
拟轮枝镰孢菌(Fusarium verticillioides)是一种丝状子囊真菌,可引起玉米(Zea mays L.)穗腐病和茎腐病,是全球玉米生产中最具破坏性的病害之一,会显著降低谷物产量,并因籽粒被伏马菌素污染而影响质量,对人类和动物健康构成严重威胁。2025年8月26日,中国农业大学Vijai Bhadauria课题组在Cell reports期刊发表题为The Fusarium verticillioides minichromosome negatively regulates the biosynthesis of carcinogenic fumonisins during maize infection的研究论文。该研究揭示了拟轮枝镰孢菌中存在菌株特异性的 “必需微染色体” Chr12,它负调控玉米侵染过程中的伏马菌素产生以及对氧化和盐胁迫的适应,同时正向调控真菌生长和无性繁殖,但是Chr12不调控玉米上的茎腐病和叶枯病。


图1 拟轮枝镰孢菌FvSZ22菌株基因组的染色体结构及其与Fv7600菌株的同源关系

图2 拟轮枝镰孢菌FvSZ22微染色体Chr12的靶向缺失

图3Chr12突变体与MAT2菌株LNF15-11交配来恢复Chr12的完整性

图4拟轮枝镰孢菌FvSZ22微染色体Chr12对侵染植物是不必要的,但对真菌的生长和发育是不可或缺的

图5 拟轮枝镰孢菌FvSZ22微染色体Chr12负调控对氧化和盐胁迫的耐受性

图6 拟轮枝镰孢菌FvSZ22微染色体Chr12在玉米籽粒感染期间负调控籽粒腐烂和伏马菌素的产生

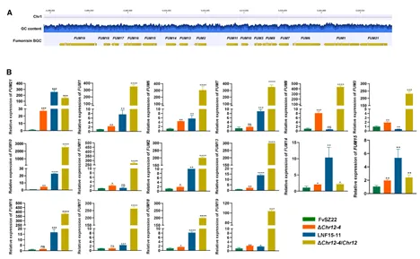
图7 拟轮枝镰孢菌FvSZ22微染色体Chr12对FBGC的负调控
总之,Chr12在真菌生长、无性繁殖、环境胁迫适应和伏马菌素产生中发挥关键作用,但对真菌在玉米上的毒力并非必需。Chr12作为胁迫耐受性和伏马菌素生物合成的负调控因子,为通过遗传操作减少玉米中真菌毒素污染提供了潜在靶点。这些发现有助于我们更广泛地理解真菌微染色体的遗传和功能多样性,以及它们对真菌适应和毒力/致病性的影响。
中国农业大学植物保护学院博士研究生李光军为论文第一作者,Vijai Bhadauria教授为通讯作者,中国农业大学植物保护学院研究生高新颖、张曼玉、杨于莹,中国农业大学植物保护学院杨俊教授、赵文生教授、彭友良教授,沈阳农业大学张世宏教授参与了该项研究,中国农业科学院农产品加工所郭维教授提供了帮助。该研究得到了国家自然科学基金面上项目中国农业大学高层次人才引进项目等资助。
论文链接:https://www.sciencedirect.com/science/article/pii/S2211124725008332
注:获取论文原文请点击左下方的“阅读原文”。
历史文章阅读:
5. Nature Plants|青岛农业大学梁文星团队揭示尖孢镰刀菌致病及番茄“御敌”的新机制
6. mBio:中国农业科学院植物保护研究所郭立华研究团队揭示真菌DNA病毒FgGMTV1无症状侵染关键因子
7. mBio|山西农业大学/华中农业大学合作揭示内源RNA病毒SsEV3与核盘菌互作的分子机制
