd/ssd1/www/h.mffb.com.cn/vendor/topthink/framework/src/think/Db.php ( 2.88 KB )
  72. /yingpanguazai/ssd/ssd1/www/h.mffb.com.cn/vendor/topthink/think-orm/src/DbManager.php ( 8.52 KB )
  73. /yingpanguazai/ssd/ssd1/www/h.mffb.com.cn/vendor/topthink/framework/src/think/Log.php ( 6.28 KB )
  74. /yingpanguazai/ssd/ssd1/www/h.mffb.com.cn/vendor/topthink/framework/src/think/Manager.php ( 3.92 KB )
  75. /yingpanguazai/ssd/ssd1/www/h.mffb.com.cn/vendor/psr/log/src/LoggerTrait.php ( 2.69 KB )
  76. /yingpanguazai/ssd/ssd1/www/h.mffb.com.cn/vendor/psr/log/src/LoggerInterface.php ( 2.71 KB )
  77. /yingpanguazai/ssd/ssd1/www/h.mffb.com.cn/vendor/topthink/framework/src/think/Cache.php ( 4.92 KB )
  78. /yingpanguazai/ssd/ssd1/www/h.mffb.com.cn/vendor/psr/simple-cache/src/CacheInterface.php ( 4.71 KB )
  79. /yingpanguazai/ssd/ssd1/www/h.mffb.com.cn/vendor/topthink/think-helper/src/helper/Arr.php ( 16.63 KB )
  80. /yingpanguazai/ssd/ssd1/www/h.mffb.com.cn/vendor/topthink/framework/src/think/cache/driver/File.php ( 7.84 KB )
  81. /yingpanguazai/ssd/ssd1/www/h.mffb.com.cn/vendor/topthink/framework/src/think/cache/Driver.php ( 9.03 KB )
  82. /yingpanguazai/ssd/ssd1/www/h.mffb.com.cn/vendor/topthink/framework/src/think/contract/CacheHandlerInterface.php ( 1.99 KB )
  83. /yingpanguazai/ssd/ssd1/www/h.mffb.com.cn/app/Request.php ( 0.09 KB )
  84. /yingpanguazai/ssd/ssd1/www/h.mffb.com.cn/vendor/topthink/framework/src/think/Request.php ( 55.78 KB )
  85. /yingpanguazai/ssd/ssd1/www/h.mffb.com.cn/app/middleware.php ( 0.25 KB )
  86. /yingpanguazai/ssd/ssd1/www/h.mffb.com.cn/vendor/topthink/framework/src/think/Pipeline.php ( 2.61 KB )
  87. /yingpanguazai/ssd/ssd1/www/h.mffb.com.cn/vendor/topthink/think-trace/src/TraceDebug.php ( 3.40 KB )
  88. /yingpanguazai/ssd/ssd1/www/h.mffb.com.cn/vendor/topthink/framework/src/think/middleware/SessionInit.php ( 1.94 KB )
  89. /yingpanguazai/ssd/ssd1/www/h.mffb.com.cn/vendor/topthink/framework/src/think/Session.php ( 1.80 KB )
  90. /yingpanguazai/ssd/ssd1/www/h.mffb.com.cn/vendor/topthink/framework/src/think/session/driver/File.php ( 6.27 KB )
  91. /yingpanguazai/ssd/ssd1/www/h.mffb.com.cn/vendor/topthink/framework/src/think/contract/SessionHandlerInterface.php ( 0.87 KB )
  92. /yingpanguazai/ssd/ssd1/www/h.mffb.com.cn/vendor/topthink/framework/src/think/session/Store.php ( 7.12 KB )
  93. /yingpanguazai/ssd/ssd1/www/h.mffb.com.cn/vendor/topthink/framework/src/think/Route.php ( 23.73 KB )
  94. /yingpanguazai/ssd/ssd1/www/h.mffb.com.cn/vendor/topthink/framework/src/think/route/RuleName.php ( 5.75 KB )
  95. /yingpanguazai/ssd/ssd1/www/h.mffb.com.cn/vendor/topthink/framework/src/think/route/Domain.php ( 2.53 KB )
  96. /yingpanguazai/ssd/ssd1/www/h.mffb.com.cn/vendor/topthink/framework/src/think/route/RuleGroup.php ( 22.43 KB )
  97. /yingpanguazai/ssd/ssd1/www/h.mffb.com.cn/vendor/topthink/framework/src/think/route/Rule.php ( 26.95 KB )
  98. /yingpanguazai/ssd/ssd1/www/h.mffb.com.cn/vendor/topthink/framework/src/think/route/RuleItem.php ( 9.78 KB )
  99. /yingpanguazai/ssd/ssd1/www/h.mffb.com.cn/route/app.php ( 1.72 KB )
  100. /yingpanguazai/ssd/ssd1/www/h.mffb.com.cn/vendor/topthink/framework/src/think/facade/Route.php ( 4.70 KB )
  101. /yingpanguazai/ssd/ssd1/www/h.mffb.com.cn/vendor/topthink/framework/src/think/route/dispatch/Controller.php ( 4.74 KB )
  102. /yingpanguazai/ssd/ssd1/www/h.mffb.com.cn/vendor/topthink/framework/src/think/route/Dispatch.php ( 10.44 KB )
  103. /yingpanguazai/ssd/ssd1/www/h.mffb.com.cn/app/controller/Index.php ( 4.81 KB )
  104. /yingpanguazai/ssd/ssd1/www/h.mffb.com.cn/app/BaseController.php ( 2.05 KB )
  105. /yingpanguazai/ssd/ssd1/www/h.mffb.com.cn/vendor/topthink/think-orm/src/facade/Db.php ( 0.93 KB )
  106. /yingpanguazai/ssd/ssd1/www/h.mffb.com.cn/vendor/topthink/think-orm/src/db/connector/Mysql.php ( 5.44 KB )
  107. /yingpanguazai/ssd/ssd1/www/h.mffb.com.cn/vendor/topthink/think-orm/src/db/PDOConnection.php ( 52.47 KB )
  108. /yingpanguazai/ssd/ssd1/www/h.mffb.com.cn/vendor/topthink/think-orm/src/db/Connection.php ( 8.39 KB )
  109. /yingpanguazai/ssd/ssd1/www/h.mffb.com.cn/vendor/topthink/think-orm/src/db/ConnectionInterface.php ( 4.57 KB )
  110. /yingpanguazai/ssd/ssd1/www/h.mffb.com.cn/vendor/topthink/think-orm/src/db/builder/Mysql.php ( 16.58 KB )
  111. /yingpanguazai/ssd/ssd1/www/h.mffb.com.cn/vendor/topthink/think-orm/src/db/Builder.php ( 24.06 KB )
  112. /yingpanguazai/ssd/ssd1/www/h.mffb.com.cn/vendor/topthink/think-orm/src/db/BaseBuilder.php ( 27.50 KB )
  113. /yingpanguazai/ssd/ssd1/www/h.mffb.com.cn/vendor/topthink/think-orm/src/db/Query.php ( 15.71 KB )
  114. /yingpanguazai/ssd/ssd1/www/h.mffb.com.cn/vendor/topthink/think-orm/src/db/BaseQuery.php ( 45.13 KB )
  115. /yingpanguazai/ssd/ssd1/www/h.mffb.com.cn/vendor/topthink/think-orm/src/db/concern/TimeFieldQuery.php ( 7.43 KB )
  116. /yingpanguazai/ssd/ssd1/www/h.mffb.com.cn/vendor/topthink/think-orm/src/db/concern/AggregateQuery.php ( 3.26 KB )
  117. /yingpanguazai/ssd/ssd1/www/h.mffb.com.cn/vendor/topthink/think-orm/src/db/concern/ModelRelationQuery.php ( 20.07 KB )
  118. /yingpanguazai/ssd/ssd1/www/h.mffb.com.cn/vendor/topthink/think-orm/src/db/concern/ParamsBind.php ( 3.66 KB )
  119. /yingpanguazai/ssd/ssd1/www/h.mffb.com.cn/vendor/topthink/think-orm/src/db/concern/ResultOperation.php ( 7.01 KB )
  120. /yingpanguazai/ssd/ssd1/www/h.mffb.com.cn/vendor/topthink/think-orm/src/db/concern/WhereQuery.php ( 19.37 KB )
  121. /yingpanguazai/ssd/ssd1/www/h.mffb.com.cn/vendor/topthink/think-orm/src/db/concern/JoinAndViewQuery.php ( 7.11 KB )
  122. /yingpanguazai/ssd/ssd1/www/h.mffb.com.cn/vendor/topthink/think-orm/src/db/concern/TableFieldInfo.php ( 2.63 KB )
  123. /yingpanguazai/ssd/ssd1/www/h.mffb.com.cn/vendor/topthink/think-orm/src/db/concern/Transaction.php ( 2.77 KB )
  124. /yingpanguazai/ssd/ssd1/www/h.mffb.com.cn/vendor/topthink/framework/src/think/log/driver/File.php ( 5.96 KB )
  125. /yingpanguazai/ssd/ssd1/www/h.mffb.com.cn/vendor/topthink/framework/src/think/contract/LogHandlerInterface.php ( 0.86 KB )
  126. /yingpanguazai/ssd/ssd1/www/h.mffb.com.cn/vendor/topthink/framework/src/think/log/Channel.php ( 3.89 KB )
  127. /yingpanguazai/ssd/ssd1/www/h.mffb.com.cn/vendor/topthink/framework/src/think/event/LogRecord.php ( 1.02 KB )
  128. /yingpanguazai/ssd/ssd1/www/h.mffb.com.cn/vendor/topthink/think-helper/src/Collection.php ( 16.47 KB )
  129. /yingpanguazai/ssd/ssd1/www/h.mffb.com.cn/vendor/topthink/framework/src/think/facade/View.php ( 1.70 KB )
  130. /yingpanguazai/ssd/ssd1/www/h.mffb.com.cn/vendor/topthink/framework/src/think/View.php ( 4.39 KB )
  131. /yingpanguazai/ssd/ssd1/www/h.mffb.com.cn/vendor/topthink/framework/src/think/Response.php ( 8.81 KB )
  132. /yingpanguazai/ssd/ssd1/www/h.mffb.com.cn/vendor/topthink/framework/src/think/response/View.php ( 3.29 KB )
  133. /yingpanguazai/ssd/ssd1/www/h.mffb.com.cn/vendor/topthink/framework/src/think/Cookie.php ( 6.06 KB )
  134. /yingpanguazai/ssd/ssd1/www/h.mffb.com.cn/vendor/topthink/think-view/src/Think.php ( 8.38 KB )
  135. /yingpanguazai/ssd/ssd1/www/h.mffb.com.cn/vendor/topthink/framework/src/think/contract/TemplateHandlerInterface.php ( 1.60 KB )
  136. /yingpanguazai/ssd/ssd1/www/h.mffb.com.cn/vendor/topthink/think-template/src/Template.php ( 46.61 KB )
  137. /yingpanguazai/ssd/ssd1/www/h.mffb.com.cn/vendor/topthink/think-template/src/template/driver/File.php ( 2.41 KB )
  138. /yingpanguazai/ssd/ssd1/www/h.mffb.com.cn/vendor/topthink/think-template/src/template/contract/DriverInterface.php ( 0.86 KB )
  139. /yingpanguazai/ssd/ssd1/www/h.mffb.com.cn/runtime/temp/32b793ebdcbdb96aeb8bb24c123b0bef.php ( 11.98 KB )
  140. /yingpanguazai/ssd/ssd1/www/h.mffb.com.cn/vendor/topthink/think-trace/src/Html.php ( 4.42 KB )
  1. CONNECT:[ UseTime:0.000664s ] mysql:host=127.0.0.1;port=3306;dbname=h_mffb;charset=utf8mb4
  2. SHOW FULL COLUMNS FROM `fenlei` [ RunTime:0.000671s ]
  3. SELECT * FROM `fenlei` WHERE `fid` = 0 [ RunTime:0.000307s ]
  4. SELECT * FROM `fenlei` WHERE `fid` = 63 [ RunTime:0.006214s ]
  5. SHOW FULL COLUMNS FROM `set` [ RunTime:0.000684s ]
  6. SELECT * FROM `set` [ RunTime:0.012876s ]
  7. SHOW FULL COLUMNS FROM `article` [ RunTime:0.000963s ]
  8. SELECT * FROM `article` WHERE `id` = 497964 LIMIT 1 [ RunTime:0.000983s ]
  9. UPDATE `article` SET `lasttime` = 1779657686 WHERE `id` = 497964 [ RunTime:0.021374s ]
  10. SELECT * FROM `fenlei` WHERE `id` = 64 LIMIT 1 [ RunTime:0.001585s ]
  11. SELECT * FROM `article` WHERE `id` < 497964 ORDER BY `id` DESC LIMIT 1 [ RunTime:0.012043s ]
  12. SELECT * FROM `article` WHERE `id` > 497964 ORDER BY `id` ASC LIMIT 1 [ RunTime:0.008532s ]
  13. SELECT * FROM `article` WHERE `id` < 497964 ORDER BY `id` DESC LIMIT 10 [ RunTime:0.021317s ]
  14. SELECT * FROM `article` WHERE `id` < 497964 ORDER BY `id` DESC LIMIT 10,10 [ RunTime:0.005132s ]
  15. SELECT * FROM `article` WHERE `id` < 497964 ORDER BY `id` DESC LIMIT 20,10 [ RunTime:0.061204s ]
0.308268s