当前位置:首页>林业>《林业科学》前沿热点|近自然化改造对马尾松和杉木人工林有机碳化学稳定性的影响

《林业科学》前沿热点|近自然化改造对马尾松和杉木人工林有机碳化学稳定性的影响

  • 2026-05-18 03:11:35
《林业科学》前沿热点|近自然化改造对马尾松和杉木人工林有机碳化学稳定性的影响

编者按

森林是地球陆地生态系统最大的“碳储库”,约占陆地碳库的40%,而人工林在固碳增汇、缓解气候变化中扮演着关键角色。我国南亚热带广泛分布的马尾松、杉木人工林,因长期纯林经营面临着地力退化、碳汇稳定性不足等问题。“近自然化改造”作为优化人工林结构的重要手段,通过疏伐补植乡土阔叶树,构建混交林生态系统,被寄予提升碳汇能力的厚望。

但一个关键问题始终悬而未决:近自然化改造对不同树种人工林的碳库稳定性影响是否一致?土壤有机碳的“稳定密码”又藏在何处?中国林业科学研究院热带林业实验中心明安刚研究员团队撰写的《近自然化改造对马尾松和杉木人工林有机碳化学稳定性的影响》在本刊2025年第11期刊出,该文聚焦马尾松与杉木两种核心针叶树种,通过解析土壤、凋落物、细根的有机碳化学组分及其与生物非生物环境之间的相关作用关系,揭开了近自然化改造与碳稳定性的“树种特异性”规律——原来并非所有人工林都能通过同一改造模式实现碳汇提质。这一发现提醒我们:在推行近自然化改造时,“因地制宜、因树种施策” 尤为重要。

近自然化改造对马尾松和杉木人工林有机碳化学稳定性的影响

舒韦维 明安刚* 杨坤 李华 闵惠琳 陶怡 李忠国 韦菊玲 刘世荣

中国林业科学研究院热带林业实验中心

中国林业科学研究院森林生态环境与自然保护研究所

广西友谊关森林生态系统定位观测研究站

目的

探究近自然化改造对南亚热带针叶人工林土壤有机碳化学组分及其分布均匀性的影响,为揭示针叶人工林近自然经营土壤有机碳化学稳定性机制提供参考依据。

方法

以经过疏伐后在林下补植乡土阔叶树(大叶栎和格木)的马尾松和杉木近自然化改造林及未改造纯林(包括马尾松改造林、杉木改造林、马尾松对照林和杉木对照林)为对象,采用¹³C核磁共振技术系统分析土壤、凋落物和细根的有机碳化学组分(烷基碳、氧烷基碳、芳香碳、羰基碳),并利用Pieou均匀度指数评估土壤、凋落物和细根总有机碳中各类有机碳组分分布的均匀程度。

结果

(1)近自然化改造可显著改变马尾松林凋落物、细根和土壤有机碳化学组分:凋落物中,烷基碳比例提高,而氧烷基碳和芳香碳比例降低;细根中,烷基碳比例提高,芳香碳比例降低;土壤中,烷基碳比例提高,烷基碳比例降低(P<0.05);然而,近自然化改造对杉木人工林凋落物、细根和土壤中的各有机碳化学组分均无显著影响。

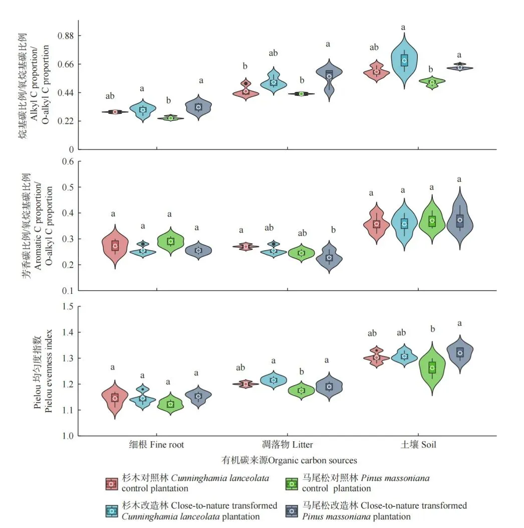
(2)马尾松改造林土壤、凋落物和细根的烷基碳比例/氧烷基碳比例比值以及凋落物、土壤Pielou 均匀度指数均显著提高。

(3)近自然化改造可显著增加土壤微生物生物量碳,但并未显著影响土壤细菌 Chao1多样性指数和 Shannon-Wiener 多样性指数。

(4)RDA分析表明,细根烷基碳比例和氧烷基碳比例是影响土壤有机碳化学组分最关键的2个因子,说明与凋落物相比,细根有机碳化学组分是导致纯林和改造林土壤有机碳化学组分差异的关键因素。

结论

近自然化改造对土壤有机碳化学稳定性的影响具有明显的树种特异性:马尾松林改造后土壤有机碳化学组分分布更均匀,烷基碳比例及烷基碳比例/氧烷基碳比例比值显著提升,有效增强了有机碳的化学稳定性,而杉木林改造后未产生类似效应。

前言

全球气候变化背景下,我国南亚热带马尾松和杉木人工林因连续大面积皆伐轮作,面临着地力退化、生产力下降和病虫害频发等严峻挑战,而结构单一的纯林生态系统稳定性与气候适应韧性不足。近自然化改造作为关键的森林经营策略,通过疏伐结合补植乡土阔叶树构建针阔异龄混交林,可优化林分结构、维持土壤肥力,提升森林固碳增汇能力及有机碳稳定性。土壤有机碳的化学稳定性是森林碳汇功能的核心保障,与树种多样性及有机碳组分特征密切相关,但以往研究对单一树种人工纯林改造为异龄混交林后,土壤有机碳化学稳定性的变化及内在机制仍需深入探讨。因此,本研究以马尾松、杉木近自然化改造林及其未改造纯林为对象,采用¹³C核磁共振技术等方法,分析土壤、凋落物和细根的有机碳化学组分及分布均匀性,明确影响土壤有机碳化学组成的关键因素,以期为针叶人工林近自然经营中土壤碳库稳定性提升提供科学依据。

实验林航拍图

1

材料和方法

以广西友谊关森林生态系统定位观测研究站1993 年营造的马尾松、杉木纯林为基础,2007 年实施近自然化改造(疏伐后补植大叶栎、格木),设置改造林与纯林(对照)共 4 种林分,改造林采用疏伐(保留600株・hm⁻²)+补植乡土阔叶树(大叶栎、格木各300株・hm⁻²),对照林仅常规间伐保留1200株・hm⁻²。在每个林分中采集土壤、细根和凋落物,测定土壤理化性质、微生物生物量碳氮、微生物多样性;采用 ¹³C 核磁共振技术测定土壤、凋落物和细根有机碳化学组分;用 Pielou 均匀度指数评估分布均匀性。

杉木对照林(CCK)

马尾松对照林(PCK)

杉木改造林(CCN)

马尾松改造林(PCN)

2

结果与分析

2.1 土壤化学性质及细菌多样性

与杉木对照林相比,杉木改造林土壤的NH4+-N和MBC含量分别显著增加103.46%和33.32% (P<0.05),而SOC含量、TN含量、TP含量、AP含量、MBN含量、细菌Chao1多样性指数、Shannon-Wiener多样性指数及FRB无显著改变(P<0.05)。与马尾松对照林相比,马尾松改造林的AP含量显著降低21.10%(P<0.05),NO3--N含量、NH4+-N含量、MBC、MBN含量和FRB分别显著增加121.54%、118.91%、28.90%、36.42%和37.82%(P<0.05),并未改变SOC含量、TN含量、TP含量、土壤细菌Chao1多样性指数和Shannon-Wiener多样性指数。

2.2 植物和土壤有机碳的化学组成

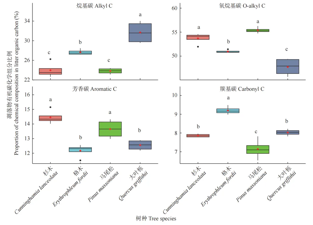
4个树种的凋落物和细根样品的有机碳化学组分均存在显著差异(P<0.05)。凋落物中,烷基碳比例表现为大叶栎>格木>马尾松>杉木;氧烷基碳比例表现为马尾松>杉木>格木>大叶栎;芳香碳比例表现为杉木>马尾松>大叶栎>格木;羰基碳比例表现为格木>大叶栎>杉木>马尾松。其中,大叶栎和格木的烷基碳、羰基碳比例显著高于马尾松和杉木,芳香碳、氧烷基碳比例显著低于马尾松和杉木(P<0.05)。

细根中,烷基碳比例表现为格木>大叶栎>杉木>马尾松;氧烷基碳比例表现为大叶栎>马尾松>杉木>格木;芳香碳比例表现为马尾松>杉木>格木>大叶栎;羰基碳比例表现为杉木>大叶栎>马尾松>格木。其中,格木烷基碳比例显著高于其他树种,马尾松芳香碳比例显著高于格木和大叶栎,格木氧烷基碳比例显著低于大叶栎和马尾松(P<0.05);羰基碳比例在4个树种中无显著差异(P>0.05)。

图1 不同树种凋落物和细根有机碳化学组分

马尾松改造林显著提高了凋落物、细根和土壤中烷基碳的比例,显著降低了凋落物和土壤中氧烷基碳的比例,以及细根和凋落物中芳香碳的比例(P<0.05)。然而,近自然化改造对杉木凋落物、细根和土壤中的各有机碳化学组分没有显著影响。

马尾松改造林的土壤、凋落物和细根的烷基碳比例/氧烷基碳比例比值显著高于马尾松对照林(P<0.05);此外,马尾松改造林的凋落物和土壤Pielou均匀度指数也显著高于马尾松对照林。

图2 4种人工林中调落物、细根、土壤有机碳化学组分

图3 4种人工林中烷基碳比例/氧烷基碳比例、芳香碳比例/氧烷基碳比例以及各有机碳组分的分布均匀性差异

2.3 影响土壤有机碳化学组分的因素

凋落物和细根的有机碳化学组分对SOC化学组分有显著影响。土壤烷基碳比例与凋落物烷基碳比例、凋落物烷基碳比例/氧烷基碳比例、细根烷基碳比例、细根烷基碳比例/氧烷基碳比例以及细根Pielou均匀度指数呈显著正相关(P<0.05),与凋落物氧烷基碳比例和细根氧烷基碳比例呈显著负相关(P<0.05)。土壤氧烷基碳比例与凋落物氧烷基碳比例、细根芳香碳比例和细根芳香碳比例/氧烷基碳比例呈显著正相关(P<0.05),与凋落物羰基碳比例、凋落物Pielou均匀度指数、细根烷基碳比例和细根烷基碳比例/氧烷基碳比例呈显著负相关(P<0.05)。土壤羰基碳比例与细根芳香碳比例和细根芳香碳比例/氧烷基碳比例呈显著负相关(P<0.05)。

图4 土壤有机碳化学组分比例与植物微生物指标之间的相关性

线性回归结果表明,4种森林中凋落物和细根的烷基碳比例/氧烷基碳比例比值均与土壤烷基碳比例/氧烷基碳比例比值正相关。随机森林分析表明,烷基碳比例主要受NO3--N含量、AP含量和TN含量的影响;氧烷基碳比例主要由土壤TP含量决定;而羰基碳比例则显著取决于土壤AP含量。

RDA分析结果表明,第一轴共解释了61.7%的变异,第二轴解释了21.4%的变异;置换检验表明,土壤有机碳组分与细根烷基碳比例(F=9.2,P=0.002)、细根氧烷基碳比例(F=2.9,P=0.036)显著相关。其中,细根烷基碳比例与土壤羰基碳比例显著正相关,细根氧烷基碳比例与土壤芳香碳比例显著正相关。

图5 4种人工林土壤有机碳化学组分与细根有机碳化学组分 之间的冗余分析(RDA)

3

结论

马尾松近自然化改造后,SOC化学组分的分布比未改造的纯林更均匀,SOC中的稳定性有机碳组分(烷基碳比例)以及表征碳稳定性的关键指标(烷基碳比例/氧烷基碳比例)显著提高。这表明马尾松林的近自然化改造有助于增强SOC的化学稳定性会降低其分解的潜在风险。然而,杉木纯林近自然化改造后SOC化学组分、分布均匀性均无显著影响表明近自然化改造并未提升杉木林SOC的化学稳定性。此外,与凋落物和微生物相比,细根有机碳的化学组分是导致改造林和未改造林之间SOC化学组分差异的关键因素。综上所述,近自然化改造对土壤碳化学稳定性的提升效应因树种而异。在马尾松人工林的经营中,近自然化改造是一种提升土壤固碳能力和稳定性的有效策略:而对于杉木人工林,则需探索其他更有效的管理措施。因此,在未来的森林管理实践中,应充分考虑树种特异性,依据不同树种的生态特性和功能差异进行科学配置,以精准提升森林土壤的碳汇潜力及碳稳定性。

团队简介

中国林业科学研究院热带林业实验中心明安刚研究员团队长期聚焦南亚热带人工林生态修复与碳汇研究,以广西友谊关森林生态系统定位观测研究站为天然实验场,持续开展人工林近自然化改造及其生态功能长期定位监测。本研究揭示了针叶人工林碳稳定性对近自然化改造的树种响应机制,相关成果为“碳中和”目标下森林经营策略的精准制定提供了量化参考,研究得到国家自然科学基金、广西林业科技推广示范项目等支持。

团队主要成员合影

引文格式

舒韦维,明安刚*,杨坤,李华,闵惠琳,陶怡,李忠国,韦菊玲,刘世荣. 2025. 近自然化改造对马尾松和杉木人工林土壤有机碳化学稳定性的影响. 林业科学,61(11):1–13.

责任编辑:于静娴

图文制作:张羽彤

     张博文

统筹策划:王艳娜

审  校:朱乾坤

阅读原文请扫描二维码

最新文章

随机文章

基本 文件 流程 错误 SQL 调试
  1. 请求信息 : 2026-05-22 00:36:46 HTTP/2.0 GET : https://h.mffb.com.cn/a/459734.html
  2. 运行时间 : 0.092659s [ 吞吐率:10.79req/s ] 内存消耗:4,298.07kb 文件加载:140
  3. 缓存信息 : 0 reads,0 writes
  4. 会话信息 : SESSION_ID=429a7315e2bc27593b3ea632dac76ee3
  1. /yingpanguazai/ssd/ssd1/www/h.mffb.com.cn/public/index.php ( 0.79 KB )
  2. /yingpanguazai/ssd/ssd1/www/h.mffb.com.cn/vendor/autoload.php ( 0.17 KB )
  3. /yingpanguazai/ssd/ssd1/www/h.mffb.com.cn/vendor/composer/autoload_real.php ( 2.49 KB )
  4. /yingpanguazai/ssd/ssd1/www/h.mffb.com.cn/vendor/composer/platform_check.php ( 0.90 KB )
  5. /yingpanguazai/ssd/ssd1/www/h.mffb.com.cn/vendor/composer/ClassLoader.php ( 14.03 KB )
  6. /yingpanguazai/ssd/ssd1/www/h.mffb.com.cn/vendor/composer/autoload_static.php ( 4.90 KB )
  7. /yingpanguazai/ssd/ssd1/www/h.mffb.com.cn/vendor/topthink/think-helper/src/helper.php ( 8.34 KB )
  8. /yingpanguazai/ssd/ssd1/www/h.mffb.com.cn/vendor/topthink/think-validate/src/helper.php ( 2.19 KB )
  9. /yingpanguazai/ssd/ssd1/www/h.mffb.com.cn/vendor/topthink/think-orm/src/helper.php ( 1.47 KB )
  10. /yingpanguazai/ssd/ssd1/www/h.mffb.com.cn/vendor/topthink/think-orm/stubs/load_stubs.php ( 0.16 KB )
  11. /yingpanguazai/ssd/ssd1/www/h.mffb.com.cn/vendor/topthink/framework/src/think/Exception.php ( 1.69 KB )
  12. /yingpanguazai/ssd/ssd1/www/h.mffb.com.cn/vendor/topthink/think-container/src/Facade.php ( 2.71 KB )
  13. /yingpanguazai/ssd/ssd1/www/h.mffb.com.cn/vendor/symfony/deprecation-contracts/function.php ( 0.99 KB )
  14. /yingpanguazai/ssd/ssd1/www/h.mffb.com.cn/vendor/symfony/polyfill-mbstring/bootstrap.php ( 8.26 KB )
  15. /yingpanguazai/ssd/ssd1/www/h.mffb.com.cn/vendor/symfony/polyfill-mbstring/bootstrap80.php ( 9.78 KB )
  16. /yingpanguazai/ssd/ssd1/www/h.mffb.com.cn/vendor/symfony/var-dumper/Resources/functions/dump.php ( 1.49 KB )
  17. /yingpanguazai/ssd/ssd1/www/h.mffb.com.cn/vendor/topthink/think-dumper/src/helper.php ( 0.18 KB )
  18. /yingpanguazai/ssd/ssd1/www/h.mffb.com.cn/vendor/symfony/var-dumper/VarDumper.php ( 4.30 KB )
  19. /yingpanguazai/ssd/ssd1/www/h.mffb.com.cn/vendor/topthink/framework/src/think/App.php ( 15.30 KB )
  20. /yingpanguazai/ssd/ssd1/www/h.mffb.com.cn/vendor/topthink/think-container/src/Container.php ( 15.76 KB )
  21. /yingpanguazai/ssd/ssd1/www/h.mffb.com.cn/vendor/psr/container/src/ContainerInterface.php ( 1.02 KB )
  22. /yingpanguazai/ssd/ssd1/www/h.mffb.com.cn/app/provider.php ( 0.19 KB )
  23. /yingpanguazai/ssd/ssd1/www/h.mffb.com.cn/vendor/topthink/framework/src/think/Http.php ( 6.04 KB )
  24. /yingpanguazai/ssd/ssd1/www/h.mffb.com.cn/vendor/topthink/think-helper/src/helper/Str.php ( 7.29 KB )
  25. /yingpanguazai/ssd/ssd1/www/h.mffb.com.cn/vendor/topthink/framework/src/think/Env.php ( 4.68 KB )
  26. /yingpanguazai/ssd/ssd1/www/h.mffb.com.cn/app/common.php ( 0.03 KB )
  27. /yingpanguazai/ssd/ssd1/www/h.mffb.com.cn/vendor/topthink/framework/src/helper.php ( 18.78 KB )
  28. /yingpanguazai/ssd/ssd1/www/h.mffb.com.cn/vendor/topthink/framework/src/think/Config.php ( 5.54 KB )
  29. /yingpanguazai/ssd/ssd1/www/h.mffb.com.cn/config/app.php ( 0.95 KB )
  30. /yingpanguazai/ssd/ssd1/www/h.mffb.com.cn/config/cache.php ( 0.78 KB )
  31. /yingpanguazai/ssd/ssd1/www/h.mffb.com.cn/config/console.php ( 0.23 KB )
  32. /yingpanguazai/ssd/ssd1/www/h.mffb.com.cn/config/cookie.php ( 0.56 KB )
  33. /yingpanguazai/ssd/ssd1/www/h.mffb.com.cn/config/database.php ( 2.48 KB )
  34. /yingpanguazai/ssd/ssd1/www/h.mffb.com.cn/vendor/topthink/framework/src/think/facade/Env.php ( 1.67 KB )
  35. /yingpanguazai/ssd/ssd1/www/h.mffb.com.cn/config/filesystem.php ( 0.61 KB )
  36. /yingpanguazai/ssd/ssd1/www/h.mffb.com.cn/config/lang.php ( 0.91 KB )
  37. /yingpanguazai/ssd/ssd1/www/h.mffb.com.cn/config/log.php ( 1.35 KB )
  38. /yingpanguazai/ssd/ssd1/www/h.mffb.com.cn/config/middleware.php ( 0.19 KB )
  39. /yingpanguazai/ssd/ssd1/www/h.mffb.com.cn/config/route.php ( 1.89 KB )
  40. /yingpanguazai/ssd/ssd1/www/h.mffb.com.cn/config/session.php ( 0.57 KB )
  41. /yingpanguazai/ssd/ssd1/www/h.mffb.com.cn/config/trace.php ( 0.34 KB )
  42. /yingpanguazai/ssd/ssd1/www/h.mffb.com.cn/config/view.php ( 0.82 KB )
  43. /yingpanguazai/ssd/ssd1/www/h.mffb.com.cn/app/event.php ( 0.25 KB )
  44. /yingpanguazai/ssd/ssd1/www/h.mffb.com.cn/vendor/topthink/framework/src/think/Event.php ( 7.67 KB )
  45. /yingpanguazai/ssd/ssd1/www/h.mffb.com.cn/app/service.php ( 0.13 KB )
  46. /yingpanguazai/ssd/ssd1/www/h.mffb.com.cn/app/AppService.php ( 0.26 KB )
  47. /yingpanguazai/ssd/ssd1/www/h.mffb.com.cn/vendor/topthink/framework/src/think/Service.php ( 1.64 KB )
  48. /yingpanguazai/ssd/ssd1/www/h.mffb.com.cn/vendor/topthink/framework/src/think/Lang.php ( 7.35 KB )
  49. /yingpanguazai/ssd/ssd1/www/h.mffb.com.cn/vendor/topthink/framework/src/lang/zh-cn.php ( 13.70 KB )
  50. /yingpanguazai/ssd/ssd1/www/h.mffb.com.cn/vendor/topthink/framework/src/think/initializer/Error.php ( 3.31 KB )
  51. /yingpanguazai/ssd/ssd1/www/h.mffb.com.cn/vendor/topthink/framework/src/think/initializer/RegisterService.php ( 1.33 KB )
  52. /yingpanguazai/ssd/ssd1/www/h.mffb.com.cn/vendor/services.php ( 0.14 KB )
  53. /yingpanguazai/ssd/ssd1/www/h.mffb.com.cn/vendor/topthink/framework/src/think/service/PaginatorService.php ( 1.52 KB )
  54. /yingpanguazai/ssd/ssd1/www/h.mffb.com.cn/vendor/topthink/framework/src/think/service/ValidateService.php ( 0.99 KB )
  55. /yingpanguazai/ssd/ssd1/www/h.mffb.com.cn/vendor/topthink/framework/src/think/service/ModelService.php ( 2.04 KB )
  56. /yingpanguazai/ssd/ssd1/www/h.mffb.com.cn/vendor/topthink/think-trace/src/Service.php ( 0.77 KB )
  57. /yingpanguazai/ssd/ssd1/www/h.mffb.com.cn/vendor/topthink/framework/src/think/Middleware.php ( 6.72 KB )
  58. /yingpanguazai/ssd/ssd1/www/h.mffb.com.cn/vendor/topthink/framework/src/think/initializer/BootService.php ( 0.77 KB )
  59. /yingpanguazai/ssd/ssd1/www/h.mffb.com.cn/vendor/topthink/think-orm/src/Paginator.php ( 11.86 KB )
  60. /yingpanguazai/ssd/ssd1/www/h.mffb.com.cn/vendor/topthink/think-validate/src/Validate.php ( 63.20 KB )
  61. /yingpanguazai/ssd/ssd1/www/h.mffb.com.cn/vendor/topthink/think-orm/src/Model.php ( 23.55 KB )
  62. /yingpanguazai/ssd/ssd1/www/h.mffb.com.cn/vendor/topthink/think-orm/src/model/concern/Attribute.php ( 21.05 KB )
  63. /yingpanguazai/ssd/ssd1/www/h.mffb.com.cn/vendor/topthink/think-orm/src/model/concern/AutoWriteData.php ( 4.21 KB )
  64. /yingpanguazai/ssd/ssd1/www/h.mffb.com.cn/vendor/topthink/think-orm/src/model/concern/Conversion.php ( 6.44 KB )
  65. /yingpanguazai/ssd/ssd1/www/h.mffb.com.cn/vendor/topthink/think-orm/src/model/concern/DbConnect.php ( 5.16 KB )
  66. /yingpanguazai/ssd/ssd1/www/h.mffb.com.cn/vendor/topthink/think-orm/src/model/concern/ModelEvent.php ( 2.33 KB )
  67. /yingpanguazai/ssd/ssd1/www/h.mffb.com.cn/vendor/topthink/think-orm/src/model/concern/RelationShip.php ( 28.29 KB )
  68. /yingpanguazai/ssd/ssd1/www/h.mffb.com.cn/vendor/topthink/think-helper/src/contract/Arrayable.php ( 0.09 KB )
  69. /yingpanguazai/ssd/ssd1/www/h.mffb.com.cn/vendor/topthink/think-helper/src/contract/Jsonable.php ( 0.13 KB )
  70. /yingpanguazai/ssd/ssd1/www/h.mffb.com.cn/vendor/topthink/think-orm/src/model/contract/Modelable.php ( 0.09 KB )
  71. /yingpanguazai/ssd/ssd1/www/h.mffb.com.cn/vendor/topthink/framework/src/think/Db.php ( 2.88 KB )
  72. /yingpanguazai/ssd/ssd1/www/h.mffb.com.cn/vendor/topthink/think-orm/src/DbManager.php ( 8.52 KB )
  73. /yingpanguazai/ssd/ssd1/www/h.mffb.com.cn/vendor/topthink/framework/src/think/Log.php ( 6.28 KB )
  74. /yingpanguazai/ssd/ssd1/www/h.mffb.com.cn/vendor/topthink/framework/src/think/Manager.php ( 3.92 KB )
  75. /yingpanguazai/ssd/ssd1/www/h.mffb.com.cn/vendor/psr/log/src/LoggerTrait.php ( 2.69 KB )
  76. /yingpanguazai/ssd/ssd1/www/h.mffb.com.cn/vendor/psr/log/src/LoggerInterface.php ( 2.71 KB )
  77. /yingpanguazai/ssd/ssd1/www/h.mffb.com.cn/vendor/topthink/framework/src/think/Cache.php ( 4.92 KB )
  78. /yingpanguazai/ssd/ssd1/www/h.mffb.com.cn/vendor/psr/simple-cache/src/CacheInterface.php ( 4.71 KB )
  79. /yingpanguazai/ssd/ssd1/www/h.mffb.com.cn/vendor/topthink/think-helper/src/helper/Arr.php ( 16.63 KB )
  80. /yingpanguazai/ssd/ssd1/www/h.mffb.com.cn/vendor/topthink/framework/src/think/cache/driver/File.php ( 7.84 KB )
  81. /yingpanguazai/ssd/ssd1/www/h.mffb.com.cn/vendor/topthink/framework/src/think/cache/Driver.php ( 9.03 KB )
  82. /yingpanguazai/ssd/ssd1/www/h.mffb.com.cn/vendor/topthink/framework/src/think/contract/CacheHandlerInterface.php ( 1.99 KB )
  83. /yingpanguazai/ssd/ssd1/www/h.mffb.com.cn/app/Request.php ( 0.09 KB )
  84. /yingpanguazai/ssd/ssd1/www/h.mffb.com.cn/vendor/topthink/framework/src/think/Request.php ( 55.78 KB )
  85. /yingpanguazai/ssd/ssd1/www/h.mffb.com.cn/app/middleware.php ( 0.25 KB )
  86. /yingpanguazai/ssd/ssd1/www/h.mffb.com.cn/vendor/topthink/framework/src/think/Pipeline.php ( 2.61 KB )
  87. /yingpanguazai/ssd/ssd1/www/h.mffb.com.cn/vendor/topthink/think-trace/src/TraceDebug.php ( 3.40 KB )
  88. /yingpanguazai/ssd/ssd1/www/h.mffb.com.cn/vendor/topthink/framework/src/think/middleware/SessionInit.php ( 1.94 KB )
  89. /yingpanguazai/ssd/ssd1/www/h.mffb.com.cn/vendor/topthink/framework/src/think/Session.php ( 1.80 KB )
  90. /yingpanguazai/ssd/ssd1/www/h.mffb.com.cn/vendor/topthink/framework/src/think/session/driver/File.php ( 6.27 KB )
  91. /yingpanguazai/ssd/ssd1/www/h.mffb.com.cn/vendor/topthink/framework/src/think/contract/SessionHandlerInterface.php ( 0.87 KB )
  92. /yingpanguazai/ssd/ssd1/www/h.mffb.com.cn/vendor/topthink/framework/src/think/session/Store.php ( 7.12 KB )
  93. /yingpanguazai/ssd/ssd1/www/h.mffb.com.cn/vendor/topthink/framework/src/think/Route.php ( 23.73 KB )
  94. /yingpanguazai/ssd/ssd1/www/h.mffb.com.cn/vendor/topthink/framework/src/think/route/RuleName.php ( 5.75 KB )
  95. /yingpanguazai/ssd/ssd1/www/h.mffb.com.cn/vendor/topthink/framework/src/think/route/Domain.php ( 2.53 KB )
  96. /yingpanguazai/ssd/ssd1/www/h.mffb.com.cn/vendor/topthink/framework/src/think/route/RuleGroup.php ( 22.43 KB )
  97. /yingpanguazai/ssd/ssd1/www/h.mffb.com.cn/vendor/topthink/framework/src/think/route/Rule.php ( 26.95 KB )
  98. /yingpanguazai/ssd/ssd1/www/h.mffb.com.cn/vendor/topthink/framework/src/think/route/RuleItem.php ( 9.78 KB )
  99. /yingpanguazai/ssd/ssd1/www/h.mffb.com.cn/route/app.php ( 1.72 KB )
  100. /yingpanguazai/ssd/ssd1/www/h.mffb.com.cn/vendor/topthink/framework/src/think/facade/Route.php ( 4.70 KB )
  101. /yingpanguazai/ssd/ssd1/www/h.mffb.com.cn/vendor/topthink/framework/src/think/route/dispatch/Controller.php ( 4.74 KB )
  102. /yingpanguazai/ssd/ssd1/www/h.mffb.com.cn/vendor/topthink/framework/src/think/route/Dispatch.php ( 10.44 KB )
  103. /yingpanguazai/ssd/ssd1/www/h.mffb.com.cn/app/controller/Index.php ( 4.81 KB )
  104. /yingpanguazai/ssd/ssd1/www/h.mffb.com.cn/app/BaseController.php ( 2.05 KB )
  105. /yingpanguazai/ssd/ssd1/www/h.mffb.com.cn/vendor/topthink/think-orm/src/facade/Db.php ( 0.93 KB )
  106. /yingpanguazai/ssd/ssd1/www/h.mffb.com.cn/vendor/topthink/think-orm/src/db/connector/Mysql.php ( 5.44 KB )
  107. /yingpanguazai/ssd/ssd1/www/h.mffb.com.cn/vendor/topthink/think-orm/src/db/PDOConnection.php ( 52.47 KB )
  108. /yingpanguazai/ssd/ssd1/www/h.mffb.com.cn/vendor/topthink/think-orm/src/db/Connection.php ( 8.39 KB )
  109. /yingpanguazai/ssd/ssd1/www/h.mffb.com.cn/vendor/topthink/think-orm/src/db/ConnectionInterface.php ( 4.57 KB )
  110. /yingpanguazai/ssd/ssd1/www/h.mffb.com.cn/vendor/topthink/think-orm/src/db/builder/Mysql.php ( 16.58 KB )
  111. /yingpanguazai/ssd/ssd1/www/h.mffb.com.cn/vendor/topthink/think-orm/src/db/Builder.php ( 24.06 KB )
  112. /yingpanguazai/ssd/ssd1/www/h.mffb.com.cn/vendor/topthink/think-orm/src/db/BaseBuilder.php ( 27.50 KB )
  113. /yingpanguazai/ssd/ssd1/www/h.mffb.com.cn/vendor/topthink/think-orm/src/db/Query.php ( 15.71 KB )
  114. /yingpanguazai/ssd/ssd1/www/h.mffb.com.cn/vendor/topthink/think-orm/src/db/BaseQuery.php ( 45.13 KB )
  115. /yingpanguazai/ssd/ssd1/www/h.mffb.com.cn/vendor/topthink/think-orm/src/db/concern/TimeFieldQuery.php ( 7.43 KB )
  116. /yingpanguazai/ssd/ssd1/www/h.mffb.com.cn/vendor/topthink/think-orm/src/db/concern/AggregateQuery.php ( 3.26 KB )
  117. /yingpanguazai/ssd/ssd1/www/h.mffb.com.cn/vendor/topthink/think-orm/src/db/concern/ModelRelationQuery.php ( 20.07 KB )
  118. /yingpanguazai/ssd/ssd1/www/h.mffb.com.cn/vendor/topthink/think-orm/src/db/concern/ParamsBind.php ( 3.66 KB )
  119. /yingpanguazai/ssd/ssd1/www/h.mffb.com.cn/vendor/topthink/think-orm/src/db/concern/ResultOperation.php ( 7.01 KB )
  120. /yingpanguazai/ssd/ssd1/www/h.mffb.com.cn/vendor/topthink/think-orm/src/db/concern/WhereQuery.php ( 19.37 KB )
  121. /yingpanguazai/ssd/ssd1/www/h.mffb.com.cn/vendor/topthink/think-orm/src/db/concern/JoinAndViewQuery.php ( 7.11 KB )
  122. /yingpanguazai/ssd/ssd1/www/h.mffb.com.cn/vendor/topthink/think-orm/src/db/concern/TableFieldInfo.php ( 2.63 KB )
  123. /yingpanguazai/ssd/ssd1/www/h.mffb.com.cn/vendor/topthink/think-orm/src/db/concern/Transaction.php ( 2.77 KB )
  124. /yingpanguazai/ssd/ssd1/www/h.mffb.com.cn/vendor/topthink/framework/src/think/log/driver/File.php ( 5.96 KB )
  125. /yingpanguazai/ssd/ssd1/www/h.mffb.com.cn/vendor/topthink/framework/src/think/contract/LogHandlerInterface.php ( 0.86 KB )
  126. /yingpanguazai/ssd/ssd1/www/h.mffb.com.cn/vendor/topthink/framework/src/think/log/Channel.php ( 3.89 KB )
  127. /yingpanguazai/ssd/ssd1/www/h.mffb.com.cn/vendor/topthink/framework/src/think/event/LogRecord.php ( 1.02 KB )
  128. /yingpanguazai/ssd/ssd1/www/h.mffb.com.cn/vendor/topthink/think-helper/src/Collection.php ( 16.47 KB )
  129. /yingpanguazai/ssd/ssd1/www/h.mffb.com.cn/vendor/topthink/framework/src/think/facade/View.php ( 1.70 KB )
  130. /yingpanguazai/ssd/ssd1/www/h.mffb.com.cn/vendor/topthink/framework/src/think/View.php ( 4.39 KB )
  131. /yingpanguazai/ssd/ssd1/www/h.mffb.com.cn/vendor/topthink/framework/src/think/Response.php ( 8.81 KB )
  132. /yingpanguazai/ssd/ssd1/www/h.mffb.com.cn/vendor/topthink/framework/src/think/response/View.php ( 3.29 KB )
  133. /yingpanguazai/ssd/ssd1/www/h.mffb.com.cn/vendor/topthink/framework/src/think/Cookie.php ( 6.06 KB )
  134. /yingpanguazai/ssd/ssd1/www/h.mffb.com.cn/vendor/topthink/think-view/src/Think.php ( 8.38 KB )
  135. /yingpanguazai/ssd/ssd1/www/h.mffb.com.cn/vendor/topthink/framework/src/think/contract/TemplateHandlerInterface.php ( 1.60 KB )
  136. /yingpanguazai/ssd/ssd1/www/h.mffb.com.cn/vendor/topthink/think-template/src/Template.php ( 46.61 KB )
  137. /yingpanguazai/ssd/ssd1/www/h.mffb.com.cn/vendor/topthink/think-template/src/template/driver/File.php ( 2.41 KB )
  138. /yingpanguazai/ssd/ssd1/www/h.mffb.com.cn/vendor/topthink/think-template/src/template/contract/DriverInterface.php ( 0.86 KB )
  139. /yingpanguazai/ssd/ssd1/www/h.mffb.com.cn/runtime/temp/32b793ebdcbdb96aeb8bb24c123b0bef.php ( 11.98 KB )
  140. /yingpanguazai/ssd/ssd1/www/h.mffb.com.cn/vendor/topthink/think-trace/src/Html.php ( 4.42 KB )
  1. CONNECT:[ UseTime:0.000531s ] mysql:host=127.0.0.1;port=3306;dbname=h_mffb;charset=utf8mb4
  2. SHOW FULL COLUMNS FROM `fenlei` [ RunTime:0.000565s ]
  3. SELECT * FROM `fenlei` WHERE `fid` = 0 [ RunTime:0.000314s ]
  4. SELECT * FROM `fenlei` WHERE `fid` = 63 [ RunTime:0.000269s ]
  5. SHOW FULL COLUMNS FROM `set` [ RunTime:0.000485s ]
  6. SELECT * FROM `set` [ RunTime:0.000201s ]
  7. SHOW FULL COLUMNS FROM `article` [ RunTime:0.000526s ]
  8. SELECT * FROM `article` WHERE `id` = 459734 LIMIT 1 [ RunTime:0.000407s ]
  9. UPDATE `article` SET `lasttime` = 1779381407 WHERE `id` = 459734 [ RunTime:0.002083s ]
  10. SELECT * FROM `fenlei` WHERE `id` = 66 LIMIT 1 [ RunTime:0.000281s ]
  11. SELECT * FROM `article` WHERE `id` < 459734 ORDER BY `id` DESC LIMIT 1 [ RunTime:0.000389s ]
  12. SELECT * FROM `article` WHERE `id` > 459734 ORDER BY `id` ASC LIMIT 1 [ RunTime:0.000396s ]
  13. SELECT * FROM `article` WHERE `id` < 459734 ORDER BY `id` DESC LIMIT 10 [ RunTime:0.000745s ]
  14. SELECT * FROM `article` WHERE `id` < 459734 ORDER BY `id` DESC LIMIT 10,10 [ RunTime:0.005915s ]
  15. SELECT * FROM `article` WHERE `id` < 459734 ORDER BY `id` DESC LIMIT 20,10 [ RunTime:0.003064s ]
0.094357s